├── .gitignore
├── Before codes
├── 04_Unsupervised_Learning
│ ├── 16. PCA.ipynb
│ └── 14. Clustering.ipynb
└── 03_Supervised_Learning
│ ├── 12. KDTree_BallTree.ipynb
│ ├── 18. Random Forest.ipynb
│ └── Templates
│ ├── Template_07. Univariate_linear_regression_scratch.ipynb
│ ├── Template_08. multiple_linear_regression.ipynb
│ └── Template_06. Univariate_linear_regression.ipynb
├── Data
├── numpy_data.csv
├── numpy_data.txt
├── numpy_data_with_missing.csv
├── numpy_output.txt
├── numpy_output.npy
├── multiple_arrays.npz
├── pandas
│ ├── sales_data.db
│ ├── Sales_data.xlsx
│ ├── Sales_data.csv
│ └── sales_data.json
├── Data.csv
├── Regression
│ ├── 50_Startups.csv
│ ├── Advertising.csv
│ ├── World_Happiness_Report.csv
│ └── Automobile_data.csv
├── classification
│ └── Social_Network_Ads.csv
└── Real_Estate_DataSet.csv
├── pics
├── ML.png
├── MSE.png
├── adv.png
├── 50_startups.png
├── params_args.png
├── Normalization.png
├── gradients_w_b.png
├── Standard_Scaling.png
├── not_broadcastable.png
├── broadcast_mismatch.png
├── Broadcast_with_scalar.png
├── Gradient_computation.png
├── broadcastable_arrays.png
├── car_price_prediction.png
├── hypothesis_function_lr.png
└── broadcast_array_with_2d.png
├── 01_Introductory_Concepts
├── imgs
│ └── ML.png
└── 04_Numpy
│ └── NumPy_Assignments
│ ├── NumPy_Assignment_Template.ipynb
│ └── NumPy_Assignment_Solution.ipynb
├── LICENSE
├── README.md
└── README_2.md
/.gitignore:
--------------------------------------------------------------------------------
1 | .venv
2 |
--------------------------------------------------------------------------------
/Before codes/04_Unsupervised_Learning/16. PCA.ipynb:
--------------------------------------------------------------------------------
1 |
--------------------------------------------------------------------------------
/Before codes/04_Unsupervised_Learning/14. Clustering.ipynb:
--------------------------------------------------------------------------------
1 |
--------------------------------------------------------------------------------
/Data/numpy_data.csv:
--------------------------------------------------------------------------------
1 | 1.0,2.0,3.0
2 | 4.0,5.0,6.0
3 | 7.0,8.0,9.0
--------------------------------------------------------------------------------
/Data/numpy_data.txt:
--------------------------------------------------------------------------------
1 | 1.0 2.0 3.0
2 | 4.0 5.0 6.0
3 | 7.0 8.0 9.0
--------------------------------------------------------------------------------
/Data/numpy_data_with_missing.csv:
--------------------------------------------------------------------------------
1 | 1.0,2.0,3.0
2 | 4.0,,6.0
3 | 7.0,8.0,9.0
--------------------------------------------------------------------------------
/Data/numpy_output.txt:
--------------------------------------------------------------------------------
1 | 1.00,2.00,3.00
2 | 4.00,5.00,6.00
3 | 7.00,8.00,9.00
4 |
--------------------------------------------------------------------------------
/pics/ML.png:
--------------------------------------------------------------------------------
https://raw.githubusercontent.com/Ebimsv/Machine_Learning_Course/HEAD/pics/ML.png
--------------------------------------------------------------------------------
/pics/MSE.png:
--------------------------------------------------------------------------------
https://raw.githubusercontent.com/Ebimsv/Machine_Learning_Course/HEAD/pics/MSE.png
--------------------------------------------------------------------------------
/pics/adv.png:
--------------------------------------------------------------------------------
https://raw.githubusercontent.com/Ebimsv/Machine_Learning_Course/HEAD/pics/adv.png
--------------------------------------------------------------------------------
/Data/numpy_output.npy:
--------------------------------------------------------------------------------
https://raw.githubusercontent.com/Ebimsv/Machine_Learning_Course/HEAD/Data/numpy_output.npy
--------------------------------------------------------------------------------
/pics/50_startups.png:
--------------------------------------------------------------------------------
https://raw.githubusercontent.com/Ebimsv/Machine_Learning_Course/HEAD/pics/50_startups.png
--------------------------------------------------------------------------------
/pics/params_args.png:
--------------------------------------------------------------------------------
https://raw.githubusercontent.com/Ebimsv/Machine_Learning_Course/HEAD/pics/params_args.png
--------------------------------------------------------------------------------
/pics/Normalization.png:
--------------------------------------------------------------------------------
https://raw.githubusercontent.com/Ebimsv/Machine_Learning_Course/HEAD/pics/Normalization.png
--------------------------------------------------------------------------------
/pics/gradients_w_b.png:
--------------------------------------------------------------------------------
https://raw.githubusercontent.com/Ebimsv/Machine_Learning_Course/HEAD/pics/gradients_w_b.png
--------------------------------------------------------------------------------
/Data/multiple_arrays.npz:
--------------------------------------------------------------------------------
https://raw.githubusercontent.com/Ebimsv/Machine_Learning_Course/HEAD/Data/multiple_arrays.npz
--------------------------------------------------------------------------------
/Data/pandas/sales_data.db:
--------------------------------------------------------------------------------
https://raw.githubusercontent.com/Ebimsv/Machine_Learning_Course/HEAD/Data/pandas/sales_data.db
--------------------------------------------------------------------------------
/pics/Standard_Scaling.png:
--------------------------------------------------------------------------------
https://raw.githubusercontent.com/Ebimsv/Machine_Learning_Course/HEAD/pics/Standard_Scaling.png
--------------------------------------------------------------------------------
/pics/not_broadcastable.png:
--------------------------------------------------------------------------------
https://raw.githubusercontent.com/Ebimsv/Machine_Learning_Course/HEAD/pics/not_broadcastable.png
--------------------------------------------------------------------------------
/Data/pandas/Sales_data.xlsx:
--------------------------------------------------------------------------------
https://raw.githubusercontent.com/Ebimsv/Machine_Learning_Course/HEAD/Data/pandas/Sales_data.xlsx
--------------------------------------------------------------------------------
/pics/broadcast_mismatch.png:
--------------------------------------------------------------------------------
https://raw.githubusercontent.com/Ebimsv/Machine_Learning_Course/HEAD/pics/broadcast_mismatch.png
--------------------------------------------------------------------------------
/pics/Broadcast_with_scalar.png:
--------------------------------------------------------------------------------
https://raw.githubusercontent.com/Ebimsv/Machine_Learning_Course/HEAD/pics/Broadcast_with_scalar.png
--------------------------------------------------------------------------------
/pics/Gradient_computation.png:
--------------------------------------------------------------------------------
https://raw.githubusercontent.com/Ebimsv/Machine_Learning_Course/HEAD/pics/Gradient_computation.png
--------------------------------------------------------------------------------
/pics/broadcastable_arrays.png:
--------------------------------------------------------------------------------
https://raw.githubusercontent.com/Ebimsv/Machine_Learning_Course/HEAD/pics/broadcastable_arrays.png
--------------------------------------------------------------------------------
/pics/car_price_prediction.png:
--------------------------------------------------------------------------------
https://raw.githubusercontent.com/Ebimsv/Machine_Learning_Course/HEAD/pics/car_price_prediction.png
--------------------------------------------------------------------------------
/pics/hypothesis_function_lr.png:
--------------------------------------------------------------------------------
https://raw.githubusercontent.com/Ebimsv/Machine_Learning_Course/HEAD/pics/hypothesis_function_lr.png
--------------------------------------------------------------------------------
/pics/broadcast_array_with_2d.png:
--------------------------------------------------------------------------------
https://raw.githubusercontent.com/Ebimsv/Machine_Learning_Course/HEAD/pics/broadcast_array_with_2d.png
--------------------------------------------------------------------------------
/01_Introductory_Concepts/imgs/ML.png:
--------------------------------------------------------------------------------
https://raw.githubusercontent.com/Ebimsv/Machine_Learning_Course/HEAD/01_Introductory_Concepts/imgs/ML.png
--------------------------------------------------------------------------------
/Before codes/03_Supervised_Learning/12. KDTree_BallTree.ipynb:
--------------------------------------------------------------------------------
1 | {
2 | "cells": [],
3 | "metadata": {
4 | "language_info": {
5 | "name": "python"
6 | }
7 | },
8 | "nbformat": 4,
9 | "nbformat_minor": 2
10 | }
11 |
--------------------------------------------------------------------------------
/Before codes/03_Supervised_Learning/18. Random Forest.ipynb:
--------------------------------------------------------------------------------
1 | {
2 | "cells": [],
3 | "metadata": {
4 | "language_info": {
5 | "name": "python"
6 | }
7 | },
8 | "nbformat": 4,
9 | "nbformat_minor": 2
10 | }
11 |
--------------------------------------------------------------------------------
/Data/Data.csv:
--------------------------------------------------------------------------------
1 | Country,Age,Salary,Purchased
2 | France,44,72000,No
3 | Spain,27,48000,Yes
4 | Germany,30,54000,No
5 | Spain,38,61000,No
6 | Germany,40,,Yes
7 | France,35,58000,Yes
8 | Spain,,52000,No
9 | France,48,79000,Yes
10 | Germany,50,83000,No
11 | France,37,67000,Yes
--------------------------------------------------------------------------------
/Data/pandas/Sales_data.csv:
--------------------------------------------------------------------------------
1 | Order ID,Product Name,Quantity,Price per Unit,Total Sales,Order Date
2 | 1001,Widget A,3,15.0,45.0,2023-01-15
3 | 1002,Widget B,5,22.5,112.5,2023-01-16
4 | 1003,Widget C,2,8.0,16.0,2023-01-17
5 | 1004,Widget A,1,15.0,15.0,2023-01-18
6 | 1005,Widget D,4,30.0,120.0,2023-01-19
7 |
--------------------------------------------------------------------------------
/LICENSE:
--------------------------------------------------------------------------------
1 | MIT License
2 |
3 | Copyright (c) 2024 Ebi
4 |
5 | Permission is hereby granted, free of charge, to any person obtaining a copy
6 | of this software and associated documentation files (the "Software"), to deal
7 | in the Software without restriction, including without limitation the rights
8 | to use, copy, modify, merge, publish, distribute, sublicense, and/or sell
9 | copies of the Software, and to permit persons to whom the Software is
10 | furnished to do so, subject to the following conditions:
11 |
12 | The above copyright notice and this permission notice shall be included in all
13 | copies or substantial portions of the Software.
14 |
15 | THE SOFTWARE IS PROVIDED "AS IS", WITHOUT WARRANTY OF ANY KIND, EXPRESS OR
16 | IMPLIED, INCLUDING BUT NOT LIMITED TO THE WARRANTIES OF MERCHANTABILITY,
17 | FITNESS FOR A PARTICULAR PURPOSE AND NONINFRINGEMENT. IN NO EVENT SHALL THE
18 | AUTHORS OR COPYRIGHT HOLDERS BE LIABLE FOR ANY CLAIM, DAMAGES OR OTHER
19 | LIABILITY, WHETHER IN AN ACTION OF CONTRACT, TORT OR OTHERWISE, ARISING FROM,
20 | OUT OF OR IN CONNECTION WITH THE SOFTWARE OR THE USE OR OTHER DEALINGS IN THE
21 | SOFTWARE.
22 |
--------------------------------------------------------------------------------
/Data/pandas/sales_data.json:
--------------------------------------------------------------------------------
1 | [
2 | {
3 | "Order ID": 1001,
4 | "Product Name": "Widget A",
5 | "Quantity": 3,
6 | "Price per Unit": 15.0,
7 | "Total Sales": 45.0,
8 | "Order Date": "2023-01-15"
9 | },
10 | {
11 | "Order ID": 1002,
12 | "Product Name": "Widget B",
13 | "Quantity": 5,
14 | "Price per Unit": 22.5,
15 | "Total Sales": 112.5,
16 | "Order Date": "2023-01-16"
17 | },
18 | {
19 | "Order ID": 1003,
20 | "Product Name": "Widget C",
21 | "Quantity": 2,
22 | "Price per Unit": 8.0,
23 | "Total Sales": 16.0,
24 | "Order Date": "2023-01-17"
25 | },
26 | {
27 | "Order ID": 1004,
28 | "Product Name": "Widget A",
29 | "Quantity": 1,
30 | "Price per Unit": 15.0,
31 | "Total Sales": 15.0,
32 | "Order Date": "2023-01-18"
33 | },
34 | {
35 | "Order ID": 1005,
36 | "Product Name": "Widget D",
37 | "Quantity": 4,
38 | "Price per Unit": 30.0,
39 | "Total Sales": 120.0,
40 | "Order Date": "2023-01-19"
41 | }
42 | ]
--------------------------------------------------------------------------------
/README.md:
--------------------------------------------------------------------------------
1 | 
2 |
3 | # About This Project
4 |
5 | Welcome to my Machine Learning Course Repository!
6 |
7 | This project contains the code and resources for my machine learning course at **Tarbiat Modares University**. Throughout the course, we explore a wide range of topics, including:
8 |
9 | - **Supervised Learning**: Techniques for predicting outcomes based on labeled training data.
10 | - **Unsupervised Learning**: Approaches for analyzing data without labeled responses.
11 | - **Deep Learning**: Advanced methods for modeling complex patterns using neural networks.
12 |
13 | ## Purpose
14 |
15 | The code in this repository is designed to assist students in understanding the fundamental concepts and techniques related to machine learning. Each script includes practical examples and tutorials to facilitate hands-on learning and application to real-world problems.
16 |
17 | ## Technologies Used
18 |
19 | The project is implemented in Python and utilizes the following libraries:
20 |
21 | - **NumPy**: For numerical computations.
22 | - **Pandas**: For data manipulation and analysis.
23 | - **Matplotlib**: For data visualization.
24 | - **Scikit-learn**: For standard machine learning algorithms.
25 | - **PyTorch**: For deep learning applications.
26 |
27 | ## Target Audience
28 |
29 | This repository is primarily aimed at students who are new to machine learning. The code is well-documented, providing explanations and comments to ensure clarity for beginners.
30 |
31 | ## Contribution & Contact
32 |
33 | I created this project to share my knowledge and experiences with those interested in learning about machine learning. I hope you find the resources helpful!
34 |
35 | If you have any questions, suggestions, or feedback, please feel free to reach out to me:
36 |
37 | - [My Personal Website](https://ebimsv.github.io/)
38 | - [LinkedIn Profile](https://www.linkedin.com/in/ebimsv/)
39 |
40 | ## Acknowledgments
41 |
42 | Special thanks to the faculty and peers at Tarbiat Modares University for their support and inspiration in developing this course.
43 |
44 | ---
45 |
46 | **Happy Learning!** 🚀
47 |
--------------------------------------------------------------------------------
/Data/Regression/50_Startups.csv:
--------------------------------------------------------------------------------
1 | R&D Spend,Administration,Marketing Spend,State,Profit
2 | 165349.2,136897.8,471784.1,New York,192261.83
3 | 166597.7,151377.59,443898.53,California,191792.06
4 | 153441.51,101145.55,407934.54,Florida,191050.39
5 | 144372.41,118671.85,383199.62,New York,182901.99
6 | 142107.34,91391.77,366168.42,Florida,166187.94
7 | 131876.9,,362861.36,New York,156991.12
8 | 134615.46,147198.87,127716.82,California,156122.51
9 | 130298.13,145530.06,323876.68,Florida,155752.6
10 | 120542.52,148718.95,311613.29,New York,152211.77
11 | 123334.88,108679.17,304981.62,California,149759.96
12 | 101913.08,110594.11,,Florida,146121.95
13 | 220000.6,91790.61,249744.55,California,144259.4
14 | 93863.75,127320.38,249839.44,Florida,141585.52
15 | 91992.39,135495.07,252664.93,California,134307.35
16 | 119943.24,156547.42,256512.92,Florida,132602.65
17 | 114523.61,122616.84,261776.23,New York,129917.04
18 | 78013.11,121597.55,264346.06,California,126992.93
19 | 94657.16,,282574.31,New York,125370.37
20 | 91749.16,114175.79,294919.57,Florida,124266.9
21 | 86419.7,153514.11,0,New York,122776.86
22 | 76253.86,113867.3,298664.47,California,118474.03
23 | 78389.47,153773.43,299737.29,New York,111313.02
24 | 73994.56,122782.75,303319.26,Florida,110352.25
25 | 67532.53,105751.03,304768.73,Florida,108733.99
26 | 77044.01,99281.34,140574.81,New York,108552.04
27 | 64664.71,139553.16,137962.62,California,107404.34
28 | 75328.87,144135.98,134050.07,Florida,105733.54
29 | 72107.6,127864.55,353183.81,New York,105008.31
30 | 66051.52,182645.56,118148.2,Florida,103282.38
31 | 65605.48,153032.06,107138.38,New York,101004.64
32 | 61994.48,115641.28,91131.24,Florida,99937.59
33 | 61136.38,152701.92,88218.23,New York,97483.56
34 | 63408.86,129219.61,46085.25,California,97427.84
35 | 55493.95,103057.49,214634.81,Florida,96778.92
36 | 46426.07,157693.92,210797.67,California,96712.8
37 | 46014.02,85047.44,205517.64,New York,96479.51
38 | 28663.76,127056.21,201126.82,Florida,90708.19
39 | 44069.95,51283.14,197029.42,California,89949.14
40 | 20229.59,65947.93,185265.1,New York,81229.06
41 | 38558.51,82982.09,174999.3,California,81005.76
42 | 28754.33,118546.05,172795.67,California,78239.91
43 | 27892.92,84710.77,164470.71,Florida,77798.83
44 | 23640.93,96189.63,148001.11,California,71498.49
45 | 15505.73,127382.3,35534.17,New York,69758.98
46 | 22177.74,154806.14,28334.72,California,65200.33
47 | 1000.23,124153.04,1903.93,New York,64926.08
48 | 1315.46,115816.21,297114.46,Florida,49490.75
49 | 50,135426.92,0,California,42559.73
50 | 542.05,51743.15,0,New York,35673.41
51 | 0,116983.8,45173.06,California,14681.4
52 |
--------------------------------------------------------------------------------
/Data/Regression/Advertising.csv:
--------------------------------------------------------------------------------
1 | ,TV,Radio,Newspaper,Sales
2 | 1,230.1,37.8,69.2,22.1
3 | 2,44.5,39.3,45.1,10.4
4 | 3,17.2,45.9,69.3,9.3
5 | 4,151.5,41.3,58.5,18.5
6 | 5,180.8,10.8,58.4,12.9
7 | 6,8.7,48.9,75,7.2
8 | 7,57.5,32.8,23.5,11.8
9 | 8,120.2,19.6,11.6,13.2
10 | 9,8.6,2.1,1,4.8
11 | 10,199.8,2.6,21.2,10.6
12 | 11,66.1,5.8,24.2,8.6
13 | 12,214.7,24,4,17.4
14 | 13,23.8,35.1,65.9,9.2
15 | 14,97.5,7.6,7.2,9.7
16 | 15,204.1,32.9,46,19
17 | 16,195.4,47.7,52.9,22.4
18 | 17,67.8,36.6,114,12.5
19 | 18,281.4,39.6,55.8,24.4
20 | 19,69.2,20.5,18.3,11.3
21 | 20,147.3,23.9,19.1,14.6
22 | 21,218.4,27.7,53.4,18
23 | 22,237.4,5.1,23.5,12.5
24 | 23,13.2,15.9,49.6,5.6
25 | 24,228.3,16.9,26.2,15.5
26 | 25,62.3,12.6,18.3,9.7
27 | 26,262.9,3.5,19.5,12
28 | 27,142.9,29.3,12.6,15
29 | 28,240.1,16.7,22.9,15.9
30 | 29,248.8,27.1,22.9,18.9
31 | 30,70.6,16,40.8,10.5
32 | 31,292.9,28.3,43.2,21.4
33 | 32,112.9,17.4,38.6,11.9
34 | 33,97.2,1.5,30,9.6
35 | 34,265.6,20,0.3,17.4
36 | 35,95.7,1.4,7.4,9.5
37 | 36,290.7,4.1,8.5,12.8
38 | 37,266.9,43.8,5,25.4
39 | 38,74.7,49.4,45.7,14.7
40 | 39,43.1,26.7,35.1,10.1
41 | 40,228,37.7,32,21.5
42 | 41,202.5,22.3,31.6,16.6
43 | 42,177,33.4,38.7,17.1
44 | 43,293.6,27.7,1.8,20.7
45 | 44,206.9,8.4,26.4,12.9
46 | 45,25.1,25.7,43.3,8.5
47 | 46,175.1,22.5,31.5,14.9
48 | 47,89.7,9.9,35.7,10.6
49 | 48,239.9,41.5,18.5,23.2
50 | 49,227.2,15.8,49.9,14.8
51 | 50,66.9,11.7,36.8,9.7
52 | 51,199.8,3.1,34.6,11.4
53 | 52,100.4,9.6,3.6,10.7
54 | 53,216.4,41.7,39.6,22.6
55 | 54,182.6,46.2,58.7,21.2
56 | 55,262.7,28.8,15.9,20.2
57 | 56,198.9,49.4,60,23.7
58 | 57,7.3,28.1,41.4,5.5
59 | 58,136.2,19.2,16.6,13.2
60 | 59,210.8,49.6,37.7,23.8
61 | 60,210.7,29.5,9.3,18.4
62 | 61,53.5,2,21.4,8.1
63 | 62,261.3,42.7,54.7,24.2
64 | 63,239.3,15.5,27.3,15.7
65 | 64,102.7,29.6,8.4,14
66 | 65,131.1,42.8,28.9,18
67 | 66,69,9.3,0.9,9.3
68 | 67,31.5,24.6,2.2,9.5
69 | 68,139.3,14.5,10.2,13.4
70 | 69,237.4,27.5,11,18.9
71 | 70,216.8,43.9,27.2,22.3
72 | 71,199.1,30.6,38.7,18.3
73 | 72,109.8,14.3,31.7,12.4
74 | 73,26.8,33,19.3,8.8
75 | 74,129.4,5.7,31.3,11
76 | 75,213.4,24.6,13.1,17
77 | 76,16.9,43.7,89.4,8.7
78 | 77,27.5,1.6,20.7,6.9
79 | 78,120.5,28.5,14.2,14.2
80 | 79,5.4,29.9,9.4,5.3
81 | 80,116,7.7,23.1,11
82 | 81,76.4,26.7,22.3,11.8
83 | 82,239.8,4.1,36.9,12.3
84 | 83,75.3,20.3,32.5,11.3
85 | 84,68.4,44.5,35.6,13.6
86 | 85,213.5,43,33.8,21.7
87 | 86,193.2,18.4,65.7,15.2
88 | 87,76.3,27.5,16,12
89 | 88,110.7,40.6,63.2,16
90 | 89,88.3,25.5,73.4,12.9
91 | 90,109.8,47.8,51.4,16.7
92 | 91,134.3,4.9,9.3,11.2
93 | 92,28.6,1.5,33,7.3
94 | 93,217.7,33.5,59,19.4
95 | 94,250.9,36.5,72.3,22.2
96 | 95,107.4,14,10.9,11.5
97 | 96,163.3,31.6,52.9,16.9
98 | 97,197.6,3.5,5.9,11.7
99 | 98,184.9,21,22,15.5
100 | 99,289.7,42.3,51.2,25.4
101 | 100,135.2,41.7,45.9,17.2
102 | 101,222.4,4.3,49.8,11.7
103 | 102,296.4,36.3,100.9,23.8
104 | 103,280.2,10.1,21.4,14.8
105 | 104,187.9,17.2,17.9,14.7
106 | 105,238.2,34.3,5.3,20.7
107 | 106,137.9,46.4,59,19.2
108 | 107,25,11,29.7,7.2
109 | 108,90.4,0.3,23.2,8.7
110 | 109,13.1,0.4,25.6,5.3
111 | 110,255.4,26.9,5.5,19.8
112 | 111,225.8,8.2,56.5,13.4
113 | 112,241.7,38,23.2,21.8
114 | 113,175.7,15.4,2.4,14.1
115 | 114,209.6,20.6,10.7,15.9
116 | 115,78.2,46.8,34.5,14.6
117 | 116,75.1,35,52.7,12.6
118 | 117,139.2,14.3,25.6,12.2
119 | 118,76.4,0.8,14.8,9.4
120 | 119,125.7,36.9,79.2,15.9
121 | 120,19.4,16,22.3,6.6
122 | 121,141.3,26.8,46.2,15.5
123 | 122,18.8,21.7,50.4,7
124 | 123,224,2.4,15.6,11.6
125 | 124,123.1,34.6,12.4,15.2
126 | 125,229.5,32.3,74.2,19.7
127 | 126,87.2,11.8,25.9,10.6
128 | 127,7.8,38.9,50.6,6.6
129 | 128,80.2,0,9.2,8.8
130 | 129,220.3,49,3.2,24.7
131 | 130,59.6,12,43.1,9.7
132 | 131,0.7,39.6,8.7,1.6
133 | 132,265.2,2.9,43,12.7
134 | 133,8.4,27.2,2.1,5.7
135 | 134,219.8,33.5,45.1,19.6
136 | 135,36.9,38.6,65.6,10.8
137 | 136,48.3,47,8.5,11.6
138 | 137,25.6,39,9.3,9.5
139 | 138,273.7,28.9,59.7,20.8
140 | 139,43,25.9,20.5,9.6
141 | 140,184.9,43.9,1.7,20.7
142 | 141,73.4,17,12.9,10.9
143 | 142,193.7,35.4,75.6,19.2
144 | 143,220.5,33.2,37.9,20.1
145 | 144,104.6,5.7,34.4,10.4
146 | 145,96.2,14.8,38.9,11.4
147 | 146,140.3,1.9,9,10.3
148 | 147,240.1,7.3,8.7,13.2
149 | 148,243.2,49,44.3,25.4
150 | 149,38,40.3,11.9,10.9
151 | 150,44.7,25.8,20.6,10.1
152 | 151,280.7,13.9,37,16.1
153 | 152,121,8.4,48.7,11.6
154 | 153,197.6,23.3,14.2,16.6
155 | 154,171.3,39.7,37.7,19
156 | 155,187.8,21.1,9.5,15.6
157 | 156,4.1,11.6,5.7,3.2
158 | 157,93.9,43.5,50.5,15.3
159 | 158,149.8,1.3,24.3,10.1
160 | 159,11.7,36.9,45.2,7.3
161 | 160,131.7,18.4,34.6,12.9
162 | 161,172.5,18.1,30.7,14.4
163 | 162,85.7,35.8,49.3,13.3
164 | 163,188.4,18.1,25.6,14.9
165 | 164,163.5,36.8,7.4,18
166 | 165,117.2,14.7,5.4,11.9
167 | 166,234.5,3.4,84.8,11.9
168 | 167,17.9,37.6,21.6,8
169 | 168,206.8,5.2,19.4,12.2
170 | 169,215.4,23.6,57.6,17.1
171 | 170,284.3,10.6,6.4,15
172 | 171,50,11.6,18.4,8.4
173 | 172,164.5,20.9,47.4,14.5
174 | 173,19.6,20.1,17,7.6
175 | 174,168.4,7.1,12.8,11.7
176 | 175,222.4,3.4,13.1,11.5
177 | 176,276.9,48.9,41.8,27
178 | 177,248.4,30.2,20.3,20.2
179 | 178,170.2,7.8,35.2,11.7
180 | 179,276.7,2.3,23.7,11.8
181 | 180,165.6,10,17.6,12.6
182 | 181,156.6,2.6,8.3,10.5
183 | 182,218.5,5.4,27.4,12.2
184 | 183,56.2,5.7,29.7,8.7
185 | 184,287.6,43,71.8,26.2
186 | 185,253.8,21.3,30,17.6
187 | 186,205,45.1,19.6,22.6
188 | 187,139.5,2.1,26.6,10.3
189 | 188,191.1,28.7,18.2,17.3
190 | 189,286,13.9,3.7,15.9
191 | 190,18.7,12.1,23.4,6.7
192 | 191,39.5,41.1,5.8,10.8
193 | 192,75.5,10.8,6,9.9
194 | 193,17.2,4.1,31.6,5.9
195 | 194,166.8,42,3.6,19.6
196 | 195,149.7,35.6,6,17.3
197 | 196,38.2,3.7,13.8,7.6
198 | 197,94.2,4.9,8.1,9.7
199 | 198,177,9.3,6.4,12.8
200 | 199,283.6,42,66.2,25.5
201 | 200,232.1,8.6,8.7,13.4
202 |
--------------------------------------------------------------------------------
/Before codes/03_Supervised_Learning/Templates/Template_07. Univariate_linear_regression_scratch.ipynb:
--------------------------------------------------------------------------------
1 | {
2 | "cells": [
3 | {
4 | "cell_type": "markdown",
5 | "metadata": {},
6 | "source": [
7 | "# Univariate Linear Regression with Stochastic Gradient Descent from Scratch"
8 | ]
9 | },
10 | {
11 | "cell_type": "markdown",
12 | "metadata": {},
13 | "source": [
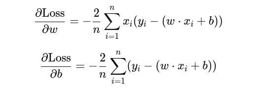
14 | "This example demonstrates implementing univariate linear regression using Stochastic Gradient Descent (SGD) from scratch. We'll use Scikit-Learn's data generator, compute gradients manually, and iteratively optimize the model parameters. We'll explain each step in detail, focusing on the gradient computation."
15 | ]
16 | },
17 | {
18 | "cell_type": "markdown",
19 | "metadata": {},
20 | "source": [
21 | "## 1. Introduction to Gradient Descent\n",
22 | "Gradient Descent is an optimization algorithm to minimize a loss function by iteratively updating the model parameters (weight 𝑤 and bias b).\n",
23 | "- **Loss Function**: Mean Squared Error (MSE):"
24 | ]
25 | },
26 | {
27 | "cell_type": "markdown",
28 | "metadata": {},
29 | "source": [
30 | ""
31 | ]
32 | },
33 | {
34 | "cell_type": "markdown",
35 | "metadata": {},
36 | "source": [
37 | "- Here, 𝑥_𝑖 is the feature value, y_i is the true value, and w, b are the model parameters."
38 | ]
39 | },
40 | {
41 | "cell_type": "markdown",
42 | "metadata": {},
43 | "source": [
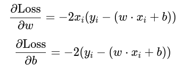
44 | "- **Gradient Computation**: The gradients of the loss function w.r.t 𝑤 and b are derived as:"
45 | ]
46 | },
47 | {
48 | "cell_type": "markdown",
49 | "metadata": {},
50 | "source": [
51 | ""
52 | ]
53 | },
54 | {
55 | "cell_type": "markdown",
56 | "metadata": {},
57 | "source": [
58 | "In Stochastic Gradient Descent, we compute these gradients for a single data point at a time:"
59 | ]
60 | },
61 | {
62 | "cell_type": "markdown",
63 | "metadata": {},
64 | "source": [
65 | ""
66 | ]
67 | },
68 | {
69 | "cell_type": "markdown",
70 | "metadata": {},
71 | "source": [
72 | "## 2. Importing Libraries"
73 | ]
74 | },
75 | {
76 | "cell_type": "code",
77 | "execution_count": 19,
78 | "metadata": {},
79 | "outputs": [],
80 | "source": [
81 | "import numpy as np\n",
82 | "import matplotlib.pyplot as plt\n",
83 | "from sklearn.datasets import make_regression\n",
84 | "from sklearn.model_selection import train_test_split"
85 | ]
86 | },
87 | {
88 | "cell_type": "markdown",
89 | "metadata": {},
90 | "source": [
91 | "## 3. Generate and Prepare Dataset\n",
92 | "We create a dataset with one feature (univariate), normalize it for faster convergence, and split it into training and testing sets."
93 | ]
94 | },
95 | {
96 | "cell_type": "code",
97 | "execution_count": 20,
98 | "metadata": {},
99 | "outputs": [],
100 | "source": [
101 | "# Generate a synthetic dataset (univariate)\n",
102 | "X, y = make_regression(n_samples=200, n_features=1, noise=15, random_state=42)\n",
103 | "X = X.flatten() # Flatten X to 1D array\n",
104 | "\n",
105 | "# Normalize X and y\n",
106 | "X = (X - np.mean(X)) / np.std(X)\n",
107 | "y = (y - np.mean(y)) / np.std(y)\n",
108 | "\n",
109 | "# Split the dataset into training and testing sets\n",
110 | "X_train, X_test, y_train, y_test = train_test_split(X, y, test_size=0.2, random_state=42)"
111 | ]
112 | },
113 | {
114 | "cell_type": "markdown",
115 | "metadata": {},
116 | "source": [
117 | "## 4. Initialize Parameters\n",
118 | "Randomly initialize the model parameters w (weight) and b (bias)."
119 | ]
120 | },
121 | {
122 | "cell_type": "code",
123 | "execution_count": 21,
124 | "metadata": {},
125 | "outputs": [],
126 | "source": [
127 | "w = np.random.randn() # Random weight\n",
128 | "b = np.random.randn() # Random bias\n",
129 | "learning_rate = 0.01 # Step size for updates\n",
130 | "epochs = 1000 # Number of iterations"
131 | ]
132 | },
133 | {
134 | "cell_type": "markdown",
135 | "metadata": {},
136 | "source": [
137 | "## 5. Define Stochastic Gradient Descent\n",
138 | "We implement the SGD algorithm by iterating through the dataset, computing the gradients for w and b, and updating the parameters."
139 | ]
140 | },
141 | {
142 | "cell_type": "code",
143 | "execution_count": 1,
144 | "metadata": {},
145 | "outputs": [],
146 | "source": [
147 | "import numpy as np \n",
148 | "from sklearn.utils import shuffle as sklearn_shuffle \n",
149 | "\n",
150 | "def sgd(X, y, w, b, learning_rate, epochs): \n",
151 | " pass"
152 | ]
153 | },
154 | {
155 | "cell_type": "markdown",
156 | "metadata": {},
157 | "source": [
158 | "## 6. Train the Model\n",
159 | "We train the model using the training dataset and store the final parameters and loss history."
160 | ]
161 | },
162 | {
163 | "cell_type": "code",
164 | "execution_count": null,
165 | "metadata": {},
166 | "outputs": [],
167 | "source": []
168 | },
169 | {
170 | "cell_type": "markdown",
171 | "metadata": {},
172 | "source": [
173 | "## 7. Evaluate the Model\n",
174 | "We evaluate the trained model on both the training and testing datasets by computing the Mean Squared Error (MSE)."
175 | ]
176 | },
177 | {
178 | "cell_type": "code",
179 | "execution_count": null,
180 | "metadata": {},
181 | "outputs": [],
182 | "source": []
183 | },
184 | {
185 | "cell_type": "markdown",
186 | "metadata": {},
187 | "source": [
188 | "## 8. Visualize the Results\n",
189 | "We visualize the loss history and compare predicted vs actual values."
190 | ]
191 | },
192 | {
193 | "cell_type": "code",
194 | "execution_count": null,
195 | "metadata": {},
196 | "outputs": [],
197 | "source": []
198 | },
199 | {
200 | "cell_type": "code",
201 | "execution_count": null,
202 | "metadata": {},
203 | "outputs": [],
204 | "source": []
205 | }
206 | ],
207 | "metadata": {
208 | "kernelspec": {
209 | "display_name": "pytorch23",
210 | "language": "python",
211 | "name": "python3"
212 | },
213 | "language_info": {
214 | "codemirror_mode": {
215 | "name": "ipython",
216 | "version": 3
217 | },
218 | "file_extension": ".py",
219 | "mimetype": "text/x-python",
220 | "name": "python",
221 | "nbconvert_exporter": "python",
222 | "pygments_lexer": "ipython3",
223 | "version": "3.9.19"
224 | }
225 | },
226 | "nbformat": 4,
227 | "nbformat_minor": 2
228 | }
229 |
--------------------------------------------------------------------------------
/README_2.md:
--------------------------------------------------------------------------------
1 | 
2 |
3 | # About This Project
4 | This project contains the code and resources for my machine learning course at **Tarbiat Modares University**. The course covers a variety of machine learning topics, including supervised learning, unsupervised learning, and deep learning. The code in this project is designed to help students learn the concepts and techniques covered in the course, and to practice applying them to real-world problems.
5 |
6 | The code is written in Python and uses the following libraries: NumPy, Pandas, Matplotlib, Scikit-learn, and PyTorch.
7 | The target audience for this project is students who are new to machine learning. The code is well-documented and includes examples and tutorials.
8 |
9 | I created this project to share my knowledge and experience with others who are interested in learning about machine learning.
10 |
11 | I hope this code is helpful to you. If you have any questions or suggestions, please feel free to contact me.
12 |
13 | ## Introduction to Python
14 | Python is a popular programming language for machine learning due to its simplicity and versatility.
15 | In this section, we covered the basics of Python programming, including:
16 |
17 | **Variables and data types**
18 |
19 | **Copy and Deep copy**
20 |
21 |
22 | Operators
23 |
24 | - Arithmetic operators
25 | - Assignment operators
26 | - Comparison operators
27 | - Logical operators
28 | - Bitwise operators
29 | - Membership operators
30 | - Identity operators
31 |
32 |
33 |
34 | Data Types
35 |
36 | - Numeric types(int, float, complex)
37 | - Text type(str)
38 | - Sequence types(list, tuple, range)
39 | - Mapping type(dict)
40 | - Set types(set)
41 | - Boolean type(bool)
42 | - Binary types(bytes)
43 |
44 |
45 |
46 | List
47 |
48 | Different types of creating list
49 | - Using square brackets and comma-separated values
50 | - Using the list() constructor
51 | - Using the range() function
52 | - Using a list comprehension
53 | - Creating an empty list and then adding items
54 |
55 | Indexing and Slicing in list
56 |
57 | List methods
58 | - append()
59 | - insert()
60 | - remove()
61 | - pop()
62 | - sort()
63 | - reverse()
64 | - extend()
65 | - index()
66 | - count()
67 | - clear()
68 | - copy()
69 | - len()
70 |
71 | list characteristics
72 | - Mutable
73 | - Ordered
74 | - Heterogeneous
75 | - Variable length
76 | - Nestable
77 | - Iterable
78 |
79 |
80 |
81 | Control flow statements (if, for, while)
82 |
83 | Several advanced forms of the for loop
84 | - for loop with zip() function
85 | - for loop with enumerate() function
86 | - for loop with dictionary
87 | - for loop in a single line (list comprehension)
88 |
89 |
90 |
91 | Functions
92 |
93 | Parameters and Arguments
94 | - Argument syntax
95 | - Parameters syntax
96 |
97 | function annotations
98 |
99 | lambda function
100 |
101 | Some useful Built-in functions:
102 | - enumerate()
103 | - zip()
104 | - map()
105 | - filter()
106 |
107 |
108 | **Iterables and Iterators**
109 |
110 | **try and except**
111 |
112 | ## Introduction to Numpy
113 | Numpy is a Python library for numerical computing, which provides powerful array operations and linear algebra functions. In this section, we covered the following topics:
114 |
115 | - Creating and manipulating arrays
116 | - Indexing and slicing
117 |
118 |
119 | Basic array operations
120 |
121 | - Basic mathematical operations
122 | - Trigonometric functions
123 | - Exponential and logarithmic functions
124 | - Linear algebra operations(dot product, eigenvalue decomposition, matrix inversion)
125 | - Statistical functions
126 | - Axis
127 | - Reshaping and Transposing
128 | - Random number generation
129 |
130 |
131 | ## Introduction to Pandas
132 | Pandas is a Python library for data manipulation and analysis, which provides powerful tools for handling tabular data. In this section, we covered the following topics:
133 |
134 | - Loading and showing data
135 | - Change index
136 | - df.loc[] vs df.iloc[]
137 | - Sort Dataframe by one column
138 | - Boolean Masking for filtering Dataframe
139 | - Data exploration methods (shape, columns, info, describe, unique, value_counts)
140 |
141 | Data visualization methods
142 |
143 | **For numerical features**
144 | - plot()
145 | - scatter()
146 | - hist()
147 | - boxplot()
148 |
149 | **For categorical features**
150 | - bar()
151 | - pie()
152 | - boxplot()
153 |
154 | **Applying function to pandas Dataframe**
155 |
156 | **Data Transformation**
157 | - Grouping (Groupby)
158 | - Pivoting
159 | - Merging
160 |
161 |
162 | ## Introduction to Matplotlib
163 | Matplotlib is a Python library for data visualization, which provides flexible and customizable plotting functions. In this section, we covered the following topics:
164 |
165 | - Basic plotting functions (line plots, scatter plots, histograms)
166 | - Customizing plots (labels, legends, styles, color, marker, title and xlabel-ylabel)
167 |
168 | ## Gradient Descent
169 | Gradient descent is a fundamental optimization algorithm for finding the minimum of a function. In machine learning, it is commonly used to optimize the parameters of a model. In this section, we covered the following topics:
170 |
171 | - Loss Function
172 | - MAE function
173 | - MSE function
174 | - Plot loss Function
175 | - Optimizer
176 | - The intuition behind gradient descent and How GD works
177 | - The mathematical formulation of gradient descent
178 | - Implementing gradient descent from scratch in Python and plot the result
179 |
180 | ## Linear Regression
181 | Linear regression is a simple yet powerful method for modeling the relationship between a dependent variable and one or more independent variables. In this section, we covered the following topics:
182 |
183 | - The intuition behind linear regression
184 | - Simple linear regression (one input variable)
185 | - Hypothesis function
186 | - The mathematical formulation of linear regression
187 | - Plot Hypothesis function with coef, and intercept which are computed by model
188 | - Implementing linear regression using Numpy and Scikit-learn
189 | - Evaluating model performance (mean squared error, R-squared)
190 |
191 | ## Multiple Linear Regression
192 | Multiple linear regression is an extension of linear regression that can model the relationship between a dependent variable and multiple independent variables. In this section, we covered the following topics:
193 |
194 | - Preprocess and EDA
195 | - Check and handle missing values
196 | - Encoding categorical feature
197 | - Change order of columns
198 | - Rename the column names so that they can be codable
199 | - BoxPlot for Outliers
200 | - Feature selection/Reduction
201 | - The intuition behind multiple linear regression (multiple input variables)
202 | - Ordinary Least Squares: closed-form solution
203 | - SGDRegressor()
204 | - Implementing multiple linear regression with two ways (closed-form solution and SGDRegressor()) using Scikit-learn
205 |
206 | ## Logistic Regression
207 | Logistic regression is a machine learning algorithm used for classification problems, where the target variable is binary or categorical. We covered how to implement logistic regression using Python and Scikit-learn, and how to evaluate the performance of a logistic regression model. In this section, we covered the following topics:
208 | - Model with GridSearchCV
209 | - Plot the decision boundary
210 |
211 | ## Neural Networks
212 | Neural networks are a powerful class of machine learning algorithms that can be used for a wide range of tasks, including image recognition, natural language processing, and speech recognition. We covered the basic concepts of neural networks, including how to create a feedforward neural network using Pytorch.
213 |
214 | ## Decision Tree
215 | A decision tree is a type of supervised machine learning algorithm that is commonly used for classification and regression tasks. It is a tree-like model where each internal node represents a test on an attribute, each branch represents the outcome of the test, and each leaf node represents a class label or a numerical value.
216 |
217 | The decision-making process starts at the root node of the tree and follows a path down to a leaf node, based on the values of the attributes being tested. At each internal node, the algorithm chooses the best attribute to split the data based on some metric, such as information gain or Gini impurity. The goal is to create a tree that can accurately predict the class label or numerical value of new instances based on their attribute values. In this section, we covered the following topics:
218 | - A simple decision tree
219 | - Decision Tree with Random search
220 | - Decision Tree with Grid search (Grid search and random search are two commonly used techniques for hyperparameter tuning in machine learning.)
221 | - Train a Random forest
--------------------------------------------------------------------------------
/Data/classification/Social_Network_Ads.csv:
--------------------------------------------------------------------------------
1 | User ID,Gender,Age,Estimated_Salary,Purchased
2 | 15624510,Male,19,19000,0
3 | 15810944,Male,35,20000,0
4 | 15668575,Female,26,43000,0
5 | 15603246,Female,27,57000,0
6 | 15804002,Male,19,76000,0
7 | 15728773,Male,27,58000,0
8 | 15598044,Female,27,84000,0
9 | 15694829,Female,32,150000,1
10 | 15600575,Male,25,33000,0
11 | 15727311,Female,35,65000,0
12 | 15570769,Female,26,80000,0
13 | 15606274,Female,26,52000,0
14 | 15746139,Male,20,86000,0
15 | 15704987,Male,32,18000,0
16 | 15628972,Male,18,82000,0
17 | 15697686,Male,29,80000,0
18 | 15733883,Male,47,25000,1
19 | 15617482,Male,45,26000,1
20 | 15704583,Male,46,28000,1
21 | 15621083,Female,48,29000,1
22 | 15649487,Male,45,22000,1
23 | 15736760,Female,47,49000,1
24 | 15714658,Male,48,41000,1
25 | 15599081,Female,45,22000,1
26 | 15705113,Male,46,23000,1
27 | 15631159,Male,47,20000,1
28 | 15792818,Male,49,28000,1
29 | 15633531,Female,47,30000,1
30 | 15744529,Male,29,43000,0
31 | 15669656,Male,31,18000,0
32 | 15581198,Male,31,74000,0
33 | 15729054,Female,27,137000,1
34 | 15573452,Female,21,16000,0
35 | 15776733,Female,28,44000,0
36 | 15724858,Male,27,90000,0
37 | 15713144,Male,35,27000,0
38 | 15690188,Female,33,28000,0
39 | 15689425,Male,30,49000,0
40 | 15671766,Female,26,72000,0
41 | 15782806,Female,27,31000,0
42 | 15764419,Female,27,17000,0
43 | 15591915,Female,33,51000,0
44 | 15772798,Male,35,108000,0
45 | 15792008,Male,30,15000,0
46 | 15715541,Female,28,84000,0
47 | 15639277,Male,23,20000,0
48 | 15798850,Male,25,79000,0
49 | 15776348,Female,27,54000,0
50 | 15727696,Male,30,135000,1
51 | 15793813,Female,31,89000,0
52 | 15694395,Female,24,32000,0
53 | 15764195,Female,18,44000,0
54 | 15744919,Female,29,83000,0
55 | 15671655,Female,35,23000,0
56 | 15654901,Female,27,58000,0
57 | 15649136,Female,24,55000,0
58 | 15775562,Female,23,48000,0
59 | 15807481,Male,28,79000,0
60 | 15642885,Male,22,18000,0
61 | 15789109,Female,32,117000,0
62 | 15814004,Male,27,20000,0
63 | 15673619,Male,25,87000,0
64 | 15595135,Female,23,66000,0
65 | 15583681,Male,32,120000,1
66 | 15605000,Female,59,83000,0
67 | 15718071,Male,24,58000,0
68 | 15679760,Male,24,19000,0
69 | 15654574,Female,23,82000,0
70 | 15577178,Female,22,63000,0
71 | 15595324,Female,31,68000,0
72 | 15756932,Male,25,80000,0
73 | 15726358,Female,24,27000,0
74 | 15595228,Female,20,23000,0
75 | 15782530,Female,33,113000,0
76 | 15592877,Male,32,18000,0
77 | 15651983,Male,34,112000,1
78 | 15746737,Male,18,52000,0
79 | 15774179,Female,22,27000,0
80 | 15667265,Female,28,87000,0
81 | 15655123,Female,26,17000,0
82 | 15595917,Male,30,80000,0
83 | 15668385,Male,39,42000,0
84 | 15709476,Male,20,49000,0
85 | 15711218,Male,35,88000,0
86 | 15798659,Female,30,62000,0
87 | 15663939,Female,31,118000,1
88 | 15694946,Male,24,55000,0
89 | 15631912,Female,28,85000,0
90 | 15768816,Male,26,81000,0
91 | 15682268,Male,35,50000,0
92 | 15684801,Male,22,81000,0
93 | 15636428,Female,30,116000,0
94 | 15809823,Male,26,15000,0
95 | 15699284,Female,29,28000,0
96 | 15786993,Female,29,83000,0
97 | 15709441,Female,35,44000,0
98 | 15710257,Female,35,25000,0
99 | 15582492,Male,28,123000,1
100 | 15575694,Male,35,73000,0
101 | 15756820,Female,28,37000,0
102 | 15766289,Male,27,88000,0
103 | 15593014,Male,28,59000,0
104 | 15584545,Female,32,86000,0
105 | 15675949,Female,33,149000,1
106 | 15672091,Female,19,21000,0
107 | 15801658,Male,21,72000,0
108 | 15706185,Female,26,35000,0
109 | 15789863,Male,27,89000,0
110 | 15720943,Male,26,86000,0
111 | 15697997,Female,38,80000,0
112 | 15665416,Female,39,71000,0
113 | 15660200,Female,37,71000,0
114 | 15619653,Male,38,61000,0
115 | 15773447,Male,37,55000,0
116 | 15739160,Male,42,80000,0
117 | 15689237,Male,40,57000,0
118 | 15679297,Male,35,75000,0
119 | 15591433,Male,36,52000,0
120 | 15642725,Male,40,59000,0
121 | 15701962,Male,41,59000,0
122 | 15811613,Female,36,75000,0
123 | 15741049,Male,37,72000,0
124 | 15724423,Female,40,75000,0
125 | 15574305,Male,35,53000,0
126 | 15678168,Female,41,51000,0
127 | 15697020,Female,39,61000,0
128 | 15610801,Male,42,65000,0
129 | 15745232,Male,26,32000,0
130 | 15722758,Male,30,17000,0
131 | 15792102,Female,26,84000,0
132 | 15675185,Male,31,58000,0
133 | 15801247,Male,33,31000,0
134 | 15725660,Male,30,87000,0
135 | 15638963,Female,21,68000,0
136 | 15800061,Female,28,55000,0
137 | 15578006,Male,23,63000,0
138 | 15668504,Female,20,82000,0
139 | 15687491,Male,30,107000,1
140 | 15610403,Female,28,59000,0
141 | 15741094,Male,19,25000,0
142 | 15807909,Male,19,85000,0
143 | 15666141,Female,18,68000,0
144 | 15617134,Male,35,59000,0
145 | 15783029,Male,30,89000,0
146 | 15622833,Female,34,25000,0
147 | 15746422,Female,24,89000,0
148 | 15750839,Female,27,96000,1
149 | 15749130,Female,41,30000,0
150 | 15779862,Male,29,61000,0
151 | 15767871,Male,20,74000,0
152 | 15679651,Female,26,15000,0
153 | 15576219,Male,41,45000,0
154 | 15699247,Male,31,76000,0
155 | 15619087,Female,36,50000,0
156 | 15605327,Male,40,47000,0
157 | 15610140,Female,31,15000,0
158 | 15791174,Male,46,59000,0
159 | 15602373,Male,29,75000,0
160 | 15762605,Male,26,30000,0
161 | 15598840,Female,32,135000,1
162 | 15744279,Male,32,100000,1
163 | 15670619,Male,25,90000,0
164 | 15599533,Female,37,33000,0
165 | 15757837,Male,35,38000,0
166 | 15697574,Female,33,69000,0
167 | 15578738,Female,18,86000,0
168 | 15762228,Female,22,55000,0
169 | 15614827,Female,35,71000,0
170 | 15789815,Male,29,148000,1
171 | 15579781,Female,29,47000,0
172 | 15587013,Male,21,88000,0
173 | 15570932,Male,34,115000,0
174 | 15794661,Female,26,118000,0
175 | 15581654,Female,34,43000,0
176 | 15644296,Female,34,72000,0
177 | 15614420,Female,23,28000,0
178 | 15609653,Female,35,47000,0
179 | 15594577,Male,25,22000,0
180 | 15584114,Male,24,23000,0
181 | 15673367,Female,31,34000,0
182 | 15685576,Male,26,16000,0
183 | 15774727,Female,31,71000,0
184 | 15694288,Female,32,117000,1
185 | 15603319,Male,33,43000,0
186 | 15759066,Female,33,60000,0
187 | 15814816,Male,31,66000,0
188 | 15724402,Female,20,82000,0
189 | 15571059,Female,33,41000,0
190 | 15674206,Male,35,72000,0
191 | 15715160,Male,28,32000,0
192 | 15730448,Male,24,84000,0
193 | 15662067,Female,19,26000,0
194 | 15779581,Male,29,43000,0
195 | 15662901,Male,19,70000,0
196 | 15689751,Male,28,89000,0
197 | 15667742,Male,34,43000,0
198 | 15738448,Female,30,79000,0
199 | 15680243,Female,20,36000,0
200 | 15745083,Male,26,80000,0
201 | 15708228,Male,35,22000,0
202 | 15628523,Male,35,39000,0
203 | 15708196,Male,49,74000,0
204 | 15735549,Female,39,134000,1
205 | 15809347,Female,41,71000,0
206 | 15660866,Female,58,101000,1
207 | 15766609,Female,47,47000,0
208 | 15654230,Female,55,130000,1
209 | 15794566,Female,52,114000,0
210 | 15800890,Female,40,142000,1
211 | 15697424,Female,46,22000,0
212 | 15724536,Female,48,96000,1
213 | 15735878,Male,52,150000,1
214 | 15707596,Female,59,42000,0
215 | 15657163,Male,35,58000,0
216 | 15622478,Male,47,43000,0
217 | 15779529,Female,60,108000,1
218 | 15636023,Male,49,65000,0
219 | 15582066,Male,40,78000,0
220 | 15666675,Female,46,96000,0
221 | 15732987,Male,59,143000,1
222 | 15789432,Female,41,80000,0
223 | 15663161,Male,35,91000,1
224 | 15694879,Male,37,144000,1
225 | 15593715,Male,60,102000,1
226 | 15575002,Female,35,60000,0
227 | 15622171,Male,37,53000,0
228 | 15795224,Female,36,126000,1
229 | 15685346,Male,56,133000,1
230 | 15691808,Female,40,72000,0
231 | 15721007,Female,42,80000,1
232 | 15794253,Female,35,147000,1
233 | 15694453,Male,39,42000,0
234 | 15813113,Male,40,107000,1
235 | 15614187,Male,49,86000,1
236 | 15619407,Female,38,112000,0
237 | 15646227,Male,46,79000,1
238 | 15660541,Male,40,57000,0
239 | 15753874,Female,37,80000,0
240 | 15617877,Female,46,82000,0
241 | 15772073,Female,53,143000,1
242 | 15701537,Male,42,149000,1
243 | 15736228,Male,38,59000,0
244 | 15780572,Female,50,88000,1
245 | 15769596,Female,56,104000,1
246 | 15586996,Female,41,72000,0
247 | 15722061,Female,51,146000,1
248 | 15638003,Female,35,50000,0
249 | 15775590,Female,57,122000,1
250 | 15730688,Male,41,52000,0
251 | 15753102,Female,35,97000,1
252 | 15810075,Female,44,39000,0
253 | 15723373,Male,37,52000,0
254 | 15795298,Female,48,134000,1
255 | 15584320,Female,37,146000,1
256 | 15724161,Female,50,44000,0
257 | 15750056,Female,52,90000,1
258 | 15609637,Female,41,72000,0
259 | 15794493,Male,40,57000,0
260 | 15569641,Female,58,95000,1
261 | 15815236,Female,45,131000,1
262 | 15811177,Female,35,77000,0
263 | 15680587,Male,36,144000,1
264 | 15672821,Female,55,125000,1
265 | 15767681,Female,35,72000,0
266 | 15600379,Male,48,90000,1
267 | 15801336,Female,42,108000,1
268 | 15721592,Male,40,75000,0
269 | 15581282,Male,37,74000,0
270 | 15746203,Female,47,144000,1
271 | 15583137,Male,40,61000,0
272 | 15680752,Female,43,133000,0
273 | 15688172,Female,59,76000,1
274 | 15791373,Male,60,42000,1
275 | 15589449,Male,39,106000,1
276 | 15692819,Female,57,26000,1
277 | 15727467,Male,57,74000,1
278 | 15734312,Male,38,71000,0
279 | 15764604,Male,49,88000,1
280 | 15613014,Female,52,38000,1
281 | 15759684,Female,50,36000,1
282 | 15609669,Female,59,88000,1
283 | 15685536,Male,35,61000,0
284 | 15750447,Male,37,70000,1
285 | 15663249,Female,52,21000,1
286 | 15638646,Male,48,141000,0
287 | 15734161,Female,37,93000,1
288 | 15631070,Female,37,62000,0
289 | 15761950,Female,48,138000,1
290 | 15649668,Male,41,79000,0
291 | 15713912,Female,37,78000,1
292 | 15586757,Male,39,134000,1
293 | 15596522,Male,49,89000,1
294 | 15625395,Male,55,39000,1
295 | 15760570,Male,37,77000,0
296 | 15566689,Female,35,57000,0
297 | 15725794,Female,36,63000,0
298 | 15673539,Male,42,73000,1
299 | 15705298,Female,43,112000,1
300 | 15675791,Male,45,79000,0
301 | 15747043,Male,46,117000,1
302 | 15736397,Female,58,38000,1
303 | 15678201,Male,48,74000,1
304 | 15720745,Female,37,137000,1
305 | 15637593,Male,37,79000,1
306 | 15598070,Female,40,60000,0
307 | 15787550,Male,42,54000,0
308 | 15603942,Female,51,134000,0
309 | 15733973,Female,47,113000,1
310 | 15596761,Male,36,125000,1
311 | 15652400,Female,38,50000,0
312 | 15717893,Female,42,70000,0
313 | 15622585,Male,39,96000,1
314 | 15733964,Female,38,50000,0
315 | 15753861,Female,49,141000,1
316 | 15747097,Female,39,79000,0
317 | 15594762,Female,39,75000,1
318 | 15667417,Female,54,104000,1
319 | 15684861,Male,35,55000,0
320 | 15742204,Male,45,32000,1
321 | 15623502,Male,36,60000,0
322 | 15774872,Female,52,138000,1
323 | 15611191,Female,53,82000,1
324 | 15674331,Male,41,52000,0
325 | 15619465,Female,48,30000,1
326 | 15575247,Female,48,131000,1
327 | 15695679,Female,41,60000,0
328 | 15713463,Male,41,72000,0
329 | 15785170,Female,42,75000,0
330 | 15796351,Male,36,118000,1
331 | 15639576,Female,47,107000,1
332 | 15693264,Male,38,51000,0
333 | 15589715,Female,48,119000,1
334 | 15769902,Male,42,65000,0
335 | 15587177,Male,40,65000,0
336 | 15814553,Male,57,60000,1
337 | 15601550,Female,36,54000,0
338 | 15664907,Male,58,144000,1
339 | 15612465,Male,35,79000,0
340 | 15810800,Female,38,55000,0
341 | 15665760,Male,39,122000,1
342 | 15588080,Female,53,104000,1
343 | 15776844,Male,35,75000,0
344 | 15717560,Female,38,65000,0
345 | 15629739,Female,47,51000,1
346 | 15729908,Male,47,105000,1
347 | 15716781,Female,41,63000,0
348 | 15646936,Male,53,72000,1
349 | 15768151,Female,54,108000,1
350 | 15579212,Male,39,77000,0
351 | 15721835,Male,38,61000,0
352 | 15800515,Female,38,113000,1
353 | 15591279,Male,37,75000,0
354 | 15587419,Female,42,90000,1
355 | 15750335,Female,37,57000,0
356 | 15699619,Male,36,99000,1
357 | 15606472,Male,60,34000,1
358 | 15778368,Male,54,70000,1
359 | 15671387,Female,41,72000,0
360 | 15573926,Male,40,71000,1
361 | 15709183,Male,42,54000,0
362 | 15577514,Male,43,129000,1
363 | 15778830,Female,53,34000,1
364 | 15768072,Female,47,50000,1
365 | 15768293,Female,42,79000,0
366 | 15654456,Male,42,104000,1
367 | 15807525,Female,59,29000,1
368 | 15574372,Female,58,47000,1
369 | 15671249,Male,46,88000,1
370 | 15779744,Male,38,71000,0
371 | 15624755,Female,54,26000,1
372 | 15611430,Female,60,46000,1
373 | 15774744,Male,60,83000,1
374 | 15629885,Female,39,73000,0
375 | 15708791,Male,59,130000,1
376 | 15793890,Female,37,80000,0
377 | 15646091,Female,46,32000,1
378 | 15596984,Female,46,74000,0
379 | 15800215,Female,42,53000,0
380 | 15577806,Male,41,87000,1
381 | 15749381,Female,58,23000,1
382 | 15683758,Male,42,64000,0
383 | 15670615,Male,48,33000,1
384 | 15715622,Female,44,139000,1
385 | 15707634,Male,49,28000,1
386 | 15806901,Female,57,33000,1
387 | 15775335,Male,56,60000,1
388 | 15724150,Female,49,39000,1
389 | 15627220,Male,39,71000,0
390 | 15672330,Male,47,34000,1
391 | 15668521,Female,48,35000,1
392 | 15807837,Male,48,33000,1
393 | 15592570,Male,47,23000,1
394 | 15748589,Female,45,45000,1
395 | 15635893,Male,60,42000,1
396 | 15757632,Female,39,59000,0
397 | 15691863,Female,46,41000,1
398 | 15706071,Male,51,23000,1
399 | 15654296,Female,50,20000,1
400 | 15755018,Male,36,33000,0
401 | 15594041,Female,49,36000,1
402 |
--------------------------------------------------------------------------------
/01_Introductory_Concepts/04_Numpy/NumPy_Assignments/NumPy_Assignment_Template.ipynb:
--------------------------------------------------------------------------------
1 | {
2 | "cells": [
3 | {
4 | "cell_type": "markdown",
5 | "metadata": {},
6 | "source": [
7 | "# 📝 **NumPy Assignment Series**"
8 | ]
9 | },
10 | {
11 | "cell_type": "markdown",
12 | "metadata": {},
13 | "source": [
14 | "## Assignment 1: Array Creation and Initialization\n",
15 | "\n",
16 | "### **Concept:**\n",
17 | "Learn how to create and initialize NumPy arrays using different methods.\n",
18 | "\n",
19 | "### **Tasks:**\n",
20 | "\n",
21 | "1. **Create an array from a list:** \n",
22 | " Convert the following list into a NumPy array: `[1, 2, 3, 4, 5]`.\n",
23 | "\n",
24 | "2. **Create arrays using functions:** \n",
25 | " - Create an array of zeros with shape `(3, 3)`.\n",
26 | " - Create an array of ones with shape `(2, 4)`.\n",
27 | " - Create an array of evenly spaced values between 0 and 10 with a step of 2.\n",
28 | "\n",
29 | "3. **Create an identity matrix:** \n",
30 | " Create a 4x4 identity matrix.\n",
31 | "\n",
32 | "### **Solution:**"
33 | ]
34 | },
35 | {
36 | "cell_type": "code",
37 | "execution_count": null,
38 | "metadata": {},
39 | "outputs": [],
40 | "source": []
41 | },
42 | {
43 | "cell_type": "markdown",
44 | "metadata": {},
45 | "source": [
46 | "## Assignment 2: Array Manipulation\n",
47 | "\n",
48 | "### **Concept:**\n",
49 | "Learn how to reshape, flatten, and concatenate arrays.\n",
50 | "\n",
51 | "### **Tasks:**\n",
52 | "\n",
53 | "1. **Reshape an array:** \n",
54 | " Reshape the array `[1, 2, 3, 4, 5, 6]` into a 2x3 matrix.\n",
55 | "\n",
56 | "2. **Flatten a 2D array:** \n",
57 | " Flatten the following 2D array: \n",
58 | " ```\n",
59 | " [[1, 2, 3],\n",
60 | " [4, 5, 6]]\n",
61 | " ```\n",
62 | "\n",
63 | "3. **Concatenate arrays:** \n",
64 | " Concatenate the arrays `[1, 2, 3]` and `[4, 5, 6]` horizontally.\n",
65 | "\n",
66 | "### **Solution:**"
67 | ]
68 | },
69 | {
70 | "cell_type": "code",
71 | "execution_count": null,
72 | "metadata": {},
73 | "outputs": [],
74 | "source": []
75 | },
76 | {
77 | "cell_type": "markdown",
78 | "metadata": {},
79 | "source": [
80 | "## Assignment 3: Array Broadcasting\n",
81 | "\n",
82 | "### **Concept:**\n",
83 | "Practice broadcasting rules in NumPy for element-wise operations.\n",
84 | "\n",
85 | "### **Tasks:**\n",
86 | "\n",
87 | "1. **Add a scalar to an array:** \n",
88 | " Add `10` to each element of the array `[1, 2, 3, 4]`.\n",
89 | "\n",
90 | "2. **Add a 1D array to a 2D array:** \n",
91 | " Add `[1, 2, 3]` to each row of the 2D array: \n",
92 | " ```\n",
93 | " [[10, 20, 30],\n",
94 | " [40, 50, 60]]\n",
95 | " ```\n",
96 | "\n",
97 | "### **Solution:**"
98 | ]
99 | },
100 | {
101 | "cell_type": "code",
102 | "execution_count": 1,
103 | "metadata": {},
104 | "outputs": [
105 | {
106 | "name": "stdout",
107 | "output_type": "stream",
108 | "text": [
109 | "3D Matrix:\n",
110 | "[[[ 1 2 3 4]\n",
111 | " [ 5 6 7 8]\n",
112 | " [ 9 10 11 12]]\n",
113 | "\n",
114 | " [[13 14 15 16]\n",
115 | " [17 18 19 20]\n",
116 | " [21 22 23 24]]]\n",
117 | "\n",
118 | "1D Vector:\n",
119 | "[10 20 30 40]\n",
120 | "\n",
121 | "Result after broadcasting addition:\n",
122 | "[[[11 22 33 44]\n",
123 | " [15 26 37 48]\n",
124 | " [19 30 41 52]]\n",
125 | "\n",
126 | " [[23 34 45 56]\n",
127 | " [27 38 49 60]\n",
128 | " [31 42 53 64]]]\n"
129 | ]
130 | }
131 | ],
132 | "source": [
133 | "import numpy as np \n",
134 | "\n",
135 | "# Create a 3D matrix (shape: 2x3x4) \n",
136 | "matrix_3d = np.array([[[1, 2, 3, 4], \n",
137 | " [5, 6, 7, 8], \n",
138 | " [9, 10, 11, 12]], \n",
139 | " \n",
140 | " [[13, 14, 15, 16], \n",
141 | " [17, 18, 19, 20], \n",
142 | " [21, 22, 23, 24]]]) \n",
143 | "\n",
144 | "# Create a 1D vector (shape: 4) \n",
145 | "vector_1d = np.array([10, 20, 30, 40]) \n",
146 | "\n",
147 | "# Add the 1D vector to the 3D matrix using broadcasting \n",
148 | "result = matrix_3d + vector_1d \n",
149 | "\n",
150 | "print(\"3D Matrix:\") \n",
151 | "print(matrix_3d) \n",
152 | "print(\"\\n1D Vector:\") \n",
153 | "print(vector_1d) \n",
154 | "print(\"\\nResult after broadcasting addition:\") \n",
155 | "print(result)"
156 | ]
157 | },
158 | {
159 | "cell_type": "markdown",
160 | "metadata": {},
161 | "source": [
162 | "## Assignment 4: Mathematical Operations\n",
163 | "\n",
164 | "### **Concept:**\n",
165 | "Perform mathematical operations on NumPy arrays.\n",
166 | "\n",
167 | "### **Tasks:**\n",
168 | "\n",
169 | "1. **Element-wise operations:** \n",
170 | " Given `arr1 = [1, 2, 3]` and `arr2 = [4, 5, 6]`, compute the following:\n",
171 | " - Sum of `arr1` and `arr2`\n",
172 | " - Product of `arr1` and `arr2`\n",
173 | "\n",
174 | "2. **Compute mean and standard deviation:** \n",
175 | " Calculate the mean and standard deviation of the array `[2, 4, 6, 8, 10]`.\n",
176 | "\n",
177 | "### **Solution:**"
178 | ]
179 | },
180 | {
181 | "cell_type": "code",
182 | "execution_count": null,
183 | "metadata": {},
184 | "outputs": [],
185 | "source": []
186 | },
187 | {
188 | "cell_type": "markdown",
189 | "metadata": {},
190 | "source": [
191 | "## Assignment 5: Indexing and Slicing\n",
192 | "\n",
193 | "### **Concept:**\n",
194 | "Practice advanced indexing and slicing techniques in NumPy.\n",
195 | "\n",
196 | "### **Tasks:**\n",
197 | "\n",
198 | "1. **Indexing:** \n",
199 | " Extract the element at position `(1, 2)` from the following array: \n",
200 | " ```\n",
201 | " [[10, 20, 30],\n",
202 | " [40, 50, 60],\n",
203 | " [70, 80, 90]]\n",
204 | " ```\n",
205 | "\n",
206 | "2. **Slicing:** \n",
207 | " Extract the second row and first two columns from the array above.\n",
208 | "\n",
209 | "3. **Boolean indexing:** \n",
210 | " Given `arr = [5, 10, 15, 20]`, extract elements greater than `10`.\n",
211 | "\n",
212 | "### **Solution:**"
213 | ]
214 | },
215 | {
216 | "cell_type": "code",
217 | "execution_count": null,
218 | "metadata": {},
219 | "outputs": [],
220 | "source": []
221 | },
222 | {
223 | "cell_type": "markdown",
224 | "metadata": {},
225 | "source": [
226 | "## Assignment 6: Common Functions\n",
227 | "\n",
228 | "### **Concept:**\n",
229 | "Explore common NumPy functions such as `sum`, `max`, `min`, and `argmax`.\n",
230 | "\n",
231 | "### **Tasks:**\n",
232 | "\n",
233 | "1. **Compute sum and max:** \n",
234 | " Given the array `[3, 7, 2, 9, 5]`, compute the sum and maximum value.\n",
235 | "\n",
236 | "2. **Find the index of the maximum value:** \n",
237 | " Find the index of the maximum value in the same array.\n",
238 | "\n",
239 | "### **Solution:**"
240 | ]
241 | },
242 | {
243 | "cell_type": "code",
244 | "execution_count": null,
245 | "metadata": {},
246 | "outputs": [],
247 | "source": []
248 | },
249 | {
250 | "cell_type": "markdown",
251 | "metadata": {},
252 | "source": [
253 | "## Assignment 7: Array Creation with Random Numbers\n",
254 | "\n",
255 | "### **Concept:**\n",
256 | "Creating arrays using random number generation.\n",
257 | "\n",
258 | "### **Tasks:**\n",
259 | "\n",
260 | "1. **Generate a random 3x3 array of floats between 0 and 1.**\n",
261 | "\n",
262 | "2. **Create a 4x4 array of random integers between 10 and 50.**\n",
263 | "\n",
264 | "3. **Set a random seed to make the random numbers reproducible. Generate a 2x3 array of random numbers.**\n",
265 | "\n",
266 | "### **Solution:**"
267 | ]
268 | },
269 | {
270 | "cell_type": "code",
271 | "execution_count": null,
272 | "metadata": {},
273 | "outputs": [],
274 | "source": []
275 | },
276 | {
277 | "cell_type": "markdown",
278 | "metadata": {},
279 | "source": [
280 | "## Assignment 8: Advanced Array Manipulation\n",
281 | "\n",
282 | "### **Concept:**\n",
283 | "Stacking and splitting arrays.\n",
284 | "\n",
285 | "### **Tasks:**\n",
286 | "\n",
287 | "1. **Vertically stack the following arrays:** \n",
288 | " ```\n",
289 | " arr1 = [[1, 2], [3, 4]]\n",
290 | " arr2 = [[5, 6], [7, 8]]\n",
291 | " ```\n",
292 | "\n",
293 | "2. **Horizontally stack the same arrays.**\n",
294 | "\n",
295 | "3. **Split the following array into 3 equal parts along the first axis:** \n",
296 | " ```\n",
297 | " arr = [[1, 2], [3, 4], [5, 6]]\n",
298 | " ```\n",
299 | "\n",
300 | "### **Solution:**"
301 | ]
302 | },
303 | {
304 | "cell_type": "code",
305 | "execution_count": null,
306 | "metadata": {},
307 | "outputs": [],
308 | "source": []
309 | },
310 | {
311 | "cell_type": "markdown",
312 | "metadata": {},
313 | "source": [
314 | "## Assignment 9: Broadcasting and Advanced Arithmetic\n",
315 | "\n",
316 | "### **Concept:**\n",
317 | "Performing broadcasting with arithmetic operations.\n",
318 | "\n",
319 | "### **Tasks:**\n",
320 | "\n",
321 | "1. **Broadcast the following 1D array to a 3x3 array and add:** \n",
322 | " ```\n",
323 | " base = [[1, 2, 3], [4, 5, 6], [7, 8, 9]]\n",
324 | " add_array = [10, 20, 30]\n",
325 | " ```\n",
326 | "\n",
327 | "2. **Multiply a 3x3 matrix by a scalar value of 2.**\n",
328 | "\n",
329 | "3. **Divide each row of the following matrix by a different value:** \n",
330 | " ```\n",
331 | " arr = [[10, 20, 30],\n",
332 | " [40, 50, 60],\n",
333 | " [70, 80, 90]]\n",
334 | " divisors = [10, 20, 30]\n",
335 | " ```\n",
336 | "\n",
337 | "### **Solution:**"
338 | ]
339 | },
340 | {
341 | "cell_type": "code",
342 | "execution_count": null,
343 | "metadata": {},
344 | "outputs": [],
345 | "source": []
346 | },
347 | {
348 | "cell_type": "markdown",
349 | "metadata": {},
350 | "source": [
351 | "## Assignment 10: Indexing, Slicing, and Fancy Indexing\n",
352 | "\n",
353 | "### **Concept:**\n",
354 | "Practice with indexing techniques and fancy indexing.\n",
355 | "\n",
356 | "### **Tasks:**\n",
357 | "\n",
358 | "1. **Extract all even numbers from the following array:** \n",
359 | " ```\n",
360 | " arr = [1, 2, 3, 4, 5, 6, 7, 8, 9, 10]\n",
361 | " ```\n",
362 | "\n",
363 | "2. **Using fancy indexing, select the elements at positions `[0, 2, 4]` from the array:** \n",
364 | " ```\n",
365 | " arr = [10, 20, 30, 40, 50]\n",
366 | " ```\n",
367 | "\n",
368 | "3. **Extract the second and third rows and the first and second columns from this 2D array:** \n",
369 | " ```\n",
370 | " arr = [[1, 2, 3],\n",
371 | " [4, 5, 6],\n",
372 | " [7, 8, 9],\n",
373 | " [10, 11, 12]]\n",
374 | " ```\n",
375 | "\n",
376 | "### **Solution:**"
377 | ]
378 | },
379 | {
380 | "cell_type": "code",
381 | "execution_count": null,
382 | "metadata": {},
383 | "outputs": [],
384 | "source": []
385 | },
386 | {
387 | "cell_type": "markdown",
388 | "metadata": {},
389 | "source": [
390 | "## Assignment 11: Common Functions and Statistics\n",
391 | "\n",
392 | "### **Concept:**\n",
393 | "Using NumPy's built-in statistical functions.\n",
394 | "\n",
395 | "### **Tasks:**\n",
396 | "\n",
397 | "1. **Find the minimum, maximum, and sum of the following array:** \n",
398 | " ```\n",
399 | " arr = [3, 7, 1, 9, 5]\n",
400 | " ```\n",
401 | "\n",
402 | "2. **Compute the mean, median, and standard deviation of the following array:** \n",
403 | " ```\n",
404 | " arr = [10, 20, 30, 40, 50]\n",
405 | " ```\n",
406 | "\n",
407 | "3. **Find the indices of the minimum and maximum values in the array:** \n",
408 | " ```\n",
409 | " arr = [4, 2, 9, 1, 6]\n",
410 | " ```\n",
411 | "\n",
412 | "### **Solution:**"
413 | ]
414 | },
415 | {
416 | "cell_type": "code",
417 | "execution_count": null,
418 | "metadata": {},
419 | "outputs": [],
420 | "source": []
421 | }
422 | ],
423 | "metadata": {
424 | "kernelspec": {
425 | "display_name": "pytorch23",
426 | "language": "python",
427 | "name": "python3"
428 | },
429 | "language_info": {
430 | "codemirror_mode": {
431 | "name": "ipython",
432 | "version": 3
433 | },
434 | "file_extension": ".py",
435 | "mimetype": "text/x-python",
436 | "name": "python",
437 | "nbconvert_exporter": "python",
438 | "pygments_lexer": "ipython3",
439 | "version": "3.9.19"
440 | }
441 | },
442 | "nbformat": 4,
443 | "nbformat_minor": 2
444 | }
445 |
--------------------------------------------------------------------------------
/Before codes/03_Supervised_Learning/Templates/Template_08. multiple_linear_regression.ipynb:
--------------------------------------------------------------------------------
1 | {
2 | "cells": [
3 | {
4 | "cell_type": "markdown",
5 | "metadata": {},
6 | "source": [
7 | "# Analyzing Startup Success: A Multiple Linear Regression Approach Using the 50_Startups Dataset"
8 | ]
9 | },
10 | {
11 | "cell_type": "markdown",
12 | "metadata": {},
13 | "source": [
14 | ""
15 | ]
16 | },
17 | {
18 | "cell_type": "markdown",
19 | "metadata": {},
20 | "source": [
21 | "## Imports"
22 | ]
23 | },
24 | {
25 | "cell_type": "code",
26 | "execution_count": 2,
27 | "metadata": {},
28 | "outputs": [],
29 | "source": [
30 | "import numpy as np \n",
31 | "import pandas as pd \n",
32 | "import matplotlib.pyplot as plt \n",
33 | "import seaborn as sns \n",
34 | "import missingno as msno \n",
35 | "from sklearn.model_selection import train_test_split \n",
36 | "from sklearn.linear_model import LinearRegression \n",
37 | "from sklearn.metrics import mean_squared_error, mean_absolute_error, r2_score "
38 | ]
39 | },
40 | {
41 | "cell_type": "markdown",
42 | "metadata": {},
43 | "source": [
44 | "## Load the dataset "
45 | ]
46 | },
47 | {
48 | "cell_type": "code",
49 | "execution_count": 3,
50 | "metadata": {},
51 | "outputs": [
52 | {
53 | "data": {
54 | "text/html": [
55 | "
\n",
56 | "\n",
69 | "
\n",
70 | " \n",
71 | " \n",
72 | " | \n",
73 | " R&D Spend | \n",
74 | " Administration | \n",
75 | " Marketing Spend | \n",
76 | " State | \n",
77 | " Profit | \n",
78 | "
\n",
79 | " \n",
80 | " \n",
81 | " \n",
82 | " | 0 | \n",
83 | " 165349.20 | \n",
84 | " 136897.80 | \n",
85 | " 471784.10 | \n",
86 | " New York | \n",
87 | " 192261.83 | \n",
88 | "
\n",
89 | " \n",
90 | " | 1 | \n",
91 | " 166597.70 | \n",
92 | " 151377.59 | \n",
93 | " 443898.53 | \n",
94 | " California | \n",
95 | " 191792.06 | \n",
96 | "
\n",
97 | " \n",
98 | " | 2 | \n",
99 | " 153441.51 | \n",
100 | " 101145.55 | \n",
101 | " 407934.54 | \n",
102 | " Florida | \n",
103 | " 191050.39 | \n",
104 | "
\n",
105 | " \n",
106 | " | 3 | \n",
107 | " 144372.41 | \n",
108 | " 118671.85 | \n",
109 | " 383199.62 | \n",
110 | " New York | \n",
111 | " 182901.99 | \n",
112 | "
\n",
113 | " \n",
114 | " | 4 | \n",
115 | " 142107.34 | \n",
116 | " 91391.77 | \n",
117 | " 366168.42 | \n",
118 | " Florida | \n",
119 | " 166187.94 | \n",
120 | "
\n",
121 | " \n",
122 | "
\n",
123 | "
"
124 | ],
125 | "text/plain": [
126 | " R&D Spend Administration Marketing Spend State Profit\n",
127 | "0 165349.20 136897.80 471784.10 New York 192261.83\n",
128 | "1 166597.70 151377.59 443898.53 California 191792.06\n",
129 | "2 153441.51 101145.55 407934.54 Florida 191050.39\n",
130 | "3 144372.41 118671.85 383199.62 New York 182901.99\n",
131 | "4 142107.34 91391.77 366168.42 Florida 166187.94"
132 | ]
133 | },
134 | "execution_count": 3,
135 | "metadata": {},
136 | "output_type": "execute_result"
137 | }
138 | ],
139 | "source": [
140 | "df = pd.read_csv('../../Data/50_Startups.csv') \n",
141 | "df.head() "
142 | ]
143 | },
144 | {
145 | "cell_type": "markdown",
146 | "metadata": {},
147 | "source": [
148 | "## Preprocessing"
149 | ]
150 | },
151 | {
152 | "cell_type": "markdown",
153 | "metadata": {},
154 | "source": [
155 | "### 1. Check and Handle Missing Values\n",
156 | "Before proceeding with modeling, it's important to identify and handle any missing values in the dataset. \n",
157 | "This step includes printing the count of missing values per column and visualizing them using a matrix plot to understand their distribution."
158 | ]
159 | },
160 | {
161 | "cell_type": "code",
162 | "execution_count": null,
163 | "metadata": {},
164 | "outputs": [],
165 | "source": []
166 | },
167 | {
168 | "cell_type": "markdown",
169 | "metadata": {},
170 | "source": [
171 | "### 2. Imputation of Missing Values\n",
172 | "To ensure the dataset is complete, missing values in the 'Administration' and 'Marketing Spend' columns are filled with their respective medians. \n",
173 | "This approach preserves the data distribution while addressing gaps in the dataset."
174 | ]
175 | },
176 | {
177 | "cell_type": "code",
178 | "execution_count": null,
179 | "metadata": {},
180 | "outputs": [],
181 | "source": []
182 | },
183 | {
184 | "cell_type": "code",
185 | "execution_count": null,
186 | "metadata": {},
187 | "outputs": [],
188 | "source": []
189 | },
190 | {
191 | "cell_type": "markdown",
192 | "metadata": {},
193 | "source": [
194 | "### 3. Convert Categorical Variables\n",
195 | "The 'State' categorical variable is converted into a category data type for better handling during analysis. This step is crucial for preparing the data for encoding."
196 | ]
197 | },
198 | {
199 | "cell_type": "code",
200 | "execution_count": null,
201 | "metadata": {},
202 | "outputs": [],
203 | "source": []
204 | },
205 | {
206 | "cell_type": "markdown",
207 | "metadata": {},
208 | "source": [
209 | "### 4. Encoding Categorical Variables\n",
210 | "To enable effective modeling, categorical variables are transformed into numerical format using one-hot encoding. \n",
211 | "This process creates binary columns for each category, allowing the regression model to utilize these features."
212 | ]
213 | },
214 | {
215 | "cell_type": "code",
216 | "execution_count": null,
217 | "metadata": {},
218 | "outputs": [],
219 | "source": []
220 | },
221 | {
222 | "cell_type": "markdown",
223 | "metadata": {},
224 | "source": [
225 | "### 5. Change Order of Columns\n",
226 | "Rearranging the columns into a logical order improves the readability of the dataset. \n",
227 | "This step ensures that similar attributes are grouped together, making it easier to navigate the data."
228 | ]
229 | },
230 | {
231 | "cell_type": "code",
232 | "execution_count": null,
233 | "metadata": {},
234 | "outputs": [],
235 | "source": []
236 | },
237 | {
238 | "cell_type": "markdown",
239 | "metadata": {},
240 | "source": [
241 | "### 6. Rename Columns for Better Readability\n",
242 | "To enhance the clarity of the dataset, specific columns are renamed. This makes it easier to interpret the data without confusion arising from spaces or lengthy names."
243 | ]
244 | },
245 | {
246 | "cell_type": "code",
247 | "execution_count": null,
248 | "metadata": {},
249 | "outputs": [],
250 | "source": []
251 | },
252 | {
253 | "cell_type": "markdown",
254 | "metadata": {},
255 | "source": [
256 | "### 7. Outlier Detection and Removal\n",
257 | "Outliers can significantly skew the results of data analysis and modeling. This step involves detecting and removing outliers for numerical columns in the dataset using the Interquartile Range (IQR) method. A boxplot is also generated for visualizing the distribution and identifying potential outliers within each relevant column."
258 | ]
259 | },
260 | {
261 | "cell_type": "code",
262 | "execution_count": 4,
263 | "metadata": {},
264 | "outputs": [],
265 | "source": [
266 | "import pandas as pd \n",
267 | "import matplotlib.pyplot as plt \n",
268 | "import numpy as np \n",
269 | "\n",
270 | "# Function to detect and remove outliers for a single column \n",
271 | "def detect_and_remove_outliers(df, column_name, multiplier=1.5): \n",
272 | " \"\"\" \n",
273 | " Detect and remove outliers from a specified column in the DataFrame. \n",
274 | " \n",
275 | " Parameters: \n",
276 | " df (pd.DataFrame): The DataFrame from which to remove outliers. \n",
277 | " column_name (str): The column in which to detect outliers. \n",
278 | " multiplier (float): The multiplier for the IQR method to define outliers. \n",
279 | "\n",
280 | " Returns: \n",
281 | " pd.DataFrame: DataFrame without outliers. \n",
282 | " pd.DataFrame: Outliers detected in the specified column. \n",
283 | " \"\"\" \n",
284 | " # Calculate quantiles for outlier detection \n",
285 | " pass\n",
286 | "\n",
287 | " return df_no_outliers, outliers"
288 | ]
289 | },
290 | {
291 | "cell_type": "code",
292 | "execution_count": null,
293 | "metadata": {},
294 | "outputs": [],
295 | "source": []
296 | },
297 | {
298 | "cell_type": "code",
299 | "execution_count": null,
300 | "metadata": {},
301 | "outputs": [],
302 | "source": []
303 | },
304 | {
305 | "cell_type": "code",
306 | "execution_count": null,
307 | "metadata": {},
308 | "outputs": [],
309 | "source": []
310 | },
311 | {
312 | "cell_type": "markdown",
313 | "metadata": {},
314 | "source": [
315 | "## Feature Analysis and Selection Process for Predicting Profit"
316 | ]
317 | },
318 | {
319 | "cell_type": "markdown",
320 | "metadata": {},
321 | "source": [
322 | "### 1. Correlation Analysis on Non-Binary Columns\n",
323 | "This section identifies non-binary columns and computes the correlation matrix."
324 | ]
325 | },
326 | {
327 | "cell_type": "code",
328 | "execution_count": null,
329 | "metadata": {},
330 | "outputs": [],
331 | "source": []
332 | },
333 | {
334 | "cell_type": "markdown",
335 | "metadata": {},
336 | "source": [
337 | "### 2. Visualize the Correlation Heatmap\n",
338 | "This section visualizes the correlation matrix using a heatmap for better interpretation."
339 | ]
340 | },
341 | {
342 | "cell_type": "code",
343 | "execution_count": null,
344 | "metadata": {},
345 | "outputs": [],
346 | "source": []
347 | },
348 | {
349 | "cell_type": "markdown",
350 | "metadata": {},
351 | "source": [
352 | "### 3. Interpret Correlations"
353 | ]
354 | },
355 | {
356 | "cell_type": "markdown",
357 | "metadata": {},
358 | "source": [
359 | "**High Correlation**:\n",
360 | "- `R&D_Spend` has a very high correlation with Profit (0.979), suggesting it is a strong predictor.\n",
361 | "- `Marketing_Spend` also shows a notable positive correlation with Profit (0.718).\n",
362 | "\n",
363 | "**Low Correlation**: \n",
364 | "- `Administration` has a low correlation with Profit (0.121), indicating it may not be a significant predictor of profit."
365 | ]
366 | },
367 | {
368 | "cell_type": "code",
369 | "execution_count": null,
370 | "metadata": {},
371 | "outputs": [],
372 | "source": []
373 | },
374 | {
375 | "cell_type": "markdown",
376 | "metadata": {},
377 | "source": [
378 | "### 4. Feature Selection\n",
379 | "This section selects features for modeling based on the correlation analysis, typically by choosing those with significant correlation with the target variable."
380 | ]
381 | },
382 | {
383 | "cell_type": "code",
384 | "execution_count": null,
385 | "metadata": {},
386 | "outputs": [],
387 | "source": []
388 | },
389 | {
390 | "cell_type": "code",
391 | "execution_count": null,
392 | "metadata": {},
393 | "outputs": [],
394 | "source": []
395 | },
396 | {
397 | "cell_type": "code",
398 | "execution_count": null,
399 | "metadata": {},
400 | "outputs": [],
401 | "source": []
402 | },
403 | {
404 | "cell_type": "markdown",
405 | "metadata": {},
406 | "source": [
407 | "## Model Training "
408 | ]
409 | },
410 | {
411 | "cell_type": "code",
412 | "execution_count": null,
413 | "metadata": {},
414 | "outputs": [],
415 | "source": []
416 | },
417 | {
418 | "cell_type": "markdown",
419 | "metadata": {},
420 | "source": [
421 | "## 2. Model Parameters \n",
422 | "Display model intercept and coefficients "
423 | ]
424 | },
425 | {
426 | "cell_type": "code",
427 | "execution_count": null,
428 | "metadata": {},
429 | "outputs": [],
430 | "source": []
431 | },
432 | {
433 | "cell_type": "code",
434 | "execution_count": null,
435 | "metadata": {},
436 | "outputs": [],
437 | "source": []
438 | },
439 | {
440 | "cell_type": "markdown",
441 | "metadata": {},
442 | "source": [
443 | "## Predictions and Model Evaluation "
444 | ]
445 | },
446 | {
447 | "cell_type": "code",
448 | "execution_count": null,
449 | "metadata": {},
450 | "outputs": [],
451 | "source": []
452 | },
453 | {
454 | "cell_type": "markdown",
455 | "metadata": {},
456 | "source": [
457 | "## Visualization (Optional) "
458 | ]
459 | },
460 | {
461 | "cell_type": "code",
462 | "execution_count": null,
463 | "metadata": {},
464 | "outputs": [
465 | {
466 | "data": {
467 | "text/plain": [
468 | "()"
469 | ]
470 | },
471 | "execution_count": 5,
472 | "metadata": {},
473 | "output_type": "execute_result"
474 | }
475 | ],
476 | "source": []
477 | }
478 | ],
479 | "metadata": {
480 | "kernelspec": {
481 | "display_name": "pytorch23",
482 | "language": "python",
483 | "name": "python3"
484 | },
485 | "language_info": {
486 | "codemirror_mode": {
487 | "name": "ipython",
488 | "version": 3
489 | },
490 | "file_extension": ".py",
491 | "mimetype": "text/x-python",
492 | "name": "python",
493 | "nbconvert_exporter": "python",
494 | "pygments_lexer": "ipython3",
495 | "version": "3.9.19"
496 | }
497 | },
498 | "nbformat": 4,
499 | "nbformat_minor": 2
500 | }
501 |
--------------------------------------------------------------------------------
/01_Introductory_Concepts/04_Numpy/NumPy_Assignments/NumPy_Assignment_Solution.ipynb:
--------------------------------------------------------------------------------
1 | {
2 | "cells": [
3 | {
4 | "cell_type": "markdown",
5 | "metadata": {},
6 | "source": [
7 | "# 📝 **NumPy Assignment Series**"
8 | ]
9 | },
10 | {
11 | "cell_type": "markdown",
12 | "metadata": {},
13 | "source": [
14 | "## Assignment 1: Array Creation and Initialization\n",
15 | "\n",
16 | "### **Concept:**\n",
17 | "Learn how to create and initialize NumPy arrays using different methods.\n",
18 | "\n",
19 | "### **Tasks:**\n",
20 | "\n",
21 | "1. **Create an array from a list:** \n",
22 | " Convert the following list into a NumPy array: `[1, 2, 3, 4, 5]`.\n",
23 | "\n",
24 | "2. **Create arrays using functions:** \n",
25 | " - Create an array of zeros with shape `(3, 3)`.\n",
26 | " - Create an array of ones with shape `(2, 4)`.\n",
27 | " - Create an array of evenly spaced values between 0 and 10 with a step of 2.\n",
28 | "\n",
29 | "3. **Create an identity matrix:** \n",
30 | " Create a 4x4 identity matrix.\n",
31 | "\n",
32 | "### **Solution:**"
33 | ]
34 | },
35 | {
36 | "cell_type": "code",
37 | "execution_count": 1,
38 | "metadata": {},
39 | "outputs": [
40 | {
41 | "name": "stdout",
42 | "output_type": "stream",
43 | "text": [
44 | "[1 2 3 4 5]\n",
45 | "[[0. 0. 0.]\n",
46 | " [0. 0. 0.]\n",
47 | " [0. 0. 0.]]\n",
48 | "[[1. 1. 1. 1.]\n",
49 | " [1. 1. 1. 1.]]\n",
50 | "[ 0 2 4 6 8 10]\n",
51 | "[[1. 0. 0. 0.]\n",
52 | " [0. 1. 0. 0.]\n",
53 | " [0. 0. 1. 0.]\n",
54 | " [0. 0. 0. 1.]]\n"
55 | ]
56 | }
57 | ],
58 | "source": [
59 | "import numpy as np\n",
60 | "\n",
61 | "# 1. Create an array from a list\n",
62 | "arr1 = np.array([1, 2, 3, 4, 5])\n",
63 | "\n",
64 | "# 2. Create arrays using functions\n",
65 | "arr_zeros = np.zeros((3, 3))\n",
66 | "arr_ones = np.ones((2, 4))\n",
67 | "arr_linspace = np.arange(0, 11, 2)\n",
68 | "\n",
69 | "# 3. Create an identity matrix\n",
70 | "identity_matrix = np.eye(4)\n",
71 | "\n",
72 | "print(arr1)\n",
73 | "print(arr_zeros)\n",
74 | "print(arr_ones)\n",
75 | "print(arr_linspace)\n",
76 | "print(identity_matrix)"
77 | ]
78 | },
79 | {
80 | "cell_type": "markdown",
81 | "metadata": {},
82 | "source": [
83 | "## Assignment 2: Array Manipulation\n",
84 | "\n",
85 | "### **Concept:**\n",
86 | "Learn how to reshape, flatten, and concatenate arrays.\n",
87 | "\n",
88 | "### **Tasks:**\n",
89 | "\n",
90 | "1. **Reshape an array:** \n",
91 | " Reshape the array `[1, 2, 3, 4, 5, 6]` into a 2x3 matrix.\n",
92 | "\n",
93 | "2. **Flatten a 2D array:** \n",
94 | " Flatten the following 2D array: \n",
95 | " ```\n",
96 | " [[1, 2, 3],\n",
97 | " [4, 5, 6]]\n",
98 | " ```\n",
99 | "\n",
100 | "3. **Concatenate arrays:** \n",
101 | " Concatenate the arrays `[1, 2, 3]` and `[4, 5, 6]` horizontally.\n",
102 | "\n",
103 | "### **Solution:**"
104 | ]
105 | },
106 | {
107 | "cell_type": "code",
108 | "execution_count": 2,
109 | "metadata": {},
110 | "outputs": [
111 | {
112 | "name": "stdout",
113 | "output_type": "stream",
114 | "text": [
115 | "[[1 2 3]\n",
116 | " [4 5 6]]\n",
117 | "[1 2 3 4 5 6]\n",
118 | "[1 2 3 4 5 6]\n"
119 | ]
120 | }
121 | ],
122 | "source": [
123 | "# 1. Reshape an array\n",
124 | "arr_reshape = np.array([1, 2, 3, 4, 5, 6]).reshape(2, 3)\n",
125 | "\n",
126 | "# 2. Flatten a 2D array\n",
127 | "arr_2d = np.array([[1, 2, 3], [4, 5, 6]])\n",
128 | "arr_flatten = arr_2d.flatten()\n",
129 | "\n",
130 | "# 3. Concatenate arrays\n",
131 | "arr1 = np.array([1, 2, 3])\n",
132 | "arr2 = np.array([4, 5, 6])\n",
133 | "arr_concat = np.concatenate((arr1, arr2))\n",
134 | "\n",
135 | "print(arr_reshape)\n",
136 | "print(arr_flatten)\n",
137 | "print(arr_concat)"
138 | ]
139 | },
140 | {
141 | "cell_type": "markdown",
142 | "metadata": {},
143 | "source": [
144 | "## Assignment 3: Array Broadcasting\n",
145 | "\n",
146 | "### **Concept:**\n",
147 | "Practice broadcasting rules in NumPy for element-wise operations.\n",
148 | "\n",
149 | "### **Tasks:**\n",
150 | "\n",
151 | "1. **Add a scalar to an array:** \n",
152 | " Add `10` to each element of the array `[1, 2, 3, 4]`.\n",
153 | "\n",
154 | "2. **Add a 1D array to a 2D array:** \n",
155 | " Add `[1, 2, 3]` to each row of the 2D array: \n",
156 | " ```\n",
157 | " [[10, 20, 30],\n",
158 | " [40, 50, 60]]\n",
159 | " ```\n",
160 | "\n",
161 | "### **Solution:**"
162 | ]
163 | },
164 | {
165 | "cell_type": "code",
166 | "execution_count": null,
167 | "metadata": {},
168 | "outputs": [],
169 | "source": [
170 | "# 1. Add a scalar to an array\n",
171 | "arr = np.array([1, 2, 3, 4])\n",
172 | "arr_scalar = arr + 10\n",
173 | "\n",
174 | "# 2. Add a 1D array to a 2D array\n",
175 | "arr_2d = np.array([[10, 20, 30], [40, 50, 60]])\n",
176 | "arr_1d = np.array([1, 2, 3])\n",
177 | "arr_broadcast = arr_2d + arr_1d\n",
178 | "\n",
179 | "print(arr_scalar)\n",
180 | "print(arr_broadcast)"
181 | ]
182 | },
183 | {
184 | "cell_type": "markdown",
185 | "metadata": {},
186 | "source": [
187 | "## Assignment 4: Mathematical Operations\n",
188 | "\n",
189 | "### **Concept:**\n",
190 | "Perform mathematical operations on NumPy arrays.\n",
191 | "\n",
192 | "### **Tasks:**\n",
193 | "\n",
194 | "1. **Element-wise operations:** \n",
195 | " Given `arr1 = [1, 2, 3]` and `arr2 = [4, 5, 6]`, compute the following:\n",
196 | " - Sum of `arr1` and `arr2`\n",
197 | " - Product of `arr1` and `arr2`\n",
198 | "\n",
199 | "2. **Compute mean and standard deviation:** \n",
200 | " Calculate the mean and standard deviation of the array `[2, 4, 6, 8, 10]`.\n",
201 | "\n",
202 | "### **Solution:**"
203 | ]
204 | },
205 | {
206 | "cell_type": "code",
207 | "execution_count": null,
208 | "metadata": {},
209 | "outputs": [],
210 | "source": [
211 | "# 1. Element-wise operations\n",
212 | "arr1 = np.array([1, 2, 3])\n",
213 | "arr2 = np.array([4, 5, 6])\n",
214 | "\n",
215 | "arr_sum = arr1 + arr2\n",
216 | "arr_product = arr1 * arr2\n",
217 | "\n",
218 | "# 2. Compute mean and standard deviation\n",
219 | "arr = np.array([2, 4, 6, 8, 10])\n",
220 | "mean = np.mean(arr)\n",
221 | "std_dev = np.std(arr)\n",
222 | "\n",
223 | "print(arr_sum)\n",
224 | "print(arr_product)\n",
225 | "print(f\"Mean: {mean}, Standard Deviation: {std_dev}\")"
226 | ]
227 | },
228 | {
229 | "cell_type": "markdown",
230 | "metadata": {},
231 | "source": [
232 | "## Assignment 5: Indexing and Slicing\n",
233 | "\n",
234 | "### **Concept:**\n",
235 | "Practice advanced indexing and slicing techniques in NumPy.\n",
236 | "\n",
237 | "### **Tasks:**\n",
238 | "\n",
239 | "1. **Indexing:** \n",
240 | " Extract the element at position `(1, 2)` from the following array: \n",
241 | " ```\n",
242 | " [[10, 20, 30],\n",
243 | " [40, 50, 60],\n",
244 | " [70, 80, 90]]\n",
245 | " ```\n",
246 | "\n",
247 | "2. **Slicing:** \n",
248 | " Extract the second row and first two columns from the array above.\n",
249 | "\n",
250 | "3. **Boolean indexing:** \n",
251 | " Given `arr = [5, 10, 15, 20]`, extract elements greater than `10`.\n",
252 | "\n",
253 | "### **Solution:**"
254 | ]
255 | },
256 | {
257 | "cell_type": "code",
258 | "execution_count": null,
259 | "metadata": {},
260 | "outputs": [],
261 | "source": [
262 | "# Given array\n",
263 | "arr_2d = np.array([[10, 20, 30], [40, 50, 60], [70, 80, 90]])\n",
264 | "\n",
265 | "# 1. Indexing\n",
266 | "element = arr_2d[1, 2]\n",
267 | "\n",
268 | "# 2. Slicing\n",
269 | "slice_part = arr_2d[1, :2]\n",
270 | "\n",
271 | "# 3. Boolean indexing\n",
272 | "arr = np.array([5, 10, 15, 20])\n",
273 | "filtered = arr[arr > 10]\n",
274 | "\n",
275 | "print(element)\n",
276 | "print(slice_part)\n",
277 | "print(filtered)"
278 | ]
279 | },
280 | {
281 | "cell_type": "markdown",
282 | "metadata": {},
283 | "source": [
284 | "## Assignment 6: Common Functions\n",
285 | "\n",
286 | "### **Concept:**\n",
287 | "Explore common NumPy functions such as `sum`, `max`, `min`, and `argmax`.\n",
288 | "\n",
289 | "### **Tasks:**\n",
290 | "\n",
291 | "1. **Compute sum and max:** \n",
292 | " Given the array `[3, 7, 2, 9, 5]`, compute the sum and maximum value.\n",
293 | "\n",
294 | "2. **Find the index of the maximum value:** \n",
295 | " Find the index of the maximum value in the same array.\n",
296 | "\n",
297 | "### **Solution:**"
298 | ]
299 | },
300 | {
301 | "cell_type": "code",
302 | "execution_count": null,
303 | "metadata": {},
304 | "outputs": [],
305 | "source": [
306 | "arr = np.array([3, 7, 2, 9, 5])\n",
307 | "\n",
308 | "# Sum and max\n",
309 | "total = np.sum(arr)\n",
310 | "maximum = np.max(arr)\n",
311 | "\n",
312 | "# Index of max\n",
313 | "index_max = np.argmax(arr)\n",
314 | "\n",
315 | "print(f\"Sum: {total}, Max: {maximum}, Index of Max: {index_max}\")"
316 | ]
317 | },
318 | {
319 | "cell_type": "markdown",
320 | "metadata": {},
321 | "source": [
322 | "## Assignment 7: Array Creation with Random Numbers\n",
323 | "\n",
324 | "### **Concept:**\n",
325 | "Creating arrays using random number generation.\n",
326 | "\n",
327 | "### **Tasks:**\n",
328 | "\n",
329 | "1. **Generate a random 3x3 array of floats between 0 and 1.**\n",
330 | "\n",
331 | "2. **Create a 4x4 array of random integers between 10 and 50.**\n",
332 | "\n",
333 | "3. **Set a random seed to make the random numbers reproducible. Generate a 2x3 array of random numbers.**\n",
334 | "\n",
335 | "### **Solution:**"
336 | ]
337 | },
338 | {
339 | "cell_type": "code",
340 | "execution_count": null,
341 | "metadata": {},
342 | "outputs": [],
343 | "source": [
344 | "import numpy as np\n",
345 | "\n",
346 | "# 1. Random 3x3 array of floats\n",
347 | "random_floats = np.random.rand(3, 3)\n",
348 | "\n",
349 | "# 2. Random 4x4 array of integers between 10 and 50\n",
350 | "random_integers = np.random.randint(10, 50, size=(4, 4))\n",
351 | "\n",
352 | "# 3. Reproducible random numbers with a seed\n",
353 | "np.random.seed(42)\n",
354 | "random_seeded = np.random.rand(2, 3)\n",
355 | "\n",
356 | "print(random_floats)\n",
357 | "print(random_integers)\n",
358 | "print(random_seeded)"
359 | ]
360 | },
361 | {
362 | "cell_type": "markdown",
363 | "metadata": {},
364 | "source": [
365 | "## Assignment 8: Advanced Array Manipulation\n",
366 | "\n",
367 | "### **Concept:**\n",
368 | "Stacking and splitting arrays.\n",
369 | "\n",
370 | "### **Tasks:**\n",
371 | "\n",
372 | "1. **Vertically stack the following arrays:** \n",
373 | " ```\n",
374 | " arr1 = [[1, 2], [3, 4]]\n",
375 | " arr2 = [[5, 6], [7, 8]]\n",
376 | " ```\n",
377 | "\n",
378 | "2. **Horizontally stack the same arrays.**\n",
379 | "\n",
380 | "3. **Split the following array into 3 equal parts along the first axis:** \n",
381 | " ```\n",
382 | " arr = [[1, 2], [3, 4], [5, 6]]\n",
383 | " ```\n",
384 | "\n",
385 | "### **Solution:**"
386 | ]
387 | },
388 | {
389 | "cell_type": "code",
390 | "execution_count": null,
391 | "metadata": {},
392 | "outputs": [],
393 | "source": [
394 | "arr1 = np.array([[1, 2], [3, 4]])\n",
395 | "arr2 = np.array([[5, 6], [7, 8]])\n",
396 | "\n",
397 | "# 1. Vertical stacking\n",
398 | "vstack_result = np.vstack((arr1, arr2))\n",
399 | "\n",
400 | "# 2. Horizontal stacking\n",
401 | "hstack_result = np.hstack((arr1, arr2))\n",
402 | "\n",
403 | "# 3. Splitting an array\n",
404 | "arr = np.array([[1, 2], [3, 4], [5, 6]])\n",
405 | "split_result = np.array_split(arr, 3)\n",
406 | "\n",
407 | "print(vstack_result)\n",
408 | "print(hstack_result)\n",
409 | "print(split_result)"
410 | ]
411 | },
412 | {
413 | "cell_type": "markdown",
414 | "metadata": {},
415 | "source": [
416 | "## Assignment 9: Broadcasting and Advanced Arithmetic\n",
417 | "\n",
418 | "### **Concept:**\n",
419 | "Performing broadcasting with arithmetic operations.\n",
420 | "\n",
421 | "### **Tasks:**\n",
422 | "\n",
423 | "1. **Broadcast the following 1D array to a 3x3 array and add:** \n",
424 | " ```\n",
425 | " base = [[1, 2, 3], [4, 5, 6], [7, 8, 9]]\n",
426 | " add_array = [10, 20, 30]\n",
427 | " ```\n",
428 | "\n",
429 | "2. **Multiply a 3x3 matrix by a scalar value of 2.**\n",
430 | "\n",
431 | "3. **Divide each row of the following matrix by a different value:** \n",
432 | " ```\n",
433 | " arr = [[10, 20, 30],\n",
434 | " [40, 50, 60],\n",
435 | " [70, 80, 90]]\n",
436 | " divisors = [10, 20, 30]\n",
437 | " ```\n",
438 | "\n",
439 | "### **Solution:**"
440 | ]
441 | },
442 | {
443 | "cell_type": "code",
444 | "execution_count": null,
445 | "metadata": {},
446 | "outputs": [],
447 | "source": [
448 | "# 1. Broadcasting addition\n",
449 | "base = np.array([[1, 2, 3], [4, 5, 6], [7, 8, 9]])\n",
450 | "add_array = np.array([10, 20, 30])\n",
451 | "result_add = base + add_array\n",
452 | "\n",
453 | "# 2. Scalar multiplication\n",
454 | "result_mult = base * 2\n",
455 | "\n",
456 | "# 3. Row-wise division\n",
457 | "arr = np.array([[10, 20, 30], [40, 50, 60], [70, 80, 90]])\n",
458 | "divisors = np.array([10, 20, 30]).reshape(3, 1)\n",
459 | "result_div = arr / divisors\n",
460 | "\n",
461 | "print(result_add)\n",
462 | "print(result_mult)\n",
463 | "print(result_div)"
464 | ]
465 | },
466 | {
467 | "cell_type": "markdown",
468 | "metadata": {},
469 | "source": [
470 | "## Assignment 10: Indexing, Slicing, and Fancy Indexing\n",
471 | "\n",
472 | "### **Concept:**\n",
473 | "Practice with indexing techniques and fancy indexing.\n",
474 | "\n",
475 | "### **Tasks:**\n",
476 | "\n",
477 | "1. **Extract all even numbers from the following array:** \n",
478 | " ```\n",
479 | " arr = [1, 2, 3, 4, 5, 6, 7, 8, 9, 10]\n",
480 | " ```\n",
481 | "\n",
482 | "2. **Using fancy indexing, select the elements at positions `[0, 2, 4]` from the array:** \n",
483 | " ```\n",
484 | " arr = [10, 20, 30, 40, 50]\n",
485 | " ```\n",
486 | "\n",
487 | "3. **Extract the second and third rows and the first and second columns from this 2D array:** \n",
488 | " ```\n",
489 | " arr = [[1, 2, 3],\n",
490 | " [4, 5, 6],\n",
491 | " [7, 8, 9],\n",
492 | " [10, 11, 12]]\n",
493 | " ```\n",
494 | "\n",
495 | "### **Solution:**"
496 | ]
497 | },
498 | {
499 | "cell_type": "code",
500 | "execution_count": null,
501 | "metadata": {},
502 | "outputs": [],
503 | "source": [
504 | "# 1. Extract even numbers\n",
505 | "arr = np.array([1, 2, 3, 4, 5, 6, 7, 8, 9, 10])\n",
506 | "even_numbers = arr[arr % 2 == 0]\n",
507 | "\n",
508 | "# 2. Fancy indexing\n",
509 | "arr2 = np.array([10, 20, 30, 40, 50])\n",
510 | "fancy_selected = arr2[[0, 2, 4]]\n",
511 | "\n",
512 | "# 3. Extract specific rows and columns\n",
513 | "arr3 = np.array([[1, 2, 3],\n",
514 | " [4, 5, 6],\n",
515 | " [7, 8, 9],\n",
516 | " [10, 11, 12]])\n",
517 | "sliced_part = arr3[1:3, 0:2]\n",
518 | "\n",
519 | "print(even_numbers)\n",
520 | "print(fancy_selected)\n",
521 | "print(sliced_part)"
522 | ]
523 | },
524 | {
525 | "cell_type": "markdown",
526 | "metadata": {},
527 | "source": [
528 | "## Assignment 11: Common Functions and Statistics\n",
529 | "\n",
530 | "### **Concept:**\n",
531 | "Using NumPy's built-in statistical functions.\n",
532 | "\n",
533 | "### **Tasks:**\n",
534 | "\n",
535 | "1. **Find the minimum, maximum, and sum of the following array:** \n",
536 | " ```\n",
537 | " arr = [3, 7, 1, 9, 5]\n",
538 | " ```\n",
539 | "\n",
540 | "2. **Compute the mean, median, and standard deviation of the following array:** \n",
541 | " ```\n",
542 | " arr = [10, 20, 30, 40, 50]\n",
543 | " ```\n",
544 | "\n",
545 | "3. **Find the indices of the minimum and maximum values in the array:** \n",
546 | " ```\n",
547 | " arr = [4, 2, 9, 1, 6]\n",
548 | " ```\n",
549 | "\n",
550 | "### **Solution:**"
551 | ]
552 | },
553 | {
554 | "cell_type": "code",
555 | "execution_count": null,
556 | "metadata": {},
557 | "outputs": [],
558 | "source": [
559 | "# 1. Min, max, and sum\n",
560 | "arr1 = np.array([3, 7, 1, 9, 5])\n",
561 | "min_val = np.min(arr1)\n",
562 | "max_val = np.max(arr1)\n",
563 | "total_sum = np.sum(arr1)\n",
564 | "\n",
565 | "# 2. Mean, median, and std\n",
566 | "arr2 = np.array([10, 20, 30, 40, 50])\n",
567 | "mean_val = np.mean(arr2)\n",
568 | "median_val = np.median(arr2)\n",
569 | "std_val = np.std(arr2)\n",
570 | "\n",
571 | "# 3. Indices of min and max\n",
572 | "arr3 = np.array([4, 2, 9, 1, 6])\n",
573 | "index_min = np.argmin(arr3)\n",
574 | "index_max = np.argmax(arr3)\n",
575 | "\n",
576 | "print(f\"Min: {min_val}, Max: {max_val}, Sum: {total_sum}\")\n",
577 | "print(f\"Mean: {mean_val}, Median: {median_val}, Std Dev: {std_val}\")\n",
578 | "print(f\"Index of Min: {index_min}, Index of Max: {index_max}\")"
579 | ]
580 | },
581 | {
582 | "cell_type": "code",
583 | "execution_count": null,
584 | "metadata": {},
585 | "outputs": [],
586 | "source": []
587 | }
588 | ],
589 | "metadata": {
590 | "kernelspec": {
591 | "display_name": "pytorch23",
592 | "language": "python",
593 | "name": "python3"
594 | },
595 | "language_info": {
596 | "codemirror_mode": {
597 | "name": "ipython",
598 | "version": 3
599 | },
600 | "file_extension": ".py",
601 | "mimetype": "text/x-python",
602 | "name": "python",
603 | "nbconvert_exporter": "python",
604 | "pygments_lexer": "ipython3",
605 | "version": "3.9.19"
606 | }
607 | },
608 | "nbformat": 4,
609 | "nbformat_minor": 2
610 | }
611 |
--------------------------------------------------------------------------------
/Data/Regression/World_Happiness_Report.csv:
--------------------------------------------------------------------------------
1 | Country,Happiness Rank,Happiness Score,Economy,Family,Health,Freedom,Generosity,Corruption,Dystopia,Job Satisfaction,Region
2 | Norway,1,7.537000179,1.616463184,1.53352356,0.796666503,0.635422587,0.362012237,0.315963835,2.277026653,94.6,Western Europe
3 | Denmark,2,7.521999836,1.482383013,1.551121593,0.792565525,0.626006722,0.355280489,0.400770068,2.313707352,93.5,Western Europe
4 | Iceland,3,7.504000187,1.48063302,1.610574007,0.833552122,0.627162635,0.475540221,0.153526559,2.322715282,94.5,Western Europe
5 | Switzerland,4,7.493999958,1.564979553,1.516911745,0.858131289,0.620070577,0.290549278,0.367007285,2.276716232,93.7,Western Europe
6 | Finland,5,7.468999863,1.443571925,1.540246725,0.80915767,0.617950857,0.245482773,0.382611543,2.430181503,91.2,Western Europe
7 | Netherlands,6,7.376999855,1.503944635,1.428939223,0.810696125,0.585384488,0.47048983,0.282661825,2.294804096,93.8,Western Europe
8 | Canada,7,7.315999985,1.479204416,1.481348991,0.834557652,0.611100912,0.435539722,0.287371516,2.187264442,90.5,North America
9 | New Zealand,8,7.31400013,1.405706048,1.548195124,0.816759706,0.61406213,0.500005126,0.382816702,2.046456337,88.6,Asia-Pacific
10 | Sweden,9,7.28399992,1.494387269,1.478162169,0.830875158,0.612924099,0.385399252,0.384398729,2.097537994,92.7,Western Europe
11 | Australia,10,7.28399992,1.484414935,1.510041952,0.843886793,0.601607382,0.47769925,0.30118373,2.065210819,89.2,Asia-Pacific
12 | Israel,11,7.212999821,1.375382423,1.376289964,0.838404,0.405988604,0.330082655,0.0852421,2.801757336,82.1,Asia-Pacific
13 | Costa Rica,12,7.078999996,1.109706283,1.416403651,0.759509265,0.58013165,0.214613229,0.100106589,2.898639202,89.9,Latin America
14 | Austria,13,7.006000042,1.487097263,1.459944963,0.815328419,0.56776619,0.316472322,0.221060365,2.138506413,95.1,Western Europe
15 | United States,14,6.993000031,1.546259284,1.419920564,0.774286628,0.505740523,0.392578781,0.135638788,2.218113422,85.3,North America
16 | Ireland,15,6.977000237,1.535706639,1.558231115,0.809782624,0.573110342,0.427858323,0.298388153,1.773869038,91.5,Western Europe
17 | Germany,16,6.951000214,1.487923384,1.472520351,0.798950732,0.562511384,0.33626917,0.276731938,2.015769958,90.4,Western Europe
18 | Belgium,17,6.890999794,1.463780761,1.462312698,0.818091869,0.539770722,0.231503338,0.251343131,2.124210358,91.1,Western Europe
19 | Luxembourg,18,6.862999916,1.741943598,1.457583666,0.845089495,0.596627891,0.283180982,0.318834424,1.619512081,93.4,Western Europe
20 | United Kingdom,19,6.714000225,1.44163394,1.49646008,0.805335939,0.508190036,0.492774159,0.265428066,1.704143524,87.4,Western Europe
21 | Chile,20,6.65199995,1.25278461,1.284024954,0.819479704,0.376895279,0.326662421,0.082287982,2.509585857,79.8,Latin America
22 | United Arab Emirates,21,6.647999763,1.626343369,1.266410232,0.726798236,0.60834527,0.360941947,0.324489564,1.734703541,79.8,Asia-Pacific
23 | Brazil,22,6.635000229,1.10735321,1.431306005,0.616552353,0.437453747,0.162349895,0.111092761,2.769267082,79.8,Latin America
24 | Czech Republic,23,6.609000206,1.352682352,1.433885217,0.754444003,0.490946174,0.088106759,0.036872927,2.451861858,79.8,Western Europe
25 | Argentina,24,6.598999977,1.185295463,1.440451145,0.695137084,0.494519204,0.109457061,0.059739888,2.614005327,79.8,Latin America
26 | Mexico,25,6.578000069,1.153183818,1.21086216,0.709978998,0.412730008,0.120990433,0.132774115,2.837154865,82.4,Latin America
27 | Singapore,26,6.572000027,1.69227767,1.353814363,0.949492395,0.549840569,0.345965981,0.464307785,1.216362,91,Asia-Pacific
28 | Malta,27,6.52699995,1.343279839,1.488411665,0.821944237,0.588767052,0.574730575,0.153066069,1.556862831,85.2,Western Europe
29 | Uruguay,28,6.453999996,1.217559695,1.412227869,0.719216824,0.579392254,0.175096929,0.178061873,2.172409534,82,Latin America
30 | Guatemala,29,6.453999996,0.872001946,1.255585194,0.54023999,0.531310618,0.283488393,0.077223279,2.893891096,88.1,Latin America
31 | Panama,30,6.452000141,1.233748436,1.373192549,0.706156135,0.550026834,0.210556939,0.070983924,2.307199955,88.3,Latin America
32 | France,31,6.441999912,1.430923462,1.387776852,0.844465852,0.470222116,0.129762307,0.172502428,2.005954742,86,Western Europe
33 | Thailand,32,6.423999786,1.127868772,1.425792456,0.647239029,0.580200732,0.57212311,0.031612735,2.039508343,93.7,Asia-Pacific
34 | Spain,34,6.402999878,1.384397864,1.532090902,0.8889606,0.40878123,0.190133572,0.070914097,1.92775774,88.1,Western Europe
35 | Qatar,35,6.375,1.870765686,1.27429688,0.710098088,0.604130983,0.33047387,0.439299256,1.14546442,87.8,Asia-Pacific
36 | Colombia,36,6.356999874,1.070622325,1.402182937,0.595027924,0.477487415,0.149014473,0.046668742,2.616068125,82.7,Latin America
37 | Saudi Arabia,37,6.343999863,1.530623555,1.286677599,0.59014833,0.449750572,0.147616014,0.273432255,2.065429688,85.7,Asia-Pacific
38 | Trinidad and Tobago,38,6.168000221,1.361355901,1.380228519,0.519983292,0.518630743,0.325296462,0.008964816,2.053247452,82.1,Latin America
39 | Kuwait,39,6.105000019,1.632952452,1.259698749,0.632105708,0.496337593,0.228289798,0.21515955,1.640425205,87.4,Asia-Pacific
40 | Slovakia,40,6.09800005,1.325393558,1.505059242,0.712732911,0.295817465,0.136544481,0.024210852,2.097776651,81.4,Eastern Europe
41 | Bahrain,41,6.086999893,1.488412261,1.323110461,0.653133035,0.536746919,0.172668487,0.25704217,1.656149387,79.9,Asia-Pacific
42 | Malaysia,42,6.084000111,1.29121542,1.284646034,0.618784428,0.402264982,0.41660893,0.065600708,2.004448891,85,Asia-Pacific
43 | Nicaragua,43,6.071000099,0.737299204,1.28721571,0.653095961,0.447551847,0.301674217,0.130687982,2.513930559,82.3,Latin America
44 | Ecuador,44,6.007999897,1.000820398,1.286168814,0.685636222,0.455198199,0.150112465,0.140134647,2.290352583,83,Latin America
45 | El Salvador,45,6.002999783,0.909784496,1.182125092,0.596018553,0.43245253,0.078257985,0.08998096,2.714593887,80.9,Latin America
46 | Poland,46,5.97300005,1.291787863,1.44571197,0.699475348,0.520342112,0.158465967,0.059307806,1.797722816,86.9,Eastern Europe
47 | Uzbekistan,47,5.971000195,0.786441088,1.54896915,0.498272628,0.658248663,0.415983647,0.246528223,1.816913605,87,Asia-Pacific
48 | Italy,48,5.964000225,1.395066619,1.444923282,0.853144348,0.256450713,0.172789648,0.028028091,1.813312054,85.5,Western Europe
49 | Russia,49,5.962999821,1.281778097,1.469282389,0.547349334,0.373783112,0.052263822,0.032962881,2.205607414,74.6,Eastern Europe
50 | Belize,50,5.955999851,0.907975316,1.081417799,0.450191766,0.547509372,0.240015641,0.096581072,2.631955624,84.1,Latin America
51 | Japan,51,5.920000076,1.416915178,1.436337829,0.913475871,0.505625546,0.120572768,0.163760737,1.363223553,74,Asia-Pacific
52 | Lithuania,52,5.90199995,1.314582348,1.473516107,0.62894994,0.234231785,0.010164657,0.011865643,2.228440523,79.4,Eastern Europe
53 | Algeria,53,5.872000217,1.091864467,1.146217465,0.617584646,0.233335808,0.069436647,0.14609611,2.567603827,68.6,Africa
54 | Latvia,54,5.849999905,1.260748625,1.404714942,0.638566971,0.325707912,0.153074786,0.073842727,1.993655205,82.1,Eastern Europe
55 | South Korea,55,5.837999821,1.401678443,1.128274441,0.900214076,0.257921666,0.206674367,0.063282669,1.880378008,74,Asia-Pacific
56 | Moldova,56,5.837999821,0.72887063,1.251825571,0.589465201,0.240729049,0.208779126,0.010091286,2.807808399,70,Eastern Europe
57 | Romania,57,5.824999809,1.217683911,1.15009129,0.685158312,0.457003742,0.133519918,0.004387901,2.176831484,75.1,Eastern Europe
58 | Bolivia,58,5.822999954,0.833756566,1.227619052,0.47363025,0.558732927,0.225560725,0.060477726,2.443279028,84.7,Latin America
59 | Turkmenistan,59,5.822000027,1.130776763,1.493149161,0.43772608,0.418271929,0.249924988,0.25927034,1.832909822,91.7,Asia-Pacific
60 | Kazakhstan,60,5.818999767,1.28455627,1.384369016,0.606041551,0.437454283,0.201964423,0.119282886,1.784892559,79.5,Asia-Pacific
61 | North Cyprus,61,5.809999943,1.346911311,1.186303377,0.834647238,0.471203625,0.266845703,0.155353352,1.549157619,NaN,Eastern Europe
62 | Slovenia,62,5.757999897,1.341205955,1.452518821,0.790828228,0.572575808,0.242649093,0.045128979,1.313317299,88.5,Eastern Europe
63 | Peru,63,5.715000153,1.035225272,1.218770385,0.630166113,0.450002879,0.126819715,0.047049087,2.20726943,77.4,Latin America
64 | Mauritius,64,5.629000187,1.189395547,1.20956099,0.638007462,0.491247326,0.360933751,0.042181555,1.697583914,86,Africa
65 | Cyprus,65,5.620999813,1.355938077,1.131363273,0.844714701,0.355111539,0.271254301,0.041237976,1.621249199,88.7,Eastern Europe
66 | Estonia,66,5.611000061,1.32087934,1.4766711,0.695168316,0.47913143,0.098890811,0.183248922,1.357508659,77.8,Eastern Europe
67 | Belarus,67,5.568999767,1.15655756,1.444945216,0.637714267,0.295400262,0.155137509,0.156313822,1.723232985,71.6,Eastern Europe
68 | Libya,68,5.525000095,1.101803064,1.35756433,0.52016902,0.46573323,0.152073666,0.09261021,1.835011244,75.8,Africa
69 | Turkey,69,5.5,1.198274374,1.337753177,0.637605608,0.3007406,0.046693042,0.09967158,1.879277945,74.9,Asia-Pacific
70 | Paraguay,70,5.493000031,0.932537317,1.50728488,0.579250693,0.473507792,0.224150658,0.091065913,1.68533349,84.5,Latin America
71 | "Hong Kong S.A.R., China",71,5.472000122,1.551674843,1.262790918,0.943062425,0.490968645,0.374465793,0.293933749,0.554633141,81.5,Asia-Pacific
72 | Philippines,72,5.429999828,0.857699215,1.253917575,0.468009055,0.585214674,0.193513423,0.099331893,1.972604752,81.4,Asia-Pacific
73 | Serbia,73,5.394999981,1.069317579,1.258189797,0.650784671,0.208715528,0.220125884,0.040903781,1.947084427,68.5,Eastern Europe
74 | Jordan,74,5.335999966,0.991012394,1.239088893,0.604590058,0.418421149,0.17217046,0.119803272,1.791176558,80.7,Asia-Pacific
75 | Hungary,75,5.323999882,1.286011934,1.343133092,0.687763453,0.175863519,0.078401662,0.036636937,1.716459274,82.4,Eastern Europe
76 | Jamaica,76,5.31099987,0.925579309,1.368218064,0.641022384,0.474307239,0.233818337,0.055267781,1.612325668,78.1,Latin America
77 | Croatia,77,5.293000221,1.222556233,0.967983007,0.701288521,0.255772293,0.248002976,0.04310311,1.854492426,77.1,Eastern Europe
78 | Kosovo,78,5.278999805,0.951484382,1.137853503,0.54145205,0.260287941,0.319931448,0.057471618,2.010540724,84.7,Eastern Europe
79 | China,79,5.272999763,1.081165791,1.160837412,0.741415501,0.472787708,0.028806841,0.022794275,1.764938593,71.4,Asia-Pacific
80 | Pakistan,80,5.269000053,0.726883531,0.67269069,0.402047783,0.235215262,0.315446019,0.124348067,2.79248929,78.1,Asia-Pacific
81 | Indonesia,81,5.262000084,0.995538592,1.274444699,0.492345721,0.443323463,0.611704588,0.015317135,1.429476976,73.3,Asia-Pacific
82 | Venezuela,82,5.25,1.128431201,1.431337595,0.617144227,0.153997123,0.06501963,0.064491123,1.789463758,90.1,Latin America
83 | Montenegro,83,5.236999989,1.121129036,1.238376498,0.667464674,0.194989055,0.197911024,0.088174194,1.729191542,69.7,Eastern Europe
84 | Morocco,84,5.235000134,0.878114581,0.774864435,0.597710669,0.408158332,0.032209955,0.087763183,2.456189394,64.8,Africa
85 | Azerbaijan,85,5.234000206,1.153601766,1.152400255,0.540775776,0.398155838,0.04526934,0.180987507,1.762481689,69.8,Asia-Pacific
86 | Dominican Republic,86,5.230000019,1.079373837,1.402416706,0.574873745,0.552589834,0.18696785,0.113945253,1.31946516,72.7,Latin America
87 | Greece,87,5.227000237,1.289487481,1.239414573,0.810198903,0.095731251,0,0.043289777,1.749221563,79.2,Eastern Europe
88 | Lebanon,88,5.224999905,1.074987531,1.129624248,0.735081077,0.288515985,0.264450759,0.03751383,1.695073843,72.3,Asia-Pacific
89 | Portugal,89,5.195000172,1.315175295,1.367043018,0.795843542,0.4984653,0.095102713,0.015869452,1.107682705,88.4,Western Europe
90 | Bosnia and Herzegovina,90,5.18200016,0.982409418,1.069335938,0.705186307,0.204403177,0.328867495,0,1.892172575,73.7,Eastern Europe
91 | Honduras,91,5.181000233,0.730573118,1.143944979,0.58256948,0.34807986,0.236188874,0.073345453,2.065811157,83.1,Latin America
92 | Macedonia,92,5.175000191,1.064577937,1.207893014,0.644948184,0.325905979,0.253760964,0.060277794,1.617469311,70.6,Eastern Europe
93 | Somalia,93,5.151000023,0.022643184,0.721151352,0.113989137,0.602126956,0.291631311,0.282410324,3.11748457,79.9,Africa
94 | Vietnam,94,5.073999882,0.788547575,1.277491331,0.652168989,0.571055591,0.234968051,0.087633237,1.462318659,80,Asia-Pacific
95 | Nigeria,95,5.073999882,0.783756256,1.215770483,0.05691573,0.394952565,0.230947196,0.026121566,2.365390539,71.1,Africa
96 | Tajikistan,96,5.040999889,0.524713635,1.271463275,0.529235125,0.471566707,0.248997644,0.146377146,1.84904933,81.3,Asia-Pacific
97 | Kyrgyzstan,98,5.004000187,0.596220076,1.394238591,0.553457797,0.454943389,0.428580374,0.039439179,1.536723137,76,Asia-Pacific
98 | Nepal,99,4.961999893,0.479820192,1.179283261,0.504130781,0.440305948,0.394096166,0.072975546,1.891241074,83.3,Asia-Pacific
99 | Mongolia,100,4.954999924,1.027235866,1.493011236,0.557783484,0.394143969,0.33846423,0.032902289,1.111292362,82.2,Asia-Pacific
100 | South Africa,101,4.828999996,1.054698706,1.384788632,0.18708007,0.479246736,0.13936238,0.072509497,1.510908604,61.3,Africa
101 | Tunisia,102,4.804999828,1.007265806,0.86835146,0.613212049,0.28968069,0.049693357,0.086723149,1.89025116,68.4,Africa
102 | Palestinian Territories,103,4.775000095,0.716249228,1.155647159,0.565666974,0.254711062,0.114173174,0.089282602,1.878890276,69.3,Asia-Pacific
103 | Egypt,104,4.735000134,0.989701807,0.997471392,0.520187259,0.282110155,0.128631443,0.114381365,1.702161074,75.1,Africa
104 | Bulgaria,105,4.714000225,1.161459088,1.434379458,0.70821768,0.289231718,0.113177694,0.011051531,0.996139288,74.9,Eastern Europe
105 | Sierra Leone,106,4.709000111,0.368420929,0.984136045,0.005564754,0.318697691,0.293040901,0.071095176,2.668459892,59.2,Africa
106 | Cameroon,107,4.695000172,0.564305365,0.946018219,0.132892117,0.430388749,0.236298457,0.051306631,2.333645582,64.9,Africa
107 | Iran,108,4.691999912,1.156873107,0.711551249,0.639333189,0.249322608,0.387242913,0.048761073,1.498734951,70.3,Asia-Pacific
108 | Albania,109,4.644000053,0.996192753,0.803685248,0.731159747,0.381498635,0.201312944,0.039864216,1.490441561,73.3,Eastern Europe
109 | Bangladesh,110,4.607999802,0.586682975,0.735131741,0.533241034,0.478356659,0.172255352,0.123717859,1.978736162,77.7,Asia-Pacific
110 | Namibia,111,4.573999882,0.964434326,1.098470807,0.338611811,0.520303547,0.077133745,0.093146972,1.481890202,85.4,Africa
111 | Kenya,112,4.552999973,0.560479462,1.067950726,0.30998835,0.452763766,0.444860309,0.064641319,1.651902199,52,Africa
112 | Mozambique,113,4.550000191,0.23430565,0.870701015,0.106654435,0.480791092,0.322228104,0.179436386,2.355650902,70.8,Africa
113 | Myanmar,114,4.545000076,0.36711055,1.123235941,0.397522569,0.514492035,0.838075161,0.188816205,1.115290403,72,Asia-Pacific
114 | Senegal,115,4.534999847,0.479309022,1.179691911,0.409362853,0.377922267,0.183468893,0.115460448,1.789646149,54.7,Africa
115 | Zambia,116,4.513999939,0.636406779,1.003187299,0.257835895,0.461603492,0.249580145,0.07821355,1.826705456,55.2,Africa
116 | Iraq,117,4.497000217,1.102710485,0.978613198,0.50118047,0.288555533,0.199637264,0.107215755,1.318907261,72,Asia-Pacific
117 | Gabon,118,4.465000153,1.198210239,1.155620217,0.356578588,0.312328577,0.043785378,0.076046787,1.322916269,52.5,Africa
118 | Ethiopia,119,4.460000038,0.339233845,0.864669204,0.353409708,0.408842742,0.31265074,0.165455714,2.015743732,73.7,Africa
119 | Sri Lanka,120,4.440000057,1.009850144,1.259976387,0.625130832,0.561213255,0.490863562,0.073653966,0.419389248,84.4,Asia-Pacific
120 | Armenia,121,4.375999928,0.900596738,1.007483721,0.637524426,0.198303267,0.083488092,0.026674422,1.521499157,50.7,Asia-Pacific
121 | India,122,4.315000057,0.792221248,0.754372597,0.455427617,0.469987005,0.231538489,0.092226885,1.519117117,71.5,Asia-Pacific
122 | Mauritania,123,4.291999817,0.648457289,1.27203083,0.28534928,0.096098043,0.201870024,0.136957005,1.651637316,61.7,Africa
123 | Congo (Brazzaville),124,4.290999889,0.808964252,0.832044363,0.289957434,0.435025871,0.120852128,0.079618134,1.724135637,60,Africa
124 | Georgia,125,4.285999775,0.950612664,0.570614934,0.649546981,0.309410036,0.054008815,0.251666635,1.500137806,55.9,Asia-Pacific
125 | Congo (Kinshasa),126,4.28000021,0.092102349,1.229023457,0.191407025,0.235961348,0.246455833,0.060241356,2.224958658,50.2,Africa
126 | Mali,127,4.190000057,0.476180494,1.281473398,0.169365674,0.306613743,0.183354199,0.104970247,1.668190956,53.7,Africa
127 | Ivory Coast,128,4.179999828,0.603048921,0.90478003,0.04864217,0.447706193,0.20123747,0.130061775,1.844964266,55.3,Africa
128 | Cambodia,129,4.168000221,0.601765096,1.006238341,0.429783404,0.633375823,0.385922968,0.068105951,1.042941093,78.9,Asia-Pacific
129 | Sudan,130,4.138999939,0.659516692,1.21400857,0.290920824,0.014995855,0.182317451,0.08984752,1.68706584,56.7,Africa
130 | Ghana,131,4.119999886,0.667224824,0.873664737,0.295637727,0.423026294,0.256923944,0.02533637,1.577867508,63.1,Africa
131 | Ukraine,132,4.096000195,0.894651949,1.394537568,0.575903952,0.122974776,0.270061463,0.023029471,0.814382315,72.3,Europe
132 | Uganda,133,4.080999851,0.381430715,1.129827738,0.217632607,0.443185955,0.325766057,0.057069719,1.526362658,51,Africa
133 | Burkina Faso,134,4.032000065,0.350227714,1.043280005,0.215844259,0.324367851,0.250864685,0.120328106,1.727212906,56.2,Africa
134 | Niger,135,4.027999878,0.161925331,0.993025005,0.268505007,0.363658696,0.228673846,0.138572946,1.873983383,71.1,Africa
135 | Malawi,136,3.970000029,0.233442038,0.512568831,0.315089583,0.466914654,0.28717047,0.072711654,2.081786156,51.8,Africa
136 | Chad,137,3.936000109,0.438012987,0.953855872,0.041134715,0.162342027,0.21611385,0.053581882,2.071238041,67.9,Africa
137 | Zimbabwe,138,3.875,0.375846535,1.083095908,0.196763754,0.336384207,0.189143494,0.095375381,1.597970247,56.3,Africa
138 | Lesotho,139,3.808000088,0.521021247,1.190095186,0,0.390661299,0.157497272,0.11909464,1.42983532,44.4,Africa
139 | Angola,140,3.795000076,0.85842818,1.10441196,0.049868666,0,0.09792649,0.069720335,1.614482403,71.1,Africa
140 | Afghanistan,141,3.79399991,0.401477218,0.581543326,0.180746779,0.10617952,0.311870933,0.06115783,2.150801182,80,Asia-Pacific
141 | Botswana,142,3.766000032,1.122094154,1.221554995,0.341755509,0.505196333,0.099348448,0.098583199,0.377913713,56.1,Africa
142 | Benin,143,3.657000065,0.431085408,0.435299844,0.209930211,0.425962776,0.207948461,0.060929015,1.885630965,49.3,Africa
143 | Madagascar,144,3.644000053,0.305808693,0.913020372,0.375223309,0.189196765,0.20873253,0.067231975,1.584612608,45.3,Africa
144 | Haiti,145,3.602999926,0.368610263,0.640449822,0.27732113,0.030369857,0.489203781,0.09987215,1.697167635,48.5,Latin America
145 | Yemen,146,3.592999935,0.591683447,0.935382247,0.310080916,0.249463722,0.104125209,0.056767423,1.345600605,58.9,Asia-Pacific
146 | South Sudan,147,3.59100008,0.397248626,0.601323128,0.163486004,0.147062436,0.285670817,0.116793513,1.879567385,NaN,Africa
147 | Liberia,148,3.532999992,0.119041793,0.872117937,0.229918197,0.332881182,0.266549885,0.038948249,1.673285961,56.6,Africa
148 | Guinea,149,3.506999969,0.24454993,0.791244686,0.194129139,0.348587513,0.264815092,0.110937618,1.552311897,55.1,Africa
149 | Togo,150,3.494999886,0.305444717,0.43188253,0.247105569,0.380426139,0.196896151,0.095665015,1.837229252,44.8,Africa
150 | Rwanda,151,3.470999956,0.368745893,0.945707023,0.326424807,0.581843853,0.252756029,0.455220014,0.540061235,51.7,Africa
151 | Syria,152,3.461999893,0.777153134,0.396102607,0.500533342,0.081539445,0.493663728,0.151347131,1.061573505,62.7,Asia-Pacific
152 | Tanzania,153,3.348999977,0.511135876,1.041989803,0.364509284,0.390017778,0.354256362,0.066035107,0.621130466,57.8,Africa
153 | Burundi,154,2.904999971,0.091622569,0.629793584,0.151610792,0.059900753,0.204435185,0.084147945,1.683024168,54.3,Africa
154 | Central African Republic,155,2.693000078,0,0,0.018772686,0.270842046,0.280876487,0.056565076,2.066004753,70.4,Africa
--------------------------------------------------------------------------------
/Data/Regression/Automobile_data.csv:
--------------------------------------------------------------------------------
1 | symboling,normalized-losses,make,fuel-type,aspiration,num-of-doors,body-style,drive-wheels,engine-location,wheel-base,length,width,height,curb-weight,engine-type,num-of-cylinders,engine-size,fuel-system,bore,stroke,compression-ratio,horsepower,peak-rpm,city-mpg,highway-mpg,price
2 | 3,?,alfa-romero,gas,std,two,convertible,rwd,front,88.6,168.8,64.1,48.8,2548,dohc,four,130,mpfi,3.47,2.68,9,111,5000,21,27,13495
3 | 3,?,alfa-romero,gas,std,two,convertible,rwd,front,88.6,168.8,64.1,48.8,2548,dohc,four,130,mpfi,3.47,2.68,9,111,5000,21,27,16500
4 | 1,?,alfa-romero,gas,std,two,hatchback,rwd,front,94.5,171.2,65.5,52.4,2823,ohcv,six,152,mpfi,2.68,3.47,9,154,5000,19,26,16500
5 | 2,164,audi,gas,std,four,sedan,fwd,front,99.8,176.6,66.2,54.3,2337,ohc,four,109,mpfi,3.19,3.4,10,102,5500,24,30,13950
6 | 2,164,audi,gas,std,four,sedan,4wd,front,99.4,176.6,66.4,54.3,2824,ohc,five,136,mpfi,3.19,3.4,8,115,5500,18,22,17450
7 | 2,?,audi,gas,std,two,sedan,fwd,front,99.8,177.3,66.3,53.1,2507,ohc,five,136,mpfi,3.19,3.4,8.5,110,5500,19,25,15250
8 | 1,158,audi,gas,std,four,sedan,fwd,front,105.8,192.7,71.4,55.7,2844,ohc,five,136,mpfi,3.19,3.4,8.5,110,5500,19,25,17710
9 | 1,?,audi,gas,std,four,wagon,fwd,front,105.8,192.7,71.4,55.7,2954,ohc,five,136,mpfi,3.19,3.4,8.5,110,5500,19,25,18920
10 | 1,158,audi,gas,turbo,four,sedan,fwd,front,105.8,192.7,71.4,55.9,3086,ohc,five,131,mpfi,3.13,3.4,8.3,140,5500,17,20,23875
11 | 0,?,audi,gas,turbo,two,hatchback,4wd,front,99.5,178.2,67.9,52,3053,ohc,five,131,mpfi,3.13,3.4,7,160,5500,16,22,?
12 | 2,192,bmw,gas,std,two,sedan,rwd,front,101.2,176.8,64.8,54.3,2395,ohc,four,108,mpfi,3.5,2.8,8.8,101,5800,23,29,16430
13 | 0,192,bmw,gas,std,four,sedan,rwd,front,101.2,176.8,64.8,54.3,2395,ohc,four,108,mpfi,3.5,2.8,8.8,101,5800,23,29,16925
14 | 0,188,bmw,gas,std,two,sedan,rwd,front,101.2,176.8,64.8,54.3,2710,ohc,six,164,mpfi,3.31,3.19,9,121,4250,21,28,20970
15 | 0,188,bmw,gas,std,four,sedan,rwd,front,101.2,176.8,64.8,54.3,2765,ohc,six,164,mpfi,3.31,3.19,9,121,4250,21,28,21105
16 | 1,?,bmw,gas,std,four,sedan,rwd,front,103.5,189,66.9,55.7,3055,ohc,six,164,mpfi,3.31,3.19,9,121,4250,20,25,24565
17 | 0,?,bmw,gas,std,four,sedan,rwd,front,103.5,189,66.9,55.7,3230,ohc,six,209,mpfi,3.62,3.39,8,182,5400,16,22,30760
18 | 0,?,bmw,gas,std,two,sedan,rwd,front,103.5,193.8,67.9,53.7,3380,ohc,six,209,mpfi,3.62,3.39,8,182,5400,16,22,41315
19 | 0,?,bmw,gas,std,four,sedan,rwd,front,110,197,70.9,56.3,3505,ohc,six,209,mpfi,3.62,3.39,8,182,5400,15,20,36880
20 | 2,121,chevrolet,gas,std,two,hatchback,fwd,front,88.4,141.1,60.3,53.2,1488,l,three,61,2bbl,2.91,3.03,9.5,48,5100,47,53,5151
21 | 1,98,chevrolet,gas,std,two,hatchback,fwd,front,94.5,155.9,63.6,52,1874,ohc,four,90,2bbl,3.03,3.11,9.6,70,5400,38,43,6295
22 | 0,81,chevrolet,gas,std,four,sedan,fwd,front,94.5,158.8,63.6,52,1909,ohc,four,90,2bbl,3.03,3.11,9.6,70,5400,38,43,6575
23 | 1,118,dodge,gas,std,two,hatchback,fwd,front,93.7,157.3,63.8,50.8,1876,ohc,four,90,2bbl,2.97,3.23,9.41,68,5500,37,41,5572
24 | 1,118,dodge,gas,std,two,hatchback,fwd,front,93.7,157.3,63.8,50.8,1876,ohc,four,90,2bbl,2.97,3.23,9.4,68,5500,31,38,6377
25 | 1,118,dodge,gas,turbo,two,hatchback,fwd,front,93.7,157.3,63.8,50.8,2128,ohc,four,98,mpfi,3.03,3.39,7.6,102,5500,24,30,7957
26 | 1,148,dodge,gas,std,four,hatchback,fwd,front,93.7,157.3,63.8,50.6,1967,ohc,four,90,2bbl,2.97,3.23,9.4,68,5500,31,38,6229
27 | 1,148,dodge,gas,std,four,sedan,fwd,front,93.7,157.3,63.8,50.6,1989,ohc,four,90,2bbl,2.97,3.23,9.4,68,5500,31,38,6692
28 | 1,148,dodge,gas,std,four,sedan,fwd,front,93.7,157.3,63.8,50.6,1989,ohc,four,90,2bbl,2.97,3.23,9.4,68,5500,31,38,7609
29 | 1,148,dodge,gas,turbo,?,sedan,fwd,front,93.7,157.3,63.8,50.6,2191,ohc,four,98,mpfi,3.03,3.39,7.6,102,5500,24,30,8558
30 | -1,110,dodge,gas,std,four,wagon,fwd,front,103.3,174.6,64.6,59.8,2535,ohc,four,122,2bbl,3.34,3.46,8.5,88,5000,24,30,8921
31 | 3,145,dodge,gas,turbo,two,hatchback,fwd,front,95.9,173.2,66.3,50.2,2811,ohc,four,156,mfi,3.6,3.9,7,145,5000,19,24,12964
32 | 2,137,honda,gas,std,two,hatchback,fwd,front,86.6,144.6,63.9,50.8,1713,ohc,four,92,1bbl,2.91,3.41,9.6,58,4800,49,54,6479
33 | 2,137,honda,gas,std,two,hatchback,fwd,front,86.6,144.6,63.9,50.8,1819,ohc,four,92,1bbl,2.91,3.41,9.2,76,6000,31,38,6855
34 | 1,101,honda,gas,std,two,hatchback,fwd,front,93.7,150,64,52.6,1837,ohc,four,79,1bbl,2.91,3.07,10.1,60,5500,38,42,5399
35 | 1,101,honda,gas,std,two,hatchback,fwd,front,93.7,150,64,52.6,1940,ohc,four,92,1bbl,2.91,3.41,9.2,76,6000,30,34,6529
36 | 1,101,honda,gas,std,two,hatchback,fwd,front,93.7,150,64,52.6,1956,ohc,four,92,1bbl,2.91,3.41,9.2,76,6000,30,34,7129
37 | 0,110,honda,gas,std,four,sedan,fwd,front,96.5,163.4,64,54.5,2010,ohc,four,92,1bbl,2.91,3.41,9.2,76,6000,30,34,7295
38 | 0,78,honda,gas,std,four,wagon,fwd,front,96.5,157.1,63.9,58.3,2024,ohc,four,92,1bbl,2.92,3.41,9.2,76,6000,30,34,7295
39 | 0,106,honda,gas,std,two,hatchback,fwd,front,96.5,167.5,65.2,53.3,2236,ohc,four,110,1bbl,3.15,3.58,9,86,5800,27,33,7895
40 | 0,106,honda,gas,std,two,hatchback,fwd,front,96.5,167.5,65.2,53.3,2289,ohc,four,110,1bbl,3.15,3.58,9,86,5800,27,33,9095
41 | 0,85,honda,gas,std,four,sedan,fwd,front,96.5,175.4,65.2,54.1,2304,ohc,four,110,1bbl,3.15,3.58,9,86,5800,27,33,8845
42 | 0,85,honda,gas,std,four,sedan,fwd,front,96.5,175.4,62.5,54.1,2372,ohc,four,110,1bbl,3.15,3.58,9,86,5800,27,33,10295
43 | 0,85,honda,gas,std,four,sedan,fwd,front,96.5,175.4,65.2,54.1,2465,ohc,four,110,mpfi,3.15,3.58,9,101,5800,24,28,12945
44 | 1,107,honda,gas,std,two,sedan,fwd,front,96.5,169.1,66,51,2293,ohc,four,110,2bbl,3.15,3.58,9.1,100,5500,25,31,10345
45 | 0,?,isuzu,gas,std,four,sedan,rwd,front,94.3,170.7,61.8,53.5,2337,ohc,four,111,2bbl,3.31,3.23,8.5,78,4800,24,29,6785
46 | 1,?,isuzu,gas,std,two,sedan,fwd,front,94.5,155.9,63.6,52,1874,ohc,four,90,2bbl,3.03,3.11,9.6,70,5400,38,43,?
47 | 0,?,isuzu,gas,std,four,sedan,fwd,front,94.5,155.9,63.6,52,1909,ohc,four,90,2bbl,3.03,3.11,9.6,70,5400,38,43,?
48 | 2,?,isuzu,gas,std,two,hatchback,rwd,front,96,172.6,65.2,51.4,2734,ohc,four,119,spfi,3.43,3.23,9.2,90,5000,24,29,11048
49 | 0,145,jaguar,gas,std,four,sedan,rwd,front,113,199.6,69.6,52.8,4066,dohc,six,258,mpfi,3.63,4.17,8.1,176,4750,15,19,32250
50 | 0,?,jaguar,gas,std,four,sedan,rwd,front,113,199.6,69.6,52.8,4066,dohc,six,258,mpfi,3.63,4.17,8.1,176,4750,15,19,35550
51 | 0,?,jaguar,gas,std,two,sedan,rwd,front,102,191.7,70.6,47.8,3950,ohcv,twelve,326,mpfi,3.54,2.76,11.5,262,5000,13,17,36000
52 | 1,104,mazda,gas,std,two,hatchback,fwd,front,93.1,159.1,64.2,54.1,1890,ohc,four,91,2bbl,3.03,3.15,9,68,5000,30,31,5195
53 | 1,104,mazda,gas,std,two,hatchback,fwd,front,93.1,159.1,64.2,54.1,1900,ohc,four,91,2bbl,3.03,3.15,9,68,5000,31,38,6095
54 | 1,104,mazda,gas,std,two,hatchback,fwd,front,93.1,159.1,64.2,54.1,1905,ohc,four,91,2bbl,3.03,3.15,9,68,5000,31,38,6795
55 | 1,113,mazda,gas,std,four,sedan,fwd,front,93.1,166.8,64.2,54.1,1945,ohc,four,91,2bbl,3.03,3.15,9,68,5000,31,38,6695
56 | 1,113,mazda,gas,std,four,sedan,fwd,front,93.1,166.8,64.2,54.1,1950,ohc,four,91,2bbl,3.08,3.15,9,68,5000,31,38,7395
57 | 3,150,mazda,gas,std,two,hatchback,rwd,front,95.3,169,65.7,49.6,2380,rotor,two,70,4bbl,?,?,9.4,101,6000,17,23,10945
58 | 3,150,mazda,gas,std,two,hatchback,rwd,front,95.3,169,65.7,49.6,2380,rotor,two,70,4bbl,?,?,9.4,101,6000,17,23,11845
59 | 3,150,mazda,gas,std,two,hatchback,rwd,front,95.3,169,65.7,49.6,2385,rotor,two,70,4bbl,?,?,9.4,101,6000,17,23,13645
60 | 3,150,mazda,gas,std,two,hatchback,rwd,front,95.3,169,65.7,49.6,2500,rotor,two,80,mpfi,?,?,9.4,135,6000,16,23,15645
61 | 1,129,mazda,gas,std,two,hatchback,fwd,front,98.8,177.8,66.5,53.7,2385,ohc,four,122,2bbl,3.39,3.39,8.6,84,4800,26,32,8845
62 | 0,115,mazda,gas,std,four,sedan,fwd,front,98.8,177.8,66.5,55.5,2410,ohc,four,122,2bbl,3.39,3.39,8.6,84,4800,26,32,8495
63 | 1,129,mazda,gas,std,two,hatchback,fwd,front,98.8,177.8,66.5,53.7,2385,ohc,four,122,2bbl,3.39,3.39,8.6,84,4800,26,32,10595
64 | 0,115,mazda,gas,std,four,sedan,fwd,front,98.8,177.8,66.5,55.5,2410,ohc,four,122,2bbl,3.39,3.39,8.6,84,4800,26,32,10245
65 | 0,?,mazda,diesel,std,?,sedan,fwd,front,98.8,177.8,66.5,55.5,2443,ohc,four,122,idi,3.39,3.39,22.7,64,4650,36,42,10795
66 | 0,115,mazda,gas,std,four,hatchback,fwd,front,98.8,177.8,66.5,55.5,2425,ohc,four,122,2bbl,3.39,3.39,8.6,84,4800,26,32,11245
67 | 0,118,mazda,gas,std,four,sedan,rwd,front,104.9,175,66.1,54.4,2670,ohc,four,140,mpfi,3.76,3.16,8,120,5000,19,27,18280
68 | 0,?,mazda,diesel,std,four,sedan,rwd,front,104.9,175,66.1,54.4,2700,ohc,four,134,idi,3.43,3.64,22,72,4200,31,39,18344
69 | -1,93,mercedes-benz,diesel,turbo,four,sedan,rwd,front,110,190.9,70.3,56.5,3515,ohc,five,183,idi,3.58,3.64,21.5,123,4350,22,25,25552
70 | -1,93,mercedes-benz,diesel,turbo,four,wagon,rwd,front,110,190.9,70.3,58.7,3750,ohc,five,183,idi,3.58,3.64,21.5,123,4350,22,25,28248
71 | 0,93,mercedes-benz,diesel,turbo,two,hardtop,rwd,front,106.7,187.5,70.3,54.9,3495,ohc,five,183,idi,3.58,3.64,21.5,123,4350,22,25,28176
72 | -1,93,mercedes-benz,diesel,turbo,four,sedan,rwd,front,115.6,202.6,71.7,56.3,3770,ohc,five,183,idi,3.58,3.64,21.5,123,4350,22,25,31600
73 | -1,?,mercedes-benz,gas,std,four,sedan,rwd,front,115.6,202.6,71.7,56.5,3740,ohcv,eight,234,mpfi,3.46,3.1,8.3,155,4750,16,18,34184
74 | 3,142,mercedes-benz,gas,std,two,convertible,rwd,front,96.6,180.3,70.5,50.8,3685,ohcv,eight,234,mpfi,3.46,3.1,8.3,155,4750,16,18,35056
75 | 0,?,mercedes-benz,gas,std,four,sedan,rwd,front,120.9,208.1,71.7,56.7,3900,ohcv,eight,308,mpfi,3.8,3.35,8,184,4500,14,16,40960
76 | 1,?,mercedes-benz,gas,std,two,hardtop,rwd,front,112,199.2,72,55.4,3715,ohcv,eight,304,mpfi,3.8,3.35,8,184,4500,14,16,45400
77 | 1,?,mercury,gas,turbo,two,hatchback,rwd,front,102.7,178.4,68,54.8,2910,ohc,four,140,mpfi,3.78,3.12,8,175,5000,19,24,16503
78 | 2,161,mitsubishi,gas,std,two,hatchback,fwd,front,93.7,157.3,64.4,50.8,1918,ohc,four,92,2bbl,2.97,3.23,9.4,68,5500,37,41,5389
79 | 2,161,mitsubishi,gas,std,two,hatchback,fwd,front,93.7,157.3,64.4,50.8,1944,ohc,four,92,2bbl,2.97,3.23,9.4,68,5500,31,38,6189
80 | 2,161,mitsubishi,gas,std,two,hatchback,fwd,front,93.7,157.3,64.4,50.8,2004,ohc,four,92,2bbl,2.97,3.23,9.4,68,5500,31,38,6669
81 | 1,161,mitsubishi,gas,turbo,two,hatchback,fwd,front,93,157.3,63.8,50.8,2145,ohc,four,98,spdi,3.03,3.39,7.6,102,5500,24,30,7689
82 | 3,153,mitsubishi,gas,turbo,two,hatchback,fwd,front,96.3,173,65.4,49.4,2370,ohc,four,110,spdi,3.17,3.46,7.5,116,5500,23,30,9959
83 | 3,153,mitsubishi,gas,std,two,hatchback,fwd,front,96.3,173,65.4,49.4,2328,ohc,four,122,2bbl,3.35,3.46,8.5,88,5000,25,32,8499
84 | 3,?,mitsubishi,gas,turbo,two,hatchback,fwd,front,95.9,173.2,66.3,50.2,2833,ohc,four,156,spdi,3.58,3.86,7,145,5000,19,24,12629
85 | 3,?,mitsubishi,gas,turbo,two,hatchback,fwd,front,95.9,173.2,66.3,50.2,2921,ohc,four,156,spdi,3.59,3.86,7,145,5000,19,24,14869
86 | 3,?,mitsubishi,gas,turbo,two,hatchback,fwd,front,95.9,173.2,66.3,50.2,2926,ohc,four,156,spdi,3.59,3.86,7,145,5000,19,24,14489
87 | 1,125,mitsubishi,gas,std,four,sedan,fwd,front,96.3,172.4,65.4,51.6,2365,ohc,four,122,2bbl,3.35,3.46,8.5,88,5000,25,32,6989
88 | 1,125,mitsubishi,gas,std,four,sedan,fwd,front,96.3,172.4,65.4,51.6,2405,ohc,four,122,2bbl,3.35,3.46,8.5,88,5000,25,32,8189
89 | 1,125,mitsubishi,gas,turbo,four,sedan,fwd,front,96.3,172.4,65.4,51.6,2403,ohc,four,110,spdi,3.17,3.46,7.5,116,5500,23,30,9279
90 | -1,137,mitsubishi,gas,std,four,sedan,fwd,front,96.3,172.4,65.4,51.6,2403,ohc,four,110,spdi,3.17,3.46,7.5,116,5500,23,30,9279
91 | 1,128,nissan,gas,std,two,sedan,fwd,front,94.5,165.3,63.8,54.5,1889,ohc,four,97,2bbl,3.15,3.29,9.4,69,5200,31,37,5499
92 | 1,128,nissan,diesel,std,two,sedan,fwd,front,94.5,165.3,63.8,54.5,2017,ohc,four,103,idi,2.99,3.47,21.9,55,4800,45,50,7099
93 | 1,128,nissan,gas,std,two,sedan,fwd,front,94.5,165.3,63.8,54.5,1918,ohc,four,97,2bbl,3.15,3.29,9.4,69,5200,31,37,6649
94 | 1,122,nissan,gas,std,four,sedan,fwd,front,94.5,165.3,63.8,54.5,1938,ohc,four,97,2bbl,3.15,3.29,9.4,69,5200,31,37,6849
95 | 1,103,nissan,gas,std,four,wagon,fwd,front,94.5,170.2,63.8,53.5,2024,ohc,four,97,2bbl,3.15,3.29,9.4,69,5200,31,37,7349
96 | 1,128,nissan,gas,std,two,sedan,fwd,front,94.5,165.3,63.8,54.5,1951,ohc,four,97,2bbl,3.15,3.29,9.4,69,5200,31,37,7299
97 | 1,128,nissan,gas,std,two,hatchback,fwd,front,94.5,165.6,63.8,53.3,2028,ohc,four,97,2bbl,3.15,3.29,9.4,69,5200,31,37,7799
98 | 1,122,nissan,gas,std,four,sedan,fwd,front,94.5,165.3,63.8,54.5,1971,ohc,four,97,2bbl,3.15,3.29,9.4,69,5200,31,37,7499
99 | 1,103,nissan,gas,std,four,wagon,fwd,front,94.5,170.2,63.8,53.5,2037,ohc,four,97,2bbl,3.15,3.29,9.4,69,5200,31,37,7999
100 | 2,168,nissan,gas,std,two,hardtop,fwd,front,95.1,162.4,63.8,53.3,2008,ohc,four,97,2bbl,3.15,3.29,9.4,69,5200,31,37,8249
101 | 0,106,nissan,gas,std,four,hatchback,fwd,front,97.2,173.4,65.2,54.7,2324,ohc,four,120,2bbl,3.33,3.47,8.5,97,5200,27,34,8949
102 | 0,106,nissan,gas,std,four,sedan,fwd,front,97.2,173.4,65.2,54.7,2302,ohc,four,120,2bbl,3.33,3.47,8.5,97,5200,27,34,9549
103 | 0,128,nissan,gas,std,four,sedan,fwd,front,100.4,181.7,66.5,55.1,3095,ohcv,six,181,mpfi,3.43,3.27,9,152,5200,17,22,13499
104 | 0,108,nissan,gas,std,four,wagon,fwd,front,100.4,184.6,66.5,56.1,3296,ohcv,six,181,mpfi,3.43,3.27,9,152,5200,17,22,14399
105 | 0,108,nissan,gas,std,four,sedan,fwd,front,100.4,184.6,66.5,55.1,3060,ohcv,six,181,mpfi,3.43,3.27,9,152,5200,19,25,13499
106 | 3,194,nissan,gas,std,two,hatchback,rwd,front,91.3,170.7,67.9,49.7,3071,ohcv,six,181,mpfi,3.43,3.27,9,160,5200,19,25,17199
107 | 3,194,nissan,gas,turbo,two,hatchback,rwd,front,91.3,170.7,67.9,49.7,3139,ohcv,six,181,mpfi,3.43,3.27,7.8,200,5200,17,23,19699
108 | 1,231,nissan,gas,std,two,hatchback,rwd,front,99.2,178.5,67.9,49.7,3139,ohcv,six,181,mpfi,3.43,3.27,9,160,5200,19,25,18399
109 | 0,161,peugot,gas,std,four,sedan,rwd,front,107.9,186.7,68.4,56.7,3020,l,four,120,mpfi,3.46,3.19,8.4,97,5000,19,24,11900
110 | 0,161,peugot,diesel,turbo,four,sedan,rwd,front,107.9,186.7,68.4,56.7,3197,l,four,152,idi,3.7,3.52,21,95,4150,28,33,13200
111 | 0,?,peugot,gas,std,four,wagon,rwd,front,114.2,198.9,68.4,58.7,3230,l,four,120,mpfi,3.46,3.19,8.4,97,5000,19,24,12440
112 | 0,?,peugot,diesel,turbo,four,wagon,rwd,front,114.2,198.9,68.4,58.7,3430,l,four,152,idi,3.7,3.52,21,95,4150,25,25,13860
113 | 0,161,peugot,gas,std,four,sedan,rwd,front,107.9,186.7,68.4,56.7,3075,l,four,120,mpfi,3.46,2.19,8.4,95,5000,19,24,15580
114 | 0,161,peugot,diesel,turbo,four,sedan,rwd,front,107.9,186.7,68.4,56.7,3252,l,four,152,idi,3.7,3.52,21,95,4150,28,33,16900
115 | 0,?,peugot,gas,std,four,wagon,rwd,front,114.2,198.9,68.4,56.7,3285,l,four,120,mpfi,3.46,2.19,8.4,95,5000,19,24,16695
116 | 0,?,peugot,diesel,turbo,four,wagon,rwd,front,114.2,198.9,68.4,58.7,3485,l,four,152,idi,3.7,3.52,21,95,4150,25,25,17075
117 | 0,161,peugot,gas,std,four,sedan,rwd,front,107.9,186.7,68.4,56.7,3075,l,four,120,mpfi,3.46,3.19,8.4,97,5000,19,24,16630
118 | 0,161,peugot,diesel,turbo,four,sedan,rwd,front,107.9,186.7,68.4,56.7,3252,l,four,152,idi,3.7,3.52,21,95,4150,28,33,17950
119 | 0,161,peugot,gas,turbo,four,sedan,rwd,front,108,186.7,68.3,56,3130,l,four,134,mpfi,3.61,3.21,7,142,5600,18,24,18150
120 | 1,119,plymouth,gas,std,two,hatchback,fwd,front,93.7,157.3,63.8,50.8,1918,ohc,four,90,2bbl,2.97,3.23,9.4,68,5500,37,41,5572
121 | 1,119,plymouth,gas,turbo,two,hatchback,fwd,front,93.7,157.3,63.8,50.8,2128,ohc,four,98,spdi,3.03,3.39,7.6,102,5500,24,30,7957
122 | 1,154,plymouth,gas,std,four,hatchback,fwd,front,93.7,157.3,63.8,50.6,1967,ohc,four,90,2bbl,2.97,3.23,9.4,68,5500,31,38,6229
123 | 1,154,plymouth,gas,std,four,sedan,fwd,front,93.7,167.3,63.8,50.8,1989,ohc,four,90,2bbl,2.97,3.23,9.4,68,5500,31,38,6692
124 | 1,154,plymouth,gas,std,four,sedan,fwd,front,93.7,167.3,63.8,50.8,2191,ohc,four,98,2bbl,2.97,3.23,9.4,68,5500,31,38,7609
125 | -1,74,plymouth,gas,std,four,wagon,fwd,front,103.3,174.6,64.6,59.8,2535,ohc,four,122,2bbl,3.35,3.46,8.5,88,5000,24,30,8921
126 | 3,?,plymouth,gas,turbo,two,hatchback,rwd,front,95.9,173.2,66.3,50.2,2818,ohc,four,156,spdi,3.59,3.86,7,145,5000,19,24,12764
127 | 3,186,porsche,gas,std,two,hatchback,rwd,front,94.5,168.9,68.3,50.2,2778,ohc,four,151,mpfi,3.94,3.11,9.5,143,5500,19,27,22018
128 | 3,?,porsche,gas,std,two,hardtop,rwd,rear,89.5,168.9,65,51.6,2756,ohcf,six,194,mpfi,3.74,2.9,9.5,207,5900,17,25,32528
129 | 3,?,porsche,gas,std,two,hardtop,rwd,rear,89.5,168.9,65,51.6,2756,ohcf,six,194,mpfi,3.74,2.9,9.5,207,5900,17,25,34028
130 | 3,?,porsche,gas,std,two,convertible,rwd,rear,89.5,168.9,65,51.6,2800,ohcf,six,194,mpfi,3.74,2.9,9.5,207,5900,17,25,37028
131 | 1,?,porsche,gas,std,two,hatchback,rwd,front,98.4,175.7,72.3,50.5,3366,dohcv,eight,203,mpfi,3.94,3.11,10,288,5750,17,28,?
132 | 0,?,renault,gas,std,four,wagon,fwd,front,96.1,181.5,66.5,55.2,2579,ohc,four,132,mpfi,3.46,3.9,8.7,?,?,23,31,9295
133 | 2,?,renault,gas,std,two,hatchback,fwd,front,96.1,176.8,66.6,50.5,2460,ohc,four,132,mpfi,3.46,3.9,8.7,?,?,23,31,9895
134 | 3,150,saab,gas,std,two,hatchback,fwd,front,99.1,186.6,66.5,56.1,2658,ohc,four,121,mpfi,3.54,3.07,9.31,110,5250,21,28,11850
135 | 2,104,saab,gas,std,four,sedan,fwd,front,99.1,186.6,66.5,56.1,2695,ohc,four,121,mpfi,3.54,3.07,9.3,110,5250,21,28,12170
136 | 3,150,saab,gas,std,two,hatchback,fwd,front,99.1,186.6,66.5,56.1,2707,ohc,four,121,mpfi,2.54,2.07,9.3,110,5250,21,28,15040
137 | 2,104,saab,gas,std,four,sedan,fwd,front,99.1,186.6,66.5,56.1,2758,ohc,four,121,mpfi,3.54,3.07,9.3,110,5250,21,28,15510
138 | 3,150,saab,gas,turbo,two,hatchback,fwd,front,99.1,186.6,66.5,56.1,2808,dohc,four,121,mpfi,3.54,3.07,9,160,5500,19,26,18150
139 | 2,104,saab,gas,turbo,four,sedan,fwd,front,99.1,186.6,66.5,56.1,2847,dohc,four,121,mpfi,3.54,3.07,9,160,5500,19,26,18620
140 | 2,83,subaru,gas,std,two,hatchback,fwd,front,93.7,156.9,63.4,53.7,2050,ohcf,four,97,2bbl,3.62,2.36,9,69,4900,31,36,5118
141 | 2,83,subaru,gas,std,two,hatchback,fwd,front,93.7,157.9,63.6,53.7,2120,ohcf,four,108,2bbl,3.62,2.64,8.7,73,4400,26,31,7053
142 | 2,83,subaru,gas,std,two,hatchback,4wd,front,93.3,157.3,63.8,55.7,2240,ohcf,four,108,2bbl,3.62,2.64,8.7,73,4400,26,31,7603
143 | 0,102,subaru,gas,std,four,sedan,fwd,front,97.2,172,65.4,52.5,2145,ohcf,four,108,2bbl,3.62,2.64,9.5,82,4800,32,37,7126
144 | 0,102,subaru,gas,std,four,sedan,fwd,front,97.2,172,65.4,52.5,2190,ohcf,four,108,2bbl,3.62,2.64,9.5,82,4400,28,33,7775
145 | 0,102,subaru,gas,std,four,sedan,fwd,front,97.2,172,65.4,52.5,2340,ohcf,four,108,mpfi,3.62,2.64,9,94,5200,26,32,9960
146 | 0,102,subaru,gas,std,four,sedan,4wd,front,97,172,65.4,54.3,2385,ohcf,four,108,2bbl,3.62,2.64,9,82,4800,24,25,9233
147 | 0,102,subaru,gas,turbo,four,sedan,4wd,front,97,172,65.4,54.3,2510,ohcf,four,108,mpfi,3.62,2.64,7.7,111,4800,24,29,11259
148 | 0,89,subaru,gas,std,four,wagon,fwd,front,97,173.5,65.4,53,2290,ohcf,four,108,2bbl,3.62,2.64,9,82,4800,28,32,7463
149 | 0,89,subaru,gas,std,four,wagon,fwd,front,97,173.5,65.4,53,2455,ohcf,four,108,mpfi,3.62,2.64,9,94,5200,25,31,10198
150 | 0,85,subaru,gas,std,four,wagon,4wd,front,96.9,173.6,65.4,54.9,2420,ohcf,four,108,2bbl,3.62,2.64,9,82,4800,23,29,8013
151 | 0,85,subaru,gas,turbo,four,wagon,4wd,front,96.9,173.6,65.4,54.9,2650,ohcf,four,108,mpfi,3.62,2.64,7.7,111,4800,23,23,11694
152 | 1,87,toyota,gas,std,two,hatchback,fwd,front,95.7,158.7,63.6,54.5,1985,ohc,four,92,2bbl,3.05,3.03,9,62,4800,35,39,5348
153 | 1,87,toyota,gas,std,two,hatchback,fwd,front,95.7,158.7,63.6,54.5,2040,ohc,four,92,2bbl,3.05,3.03,9,62,4800,31,38,6338
154 | 1,74,toyota,gas,std,four,hatchback,fwd,front,95.7,158.7,63.6,54.5,2015,ohc,four,92,2bbl,3.05,3.03,9,62,4800,31,38,6488
155 | 0,77,toyota,gas,std,four,wagon,fwd,front,95.7,169.7,63.6,59.1,2280,ohc,four,92,2bbl,3.05,3.03,9,62,4800,31,37,6918
156 | 0,81,toyota,gas,std,four,wagon,4wd,front,95.7,169.7,63.6,59.1,2290,ohc,four,92,2bbl,3.05,3.03,9,62,4800,27,32,7898
157 | 0,91,toyota,gas,std,four,wagon,4wd,front,95.7,169.7,63.6,59.1,3110,ohc,four,92,2bbl,3.05,3.03,9,62,4800,27,32,8778
158 | 0,91,toyota,gas,std,four,sedan,fwd,front,95.7,166.3,64.4,53,2081,ohc,four,98,2bbl,3.19,3.03,9,70,4800,30,37,6938
159 | 0,91,toyota,gas,std,four,hatchback,fwd,front,95.7,166.3,64.4,52.8,2109,ohc,four,98,2bbl,3.19,3.03,9,70,4800,30,37,7198
160 | 0,91,toyota,diesel,std,four,sedan,fwd,front,95.7,166.3,64.4,53,2275,ohc,four,110,idi,3.27,3.35,22.5,56,4500,34,36,7898
161 | 0,91,toyota,diesel,std,four,hatchback,fwd,front,95.7,166.3,64.4,52.8,2275,ohc,four,110,idi,3.27,3.35,22.5,56,4500,38,47,7788
162 | 0,91,toyota,gas,std,four,sedan,fwd,front,95.7,166.3,64.4,53,2094,ohc,four,98,2bbl,3.19,3.03,9,70,4800,38,47,7738
163 | 0,91,toyota,gas,std,four,hatchback,fwd,front,95.7,166.3,64.4,52.8,2122,ohc,four,98,2bbl,3.19,3.03,9,70,4800,28,34,8358
164 | 0,91,toyota,gas,std,four,sedan,fwd,front,95.7,166.3,64.4,52.8,2140,ohc,four,98,2bbl,3.19,3.03,9,70,4800,28,34,9258
165 | 1,168,toyota,gas,std,two,sedan,rwd,front,94.5,168.7,64,52.6,2169,ohc,four,98,2bbl,3.19,3.03,9,70,4800,29,34,8058
166 | 1,168,toyota,gas,std,two,hatchback,rwd,front,94.5,168.7,64,52.6,2204,ohc,four,98,2bbl,3.19,3.03,9,70,4800,29,34,8238
167 | 1,168,toyota,gas,std,two,sedan,rwd,front,94.5,168.7,64,52.6,2265,dohc,four,98,mpfi,3.24,3.08,9.4,112,6600,26,29,9298
168 | 1,168,toyota,gas,std,two,hatchback,rwd,front,94.5,168.7,64,52.6,2300,dohc,four,98,mpfi,3.24,3.08,9.4,112,6600,26,29,9538
169 | 2,134,toyota,gas,std,two,hardtop,rwd,front,98.4,176.2,65.6,52,2540,ohc,four,146,mpfi,3.62,3.5,9.3,116,4800,24,30,8449
170 | 2,134,toyota,gas,std,two,hardtop,rwd,front,98.4,176.2,65.6,52,2536,ohc,four,146,mpfi,3.62,3.5,9.3,116,4800,24,30,9639
171 | 2,134,toyota,gas,std,two,hatchback,rwd,front,98.4,176.2,65.6,52,2551,ohc,four,146,mpfi,3.62,3.5,9.3,116,4800,24,30,9989
172 | 2,134,toyota,gas,std,two,hardtop,rwd,front,98.4,176.2,65.6,52,2679,ohc,four,146,mpfi,3.62,3.5,9.3,116,4800,24,30,11199
173 | 2,134,toyota,gas,std,two,hatchback,rwd,front,98.4,176.2,65.6,52,2714,ohc,four,146,mpfi,3.62,3.5,9.3,116,4800,24,30,11549
174 | 2,134,toyota,gas,std,two,convertible,rwd,front,98.4,176.2,65.6,53,2975,ohc,four,146,mpfi,3.62,3.5,9.3,116,4800,24,30,17669
175 | -1,65,toyota,gas,std,four,sedan,fwd,front,102.4,175.6,66.5,54.9,2326,ohc,four,122,mpfi,3.31,3.54,8.7,92,4200,29,34,8948
176 | -1,65,toyota,diesel,turbo,four,sedan,fwd,front,102.4,175.6,66.5,54.9,2480,ohc,four,110,idi,3.27,3.35,22.5,73,4500,30,33,10698
177 | -1,65,toyota,gas,std,four,hatchback,fwd,front,102.4,175.6,66.5,53.9,2414,ohc,four,122,mpfi,3.31,3.54,8.7,92,4200,27,32,9988
178 | -1,65,toyota,gas,std,four,sedan,fwd,front,102.4,175.6,66.5,54.9,2414,ohc,four,122,mpfi,3.31,3.54,8.7,92,4200,27,32,10898
179 | -1,65,toyota,gas,std,four,hatchback,fwd,front,102.4,175.6,66.5,53.9,2458,ohc,four,122,mpfi,3.31,3.54,8.7,92,4200,27,32,11248
180 | 3,197,toyota,gas,std,two,hatchback,rwd,front,102.9,183.5,67.7,52,2976,dohc,six,171,mpfi,3.27,3.35,9.3,161,5200,20,24,16558
181 | 3,197,toyota,gas,std,two,hatchback,rwd,front,102.9,183.5,67.7,52,3016,dohc,six,171,mpfi,3.27,3.35,9.3,161,5200,19,24,15998
182 | -1,90,toyota,gas,std,four,sedan,rwd,front,104.5,187.8,66.5,54.1,3131,dohc,six,171,mpfi,3.27,3.35,9.2,156,5200,20,24,15690
183 | -1,?,toyota,gas,std,four,wagon,rwd,front,104.5,187.8,66.5,54.1,3151,dohc,six,161,mpfi,3.27,3.35,9.2,156,5200,19,24,15750
184 | 2,122,volkswagen,diesel,std,two,sedan,fwd,front,97.3,171.7,65.5,55.7,2261,ohc,four,97,idi,3.01,3.4,23,52,4800,37,46,7775
185 | 2,122,volkswagen,gas,std,two,sedan,fwd,front,97.3,171.7,65.5,55.7,2209,ohc,four,109,mpfi,3.19,3.4,9,85,5250,27,34,7975
186 | 2,94,volkswagen,diesel,std,four,sedan,fwd,front,97.3,171.7,65.5,55.7,2264,ohc,four,97,idi,3.01,3.4,23,52,4800,37,46,7995
187 | 2,94,volkswagen,gas,std,four,sedan,fwd,front,97.3,171.7,65.5,55.7,2212,ohc,four,109,mpfi,3.19,3.4,9,85,5250,27,34,8195
188 | 2,94,volkswagen,gas,std,four,sedan,fwd,front,97.3,171.7,65.5,55.7,2275,ohc,four,109,mpfi,3.19,3.4,9,85,5250,27,34,8495
189 | 2,94,volkswagen,diesel,turbo,four,sedan,fwd,front,97.3,171.7,65.5,55.7,2319,ohc,four,97,idi,3.01,3.4,23,68,4500,37,42,9495
190 | 2,94,volkswagen,gas,std,four,sedan,fwd,front,97.3,171.7,65.5,55.7,2300,ohc,four,109,mpfi,3.19,3.4,10,100,5500,26,32,9995
191 | 3,?,volkswagen,gas,std,two,convertible,fwd,front,94.5,159.3,64.2,55.6,2254,ohc,four,109,mpfi,3.19,3.4,8.5,90,5500,24,29,11595
192 | 3,256,volkswagen,gas,std,two,hatchback,fwd,front,94.5,165.7,64,51.4,2221,ohc,four,109,mpfi,3.19,3.4,8.5,90,5500,24,29,9980
193 | 0,?,volkswagen,gas,std,four,sedan,fwd,front,100.4,180.2,66.9,55.1,2661,ohc,five,136,mpfi,3.19,3.4,8.5,110,5500,19,24,13295
194 | 0,?,volkswagen,diesel,turbo,four,sedan,fwd,front,100.4,180.2,66.9,55.1,2579,ohc,four,97,idi,3.01,3.4,23,68,4500,33,38,13845
195 | 0,?,volkswagen,gas,std,four,wagon,fwd,front,100.4,183.1,66.9,55.1,2563,ohc,four,109,mpfi,3.19,3.4,9,88,5500,25,31,12290
196 | -2,103,volvo,gas,std,four,sedan,rwd,front,104.3,188.8,67.2,56.2,2912,ohc,four,141,mpfi,3.78,3.15,9.5,114,5400,23,28,12940
197 | -1,74,volvo,gas,std,four,wagon,rwd,front,104.3,188.8,67.2,57.5,3034,ohc,four,141,mpfi,3.78,3.15,9.5,114,5400,23,28,13415
198 | -2,103,volvo,gas,std,four,sedan,rwd,front,104.3,188.8,67.2,56.2,2935,ohc,four,141,mpfi,3.78,3.15,9.5,114,5400,24,28,15985
199 | -1,74,volvo,gas,std,four,wagon,rwd,front,104.3,188.8,67.2,57.5,3042,ohc,four,141,mpfi,3.78,3.15,9.5,114,5400,24,28,16515
200 | -2,103,volvo,gas,turbo,four,sedan,rwd,front,104.3,188.8,67.2,56.2,3045,ohc,four,130,mpfi,3.62,3.15,7.5,162,5100,17,22,18420
201 | -1,74,volvo,gas,turbo,four,wagon,rwd,front,104.3,188.8,67.2,57.5,3157,ohc,four,130,mpfi,3.62,3.15,7.5,162,5100,17,22,18950
202 | -1,95,volvo,gas,std,four,sedan,rwd,front,109.1,188.8,68.9,55.5,2952,ohc,four,141,mpfi,3.78,3.15,9.5,114,5400,23,28,16845
203 | -1,95,volvo,gas,turbo,four,sedan,rwd,front,109.1,188.8,68.8,55.5,3049,ohc,four,141,mpfi,3.78,3.15,8.7,160,5300,19,25,19045
204 | -1,95,volvo,gas,std,four,sedan,rwd,front,109.1,188.8,68.9,55.5,3012,ohcv,six,173,mpfi,3.58,2.87,8.8,134,5500,18,23,21485
205 | -1,95,volvo,diesel,turbo,four,sedan,rwd,front,109.1,188.8,68.9,55.5,3217,ohc,six,145,idi,3.01,3.4,23,106,4800,26,27,22470
206 | -1,95,volvo,gas,turbo,four,sedan,rwd,front,109.1,188.8,68.9,55.5,3062,ohc,four,141,mpfi,3.78,3.15,9.5,114,5400,19,25,22625
207 |
--------------------------------------------------------------------------------
/Data/Real_Estate_DataSet.csv:
--------------------------------------------------------------------------------
1 | CRIM,ZN,INDUS,CHAS,NOX,RM,AGE,DIS,RAD,TAX,PTRATIO,B,LSTAT,MEDV
2 | 0.00632,18,2.31,0,0.538,6.575,65.2,4.09,1,296,15.3,396.9,4.98,24
3 | 0.02731,0,7.07,0,0.469,6.421,78.9,4.9671,2,242,17.8,396.9,9.14,21.6
4 | 0.02729,0,7.07,0,0.469,7.185,61.1,4.9671,2,242,17.8,392.83,4.03,34.7
5 | 0.03237,0,2.18,0,0.458,6.998,45.8,6.0622,3,222,18.7,394.63,2.94,33.4
6 | 0.06905,0,2.18,0,0.458,7.147,54.2,6.0622,3,222,18.7,396.9,5.33,36.2
7 | 0.02985,0,2.18,0,0.458,6.43,58.7,6.0622,3,222,18.7,394.12,5.21,28.7
8 | 0.08829,12.5,7.87,0,0.524,6.012,66.6,5.5605,5,311,15.2,395.6,12.43,22.9
9 | 0.14455,12.5,7.87,0,0.524,6.172,96.1,5.9505,5,311,15.2,396.9,19.15,27.1
10 | 0.21124,12.5,7.87,0,0.524,5.631,100,6.0821,5,311,15.2,386.63,29.93,16.5
11 | 0.17004,12.5,7.87,0,0.524,6.004,85.9,6.5921,5,311,15.2,386.71,17.1,18.9
12 | 0.22489,12.5,7.87,0,0.524,,94.3,6.3467,5,311,15.2,392.52,20.45,15
13 | 0.11747,12.5,7.87,0,0.524,6.009,82.9,6.2267,5,311,15.2,396.9,13.27,18.9
14 | 0.09378,12.5,7.87,0,0.524,5.889,39,5.4509,5,311,15.2,390.5,15.71,21.7
15 | 0.62976,0,8.14,0,0.538,5.949,61.8,4.7075,4,307,21,396.9,8.26,20.4
16 | 0.63796,0,8.14,0,0.538,6.096,84.5,4.4619,4,307,21,380.02,10.26,18.2
17 | 0.62739,0,8.14,0,0.538,5.834,56.5,4.4986,4,307,21,395.62,8.47,19.9
18 | 1.05393,0,8.14,0,0.538,5.935,29.3,4.4986,4,307,21,386.85,6.58,23.1
19 | 0.7842,0,8.14,0,0.538,5.99,81.7,4.2579,4,307,21,386.75,14.67,17.5
20 | 0.80271,0,8.14,0,0.538,5.456,36.6,3.7965,4,307,21,288.99,11.69,20.2
21 | 0.7258,0,8.14,0,0.538,5.727,69.5,3.7965,4,307,21,390.95,11.28,18.2
22 | 1.25179,0,8.14,0,0.538,5.57,98.1,3.7979,4,307,21,376.57,21.02,13.6
23 | 0.85204,0,8.14,0,0.538,5.965,89.2,4.0123,4,307,21,392.53,13.83,19.6
24 | 1.23247,0,8.14,0,0.538,6.142,91.7,3.9769,4,307,21,396.9,18.72,15.2
25 | 0.98843,0,8.14,0,0.538,5.813,100,4.0952,4,307,21,394.54,19.88,14.5
26 | 0.75026,0,8.14,0,0.538,5.924,94.1,4.3996,4,307,21,394.33,16.3,15.6
27 | 0.84054,0,8.14,0,0.538,5.599,85.7,4.4546,4,307,21,303.42,16.51,13.9
28 | 0.67191,0,8.14,0,0.538,5.813,90.3,4.682,4,307,21,376.88,14.81,16.6
29 | 0.95577,0,8.14,0,0.538,6.047,88.8,4.4534,4,307,21,306.38,17.28,14.8
30 | 0.77299,0,8.14,0,0.538,6.495,94.4,4.4547,4,307,21,387.94,12.8,18.4
31 | 1.00245,0,8.14,0,0.538,6.674,87.3,4.239,4,307,21,380.23,11.98,21
32 | 1.13081,0,8.14,0,0.538,5.713,94.1,4.233,4,307,21,360.17,22.6,12.7
33 | 1.35472,0,8.14,0,0.538,6.072,100,4.175,4,307,21,376.73,13.04,14.5
34 | 1.38799,0,8.14,0,0.538,5.95,82,3.99,4,307,21,232.6,27.71,13.2
35 | 1.15172,0,8.14,0,0.538,5.701,95,3.7872,4,307,21,358.77,18.35,13.1
36 | 1.61282,0,8.14,0,0.538,6.096,96.9,3.7598,4,307,21,248.31,20.34,13.5
37 | 0.06417,0,5.96,0,0.499,,68.2,3.3603,5,279,19.2,396.9,9.68,18.9
38 | 0.09744,0,5.96,0,0.499,5.841,61.4,3.3779,5,279,19.2,377.56,11.41,20
39 | 0.08014,0,5.96,0,0.499,5.85,41.5,3.9342,5,279,19.2,396.9,8.77,21
40 | 0.17505,0,5.96,0,0.499,5.966,30.2,3.8473,5,279,19.2,393.43,10.13,24.7
41 | 0.02763,75,2.95,0,0.428,6.595,21.8,5.4011,3,252,18.3,395.63,4.32,30.8
42 | 0.03359,75,2.95,0,0.428,7.024,15.8,5.4011,3,252,18.3,395.62,1.98,34.9
43 | 0.12744,0,6.91,0,0.448,6.77,2.9,5.7209,3,233,17.9,385.41,4.84,26.6
44 | 0.1415,0,6.91,0,0.448,6.169,6.6,5.7209,3,233,17.9,383.37,5.81,25.3
45 | 0.15936,0,6.91,0,0.448,6.211,6.5,5.7209,3,233,17.9,394.46,7.44,24.7
46 | 0.12269,0,6.91,0,0.448,6.069,40,5.7209,3,233,17.9,389.39,9.55,21.2
47 | 0.17142,0,6.91,0,0.448,5.682,33.8,5.1004,3,233,17.9,396.9,10.21,19.3
48 | 0.18836,0,6.91,0,0.448,5.786,33.3,5.1004,3,233,17.9,396.9,14.15,20
49 | 0.22927,0,6.91,0,0.448,6.03,85.5,5.6894,3,233,17.9,392.74,18.8,16.6
50 | 0.25387,0,6.91,0,0.448,5.399,95.3,5.87,3,233,17.9,396.9,30.81,14.4
51 | 0.21977,0,6.91,0,0.448,5.602,62,6.0877,3,233,17.9,396.9,16.2,19.4
52 | 0.08873,21,5.64,0,0.439,5.963,45.7,6.8147,4,243,16.8,395.56,13.45,19.7
53 | 0.04337,21,5.64,0,0.439,6.115,63,6.8147,4,243,16.8,393.97,9.43,20.5
54 | 0.0536,21,5.64,0,0.439,6.511,21.1,6.8147,4,243,16.8,396.9,5.28,25
55 | 0.04981,21,5.64,0,0.439,5.998,21.4,6.8147,4,243,16.8,396.9,8.43,23.4
56 | 0.0136,75,4,0,0.41,5.888,47.6,7.3197,3,469,21.1,396.9,14.8,18.9
57 | 0.01311,90,1.22,0,0.403,7.249,21.9,8.6966,5,226,17.9,395.93,4.81,35.4
58 | 0.02055,85,0.74,0,0.41,6.383,35.7,9.1876,2,313,17.3,396.9,5.77,24.7
59 | 0.01432,100,1.32,0,0.411,6.816,40.5,8.3248,5,256,15.1,392.9,3.95,31.6
60 | 0.15445,25,5.13,0,0.453,6.145,29.2,7.8148,8,284,19.7,390.68,6.86,23.3
61 | 0.10328,25,5.13,0,0.453,5.927,47.2,6.932,8,284,19.7,396.9,9.22,19.6
62 | 0.14932,25,5.13,0,0.453,5.741,66.2,7.2254,8,284,19.7,395.11,13.15,18.7
63 | 0.17171,25,5.13,0,0.453,5.966,93.4,6.8185,8,284,19.7,378.08,14.44,16
64 | 0.11027,25,5.13,0,0.453,6.456,67.8,7.2255,8,284,19.7,396.9,6.73,22.2
65 | 0.1265,25,5.13,0,0.453,,43.4,7.9809,8,284,19.7,395.58,9.5,25
66 | 0.01951,17.5,1.38,0,0.4161,7.104,59.5,9.2229,3,216,18.6,393.24,8.05,33
67 | 0.03584,80,3.37,0,0.398,6.29,17.8,6.6115,4,337,16.1,396.9,4.67,23.5
68 | 0.04379,80,3.37,0,0.398,5.787,31.1,6.6115,4,337,16.1,396.9,10.24,19.4
69 | 0.05789,12.5,6.07,0,0.409,5.878,21.4,6.498,4,345,18.9,396.21,8.1,22
70 | 0.13554,12.5,6.07,0,0.409,5.594,36.8,6.498,4,345,18.9,396.9,13.09,17.4
71 | 0.12816,12.5,6.07,0,0.409,5.885,33,6.498,4,345,18.9,396.9,8.79,20.9
72 | 0.08826,0,10.81,0,0.413,6.417,6.6,5.2873,4,305,19.2,383.73,6.72,24.2
73 | 0.15876,0,10.81,0,0.413,5.961,17.5,5.2873,4,305,19.2,376.94,9.88,21.7
74 | 0.09164,0,10.81,0,0.413,6.065,7.8,5.2873,4,305,19.2,390.91,5.52,22.8
75 | 0.19539,0,10.81,0,0.413,6.245,6.2,5.2873,4,305,19.2,377.17,7.54,23.4
76 | 0.07896,0,12.83,0,0.437,6.273,6,4.2515,5,398,18.7,394.92,6.78,24.1
77 | 0.09512,0,12.83,0,0.437,6.286,45,4.5026,5,398,18.7,383.23,8.94,21.4
78 | 0.10153,0,12.83,0,0.437,6.279,74.5,4.0522,5,398,18.7,373.66,11.97,20
79 | 0.08707,0,12.83,0,0.437,6.14,45.8,4.0905,5,398,18.7,386.96,10.27,20.8
80 | 0.05646,0,12.83,0,0.437,6.232,53.7,5.0141,5,398,18.7,386.4,12.34,21.2
81 | 0.08387,0,12.83,0,0.437,5.874,36.6,4.5026,5,398,18.7,396.06,9.1,20.3
82 | 0.04113,25,4.86,0,0.426,6.727,33.5,5.4007,4,281,19,396.9,5.29,28
83 | 0.04462,25,4.86,0,0.426,6.619,70.4,5.4007,4,281,19,395.63,7.22,23.9
84 | 0.03659,25,4.86,0,0.426,6.302,32.2,5.4007,4,281,19,396.9,6.72,24.8
85 | 0.03551,25,4.86,0,0.426,6.167,46.7,5.4007,4,281,19,390.64,7.51,22.9
86 | 0.05059,0,4.49,0,0.449,6.389,48,4.7794,3,247,18.5,396.9,9.62,23.9
87 | 0.05735,0,4.49,0,0.449,6.63,56.1,4.4377,3,247,18.5,392.3,6.53,26.6
88 | 0.05188,0,4.49,0,0.449,6.015,45.1,4.4272,3,247,18.5,395.99,12.86,22.5
89 | 0.07151,0,4.49,0,0.449,6.121,56.8,3.7476,3,247,18.5,395.15,8.44,22.2
90 | 0.0566,0,3.41,0,0.489,7.007,86.3,3.4217,2,270,17.8,396.9,5.5,23.6
91 | 0.05302,0,3.41,0,0.489,7.079,63.1,3.4145,2,270,17.8,396.06,5.7,28.7
92 | 0.04684,0,3.41,0,0.489,6.417,66.1,3.0923,2,270,17.8,392.18,8.81,22.6
93 | 0.03932,0,3.41,0,0.489,6.405,73.9,3.0921,2,270,17.8,393.55,8.2,22
94 | 0.04203,28,15.04,0,0.464,6.442,53.6,3.6659,4,270,18.2,395.01,8.16,22.9
95 | 0.02875,28,15.04,0,0.464,6.211,28.9,3.6659,4,270,18.2,396.33,6.21,25
96 | 0.04294,28,15.04,0,0.464,6.249,77.3,3.615,4,270,18.2,396.9,10.59,20.6
97 | 0.12204,0,2.89,0,0.445,6.625,57.8,3.4952,2,276,18,357.98,6.65,28.4
98 | 0.11504,0,2.89,0,0.445,,69.6,3.4952,2,276,18,391.83,11.34,21.4
99 | 0.12083,0,2.89,0,0.445,8.069,76,3.4952,2,276,18,396.9,4.21,38.7
100 | 0.08187,0,2.89,0,0.445,7.82,36.9,3.4952,2,276,18,393.53,3.57,43.8
101 | 0.0686,0,2.89,0,0.445,7.416,62.5,3.4952,2,276,18,396.9,6.19,33.2
102 | 0.14866,0,8.56,0,0.52,6.727,79.9,2.7778,5,384,20.9,394.76,9.42,27.5
103 | 0.11432,0,8.56,0,0.52,6.781,71.3,2.8561,5,384,20.9,395.58,7.67,26.5
104 | 0.22876,0,8.56,0,0.52,6.405,85.4,2.7147,5,384,20.9,70.8,10.63,18.6
105 | 0.21161,0,8.56,0,0.52,6.137,87.4,2.7147,5,384,20.9,394.47,13.44,19.3
106 | 0.1396,0,8.56,0,0.52,6.167,90,2.421,5,384,20.9,392.69,12.33,20.1
107 | 0.13262,0,8.56,0,0.52,5.851,96.7,2.1069,5,384,20.9,394.05,16.47,19.5
108 | 0.1712,0,8.56,0,0.52,5.836,91.9,2.211,5,384,20.9,395.67,18.66,19.5
109 | 0.13117,0,8.56,0,0.52,6.127,85.2,2.1224,5,384,20.9,387.69,14.09,20.4
110 | 0.12802,0,8.56,0,0.52,6.474,97.1,2.4329,5,384,20.9,395.24,12.27,19.8
111 | 0.26363,0,8.56,0,0.52,6.229,91.2,2.5451,5,384,20.9,391.23,15.55,19.4
112 | 0.10793,0,8.56,0,0.52,6.195,54.4,2.7778,5,384,20.9,393.49,13,21.7
113 | 0.10084,0,10.01,0,0.547,6.715,81.6,2.6775,6,432,17.8,395.59,10.16,22.8
114 | 0.12329,0,10.01,0,0.547,5.913,92.9,2.3534,6,432,17.8,394.95,16.21,18.8
115 | 0.22212,0,10.01,0,0.547,6.092,95.4,2.548,6,432,17.8,396.9,17.09,18.7
116 | 0.14231,0,10.01,0,0.547,6.254,84.2,2.2565,6,432,17.8,388.74,10.45,18.5
117 | 0.17134,0,10.01,0,0.547,5.928,88.2,2.4631,6,432,17.8,344.91,15.76,18.3
118 | 0.13158,0,10.01,0,0.547,6.176,72.5,2.7301,6,432,17.8,393.3,12.04,21.2
119 | 0.15098,0,10.01,0,0.547,6.021,82.6,2.7474,6,432,17.8,394.51,10.3,19.2
120 | 0.13058,0,10.01,0,0.547,5.872,73.1,2.4775,6,432,17.8,338.63,15.37,20.4
121 | 0.14476,0,10.01,0,0.547,5.731,65.2,2.7592,6,432,17.8,391.5,13.61,19.3
122 | 0.06899,0,25.65,0,0.581,5.87,69.7,2.2577,2,188,19.1,389.15,14.37,22
123 | 0.07165,0,25.65,0,0.581,6.004,84.1,2.1974,2,188,19.1,377.67,14.27,20.3
124 | 0.09299,0,25.65,0,0.581,5.961,92.9,2.0869,2,188,19.1,378.09,17.93,20.5
125 | 0.15038,0,25.65,0,0.581,5.856,97,1.9444,2,188,19.1,370.31,25.41,17.3
126 | 0.09849,0,25.65,0,0.581,5.879,95.8,2.0063,2,188,19.1,379.38,17.58,18.8
127 | 0.16902,0,25.65,0,0.581,5.986,88.4,1.9929,2,188,19.1,385.02,14.81,21.4
128 | 0.38735,0,25.65,0,0.581,5.613,95.6,1.7572,2,188,19.1,359.29,27.26,15.7
129 | 0.25915,0,21.89,0,0.624,5.693,96,1.7883,4,437,21.2,392.11,17.19,16.2
130 | 0.32543,0,21.89,0,0.624,6.431,98.8,1.8125,4,437,21.2,396.9,15.39,18
131 | 0.88125,0,21.89,0,0.624,5.637,94.7,1.9799,4,437,21.2,396.9,18.34,14.3
132 | 0.34006,0,21.89,0,0.624,6.458,98.9,2.1185,4,437,21.2,395.04,12.6,19.2
133 | 1.19294,0,21.89,0,0.624,6.326,97.7,2.271,4,437,21.2,396.9,12.26,19.6
134 | 0.59005,0,21.89,0,0.624,6.372,97.9,2.3274,4,437,21.2,385.76,11.12,23
135 | 0.32982,0,21.89,0,0.624,5.822,95.4,2.4699,4,437,21.2,388.69,15.03,18.4
136 | 0.97617,0,21.89,0,0.624,5.757,98.4,2.346,4,437,21.2,262.76,17.31,15.6
137 | 0.55778,0,21.89,0,0.624,,98.2,2.1107,4,437,21.2,394.67,16.96,18.1
138 | 0.32264,0,21.89,0,0.624,5.942,93.5,1.9669,4,437,21.2,378.25,16.9,17.4
139 | 0.35233,0,21.89,0,0.624,6.454,98.4,1.8498,4,437,21.2,394.08,14.59,17.1
140 | 0.2498,0,21.89,0,0.624,5.857,98.2,1.6686,4,437,21.2,392.04,21.32,13.3
141 | 0.54452,0,21.89,0,0.624,6.151,97.9,1.6687,4,437,21.2,396.9,18.46,17.8
142 | 0.2909,0,21.89,0,0.624,6.174,93.6,1.6119,4,437,21.2,388.08,24.16,14
143 | 1.62864,0,21.89,0,0.624,5.019,100,1.4394,4,437,21.2,396.9,34.41,14.4
144 | 3.32105,0,19.58,1,0.871,5.403,100,1.3216,5,403,14.7,396.9,26.82,13.4
145 | 4.0974,0,19.58,0,0.871,5.468,100,1.4118,5,403,14.7,396.9,26.42,15.6
146 | 2.77974,0,19.58,0,0.871,4.903,97.8,1.3459,5,403,14.7,396.9,29.29,11.8
147 | 2.37934,0,19.58,0,0.871,6.13,100,1.4191,5,403,14.7,172.91,27.8,13.8
148 | 2.15505,0,19.58,0,0.871,5.628,100,1.5166,5,403,14.7,169.27,16.65,15.6
149 | 2.36862,0,19.58,0,0.871,4.926,95.7,1.4608,5,403,14.7,391.71,29.53,14.6
150 | 2.33099,0,19.58,0,0.871,5.186,93.8,1.5296,5,403,14.7,356.99,28.32,17.8
151 | 2.73397,0,19.58,0,0.871,5.597,94.9,1.5257,5,403,14.7,351.85,21.45,15.4
152 | 1.6566,0,19.58,0,0.871,6.122,97.3,1.618,5,403,14.7,372.8,14.1,21.5
153 | 1.49632,0,19.58,0,0.871,5.404,100,1.5916,5,403,14.7,341.6,13.28,19.6
154 | 1.12658,0,19.58,1,0.871,5.012,88,1.6102,5,403,14.7,343.28,12.12,15.3
155 | 2.14918,0,19.58,0,0.871,5.709,98.5,1.6232,5,403,14.7,261.95,15.79,19.4
156 | 1.41385,0,19.58,1,0.871,6.129,96,1.7494,5,403,14.7,321.02,15.12,17
157 | 3.53501,0,19.58,1,0.871,6.152,82.6,1.7455,5,403,14.7,88.01,15.02,15.6
158 | 2.44668,0,19.58,0,0.871,5.272,94,1.7364,5,403,14.7,88.63,16.14,13.1
159 | 1.22358,0,19.58,0,0.605,6.943,97.4,1.8773,5,403,14.7,363.43,4.59,41.3
160 | 1.34284,0,19.58,0,0.605,6.066,100,1.7573,5,403,14.7,353.89,6.43,24.3
161 | 1.42502,0,19.58,0,0.871,6.51,100,1.7659,5,403,14.7,364.31,7.39,23.3
162 | 1.27346,0,19.58,1,0.605,6.25,92.6,1.7984,5,403,14.7,338.92,5.5,27
163 | 1.46336,0,19.58,0,0.605,7.489,90.8,1.9709,5,403,14.7,374.43,1.73,50
164 | 1.83377,0,19.58,1,0.605,7.802,98.2,2.0407,5,403,14.7,389.61,1.92,50
165 | 1.51902,0,19.58,1,0.605,8.375,93.9,2.162,5,403,14.7,388.45,3.32,50
166 | 2.24236,0,19.58,0,0.605,5.854,91.8,2.422,5,403,14.7,395.11,11.64,22.7
167 | 2.924,0,19.58,0,0.605,6.101,93,2.2834,5,403,14.7,240.16,9.81,25
168 | 2.01019,0,19.58,0,0.605,7.929,96.2,2.0459,5,403,14.7,369.3,3.7,50
169 | 1.80028,0,19.58,0,0.605,5.877,79.2,2.4259,5,403,14.7,227.61,12.14,23.8
170 | 2.3004,0,19.58,0,0.605,6.319,96.1,2.1,5,403,14.7,297.09,11.1,23.8
171 | 2.44953,0,19.58,0,0.605,6.402,95.2,2.2625,5,403,14.7,330.04,11.32,22.3
172 | 1.20742,0,19.58,0,0.605,5.875,94.6,2.4259,5,403,14.7,292.29,14.43,17.4
173 | 2.3139,0,19.58,0,0.605,5.88,97.3,2.3887,5,403,14.7,348.13,12.03,19.1
174 | 0.13914,0,4.05,0,0.51,5.572,88.5,2.5961,5,296,16.6,396.9,14.69,23.1
175 | 0.09178,0,4.05,0,0.51,6.416,84.1,2.6463,5,296,16.6,395.5,9.04,23.6
176 | 0.08447,0,4.05,0,0.51,5.859,68.7,2.7019,5,296,16.6,393.23,9.64,22.6
177 | 0.06664,0,4.05,0,0.51,6.546,33.1,3.1323,5,296,16.6,390.96,5.33,29.4
178 | 0.07022,0,4.05,0,0.51,6.02,47.2,3.5549,5,296,16.6,393.23,10.11,23.2
179 | 0.05425,0,4.05,0,0.51,6.315,73.4,3.3175,5,296,16.6,395.6,6.29,24.6
180 | 0.06642,0,4.05,0,0.51,6.86,74.4,2.9153,5,296,16.6,391.27,6.92,29.9
181 | 0.0578,0,2.46,0,0.488,6.98,58.4,2.829,3,193,17.8,396.9,5.04,37.2
182 | 0.06588,0,2.46,0,0.488,7.765,83.3,2.741,3,193,17.8,395.56,7.56,39.8
183 | 0.06888,0,2.46,0,0.488,6.144,62.2,2.5979,3,193,17.8,396.9,9.45,36.2
184 | 0.09103,0,2.46,0,0.488,7.155,92.2,2.7006,3,193,17.8,394.12,4.82,37.9
185 | 0.10008,0,2.46,0,0.488,6.563,95.6,2.847,3,193,17.8,396.9,5.68,32.5
186 | 0.08308,0,2.46,0,0.488,5.604,89.8,2.9879,3,193,17.8,391,13.98,26.4
187 | 0.06047,0,2.46,0,0.488,6.153,68.8,3.2797,3,193,17.8,387.11,13.15,29.6
188 | 0.05602,0,2.46,0,0.488,7.831,53.6,3.1992,3,193,17.8,392.63,4.45,50
189 | 0.07875,45,3.44,0,0.437,6.782,41.1,3.7886,5,398,15.2,393.87,6.68,32
190 | 0.12579,45,3.44,0,0.437,6.556,29.1,4.5667,5,398,15.2,382.84,4.56,29.8
191 | 0.0837,45,3.44,0,0.437,7.185,38.9,4.5667,5,398,15.2,396.9,5.39,34.9
192 | 0.09068,45,3.44,0,0.437,6.951,21.5,6.4798,5,398,15.2,377.68,5.1,37
193 | 0.06911,45,3.44,0,0.437,6.739,30.8,6.4798,5,398,15.2,389.71,4.69,30.5
194 | 0.08664,45,3.44,0,0.437,7.178,26.3,6.4798,5,398,15.2,390.49,2.87,36.4
195 | 0.02187,60,2.93,0,0.401,6.8,9.9,6.2196,1,265,15.6,393.37,5.03,31.1
196 | 0.01439,60,2.93,0,0.401,6.604,18.8,6.2196,1,265,15.6,376.7,4.38,29.1
197 | 0.01381,80,0.46,0,0.422,7.875,32,5.6484,4,255,14.4,394.23,2.97,50
198 | 0.04011,80,1.52,0,0.404,7.287,34.1,7.309,2,329,12.6,396.9,4.08,33.3
199 | 0.04666,80,1.52,0,0.404,7.107,36.6,7.309,2,329,12.6,354.31,8.61,30.3
200 | 0.03768,80,1.52,0,0.404,7.274,38.3,7.309,2,329,12.6,392.2,6.62,34.6
201 | 0.0315,95,1.47,0,0.403,6.975,15.3,7.6534,3,402,17,396.9,4.56,34.9
202 | 0.01778,95,1.47,0,0.403,7.135,13.9,7.6534,3,402,17,384.3,4.45,32.9
203 | 0.03445,82.5,2.03,0,0.415,6.162,38.4,6.27,2,348,14.7,393.77,7.43,24.1
204 | 0.02177,82.5,2.03,0,0.415,7.61,15.7,6.27,2,348,14.7,395.38,3.11,42.3
205 | 0.0351,95,2.68,0,0.4161,7.853,33.2,5.118,4,224,14.7,392.78,3.81,48.5
206 | 0.02009,95,2.68,0,0.4161,8.034,31.9,5.118,4,224,14.7,390.55,2.88,50
207 | 0.13642,0,10.59,0,0.489,5.891,22.3,3.9454,4,277,18.6,396.9,10.87,22.6
208 | 0.22969,0,10.59,0,0.489,6.326,52.5,4.3549,4,277,18.6,394.87,10.97,24.4
209 | 0.25199,0,10.59,0,0.489,5.783,72.7,4.3549,4,277,18.6,389.43,18.06,22.5
210 | 0.13587,0,10.59,1,0.489,6.064,59.1,4.2392,4,277,18.6,381.32,14.66,24.4
211 | 0.43571,0,10.59,1,0.489,5.344,100,3.875,4,277,18.6,396.9,23.09,20
212 | 0.17446,0,10.59,1,0.489,5.96,92.1,3.8771,4,277,18.6,393.25,17.27,21.7
213 | 0.37578,0,10.59,1,0.489,5.404,88.6,3.665,4,277,18.6,395.24,23.98,19.3
214 | 0.21719,0,10.59,1,0.489,5.807,53.8,3.6526,4,277,18.6,390.94,16.03,22.4
215 | 0.14052,0,10.59,0,0.489,6.375,32.3,3.9454,4,277,18.6,385.81,9.38,28.1
216 | 0.28955,0,10.59,0,0.489,5.412,9.8,3.5875,4,277,18.6,348.93,29.55,23.7
217 | 0.19802,0,10.59,0,0.489,6.182,42.4,3.9454,4,277,18.6,393.63,9.47,25
218 | 0.0456,0,13.89,1,0.55,5.888,56,3.1121,5,276,16.4,392.8,13.51,23.3
219 | 0.07013,0,13.89,0,0.55,6.642,85.1,3.4211,5,276,16.4,392.78,9.69,28.7
220 | 0.11069,0,13.89,1,0.55,5.951,93.8,2.8893,5,276,16.4,396.9,17.92,21.5
221 | 0.11425,0,13.89,1,0.55,6.373,92.4,3.3633,5,276,16.4,393.74,10.5,23
222 | 0.35809,0,6.2,1,0.507,6.951,88.5,2.8617,8,307,17.4,391.7,9.71,26.7
223 | 0.40771,0,6.2,1,0.507,6.164,91.3,3.048,8,307,17.4,395.24,21.46,21.7
224 | 0.62356,0,6.2,1,0.507,6.879,77.7,3.2721,8,307,17.4,390.39,9.93,27.5
225 | 0.6147,0,6.2,0,0.507,6.618,80.8,3.2721,8,307,17.4,396.9,7.6,30.1
226 | 0.31533,0,6.2,0,0.504,8.266,78.3,2.8944,8,307,17.4,385.05,4.14,44.8
227 | 0.52693,0,6.2,0,0.504,8.725,83,2.8944,8,307,17.4,382,4.63,50
228 | 0.38214,0,6.2,0,0.504,8.04,86.5,3.2157,8,307,17.4,387.38,3.13,37.6
229 | 0.41238,0,6.2,0,0.504,7.163,79.9,3.2157,8,307,17.4,372.08,6.36,31.6
230 | 0.29819,0,6.2,0,0.504,7.686,17,3.3751,8,307,17.4,377.51,3.92,46.7
231 | 0.44178,0,6.2,0,0.504,6.552,21.4,3.3751,8,307,17.4,380.34,3.76,31.5
232 | 0.537,0,6.2,0,0.504,5.981,68.1,3.6715,8,307,17.4,378.35,11.65,24.3
233 | 0.46296,0,6.2,0,0.504,7.412,76.9,3.6715,8,307,17.4,376.14,5.25,31.7
234 | 0.57529,0,6.2,0,0.507,8.337,73.3,3.8384,8,307,17.4,385.91,2.47,41.7
235 | 0.33147,0,6.2,0,0.507,8.247,70.4,3.6519,8,307,17.4,378.95,3.95,48.3
236 | 0.44791,0,6.2,1,0.507,6.726,66.5,3.6519,8,307,17.4,360.2,8.05,29
237 | 0.33045,0,6.2,0,0.507,6.086,61.5,3.6519,8,307,17.4,376.75,10.88,24
238 | 0.52058,0,6.2,1,0.507,6.631,76.5,4.148,8,307,17.4,388.45,9.54,25.1
239 | 0.51183,0,6.2,0,0.507,7.358,71.6,4.148,8,307,17.4,390.07,4.73,31.5
240 | 0.08244,30,4.93,0,0.428,6.481,18.5,6.1899,6,300,16.6,379.41,6.36,23.7
241 | 0.09252,30,4.93,0,0.428,6.606,42.2,6.1899,6,300,16.6,383.78,7.37,23.3
242 | 0.11329,30,4.93,0,0.428,6.897,54.3,6.3361,6,300,16.6,391.25,11.38,22
243 | 0.10612,30,4.93,0,0.428,6.095,65.1,6.3361,6,300,16.6,394.62,12.4,20.1
244 | 0.1029,30,4.93,0,0.428,6.358,52.9,7.0355,6,300,16.6,372.75,11.22,22.2
245 | 0.12757,30,4.93,0,0.428,6.393,7.8,7.0355,6,300,16.6,374.71,5.19,23.7
246 | 0.20608,22,5.86,0,0.431,5.593,76.5,7.9549,7,330,19.1,372.49,12.5,17.6
247 | 0.19133,22,5.86,0,0.431,5.605,70.2,7.9549,7,330,19.1,389.13,18.46,18.5
248 | 0.33983,22,5.86,0,0.431,6.108,34.9,8.0555,7,330,19.1,390.18,9.16,24.3
249 | 0.19657,22,5.86,0,0.431,6.226,79.2,8.0555,7,330,19.1,376.14,10.15,20.5
250 | 0.16439,22,5.86,0,0.431,6.433,49.1,7.8265,7,330,19.1,374.71,9.52,24.5
251 | 0.19073,22,5.86,0,0.431,6.718,17.5,7.8265,7,330,19.1,393.74,6.56,26.2
252 | 0.1403,22,5.86,0,0.431,6.487,13,7.3967,7,330,19.1,396.28,5.9,24.4
253 | 0.21409,22,5.86,0,0.431,6.438,8.9,7.3967,7,330,19.1,377.07,3.59,24.8
254 | 0.08221,22,5.86,0,0.431,6.957,6.8,8.9067,7,330,19.1,386.09,3.53,29.6
255 | 0.36894,22,5.86,0,0.431,8.259,8.4,8.9067,7,330,19.1,396.9,3.54,42.8
256 | 0.04819,80,3.64,0,0.392,6.108,32,9.2203,1,315,16.4,392.89,6.57,21.9
257 | 0.03548,80,3.64,0,0.392,5.876,19.1,9.2203,1,315,16.4,395.18,9.25,20.9
258 | 0.01538,90,3.75,0,0.394,7.454,34.2,6.3361,3,244,15.9,386.34,3.11,44
259 | 0.61154,20,3.97,0,0.647,8.704,86.9,1.801,5,264,13,389.7,5.12,50
260 | 0.66351,20,3.97,0,0.647,7.333,100,1.8946,5,264,13,383.29,7.79,36
261 | 0.65665,20,3.97,0,0.647,6.842,100,2.0107,5,264,13,391.93,6.9,30.1
262 | 0.54011,20,3.97,0,0.647,7.203,81.8,2.1121,5,264,13,392.8,9.59,33.8
263 | 0.53412,20,3.97,0,0.647,7.52,89.4,2.1398,5,264,13,388.37,7.26,43.1
264 | 0.52014,20,3.97,0,0.647,8.398,91.5,2.2885,5,264,13,386.86,5.91,48.8
265 | 0.82526,20,3.97,0,0.647,7.327,94.5,2.0788,5,264,13,393.42,11.25,31
266 | 0.55007,20,3.97,0,0.647,7.206,91.6,1.9301,5,264,13,387.89,8.1,36.5
267 | 0.76162,20,3.97,0,0.647,5.56,62.8,1.9865,5,264,13,392.4,10.45,22.8
268 | 0.7857,20,3.97,0,0.647,7.014,84.6,2.1329,5,264,13,384.07,14.79,30.7
269 | 0.57834,20,3.97,0,0.575,8.297,67,2.4216,5,264,13,384.54,7.44,50
270 | 0.5405,20,3.97,0,0.575,7.47,52.6,2.872,5,264,13,390.3,3.16,43.5
271 | 0.09065,20,6.96,1,0.464,5.92,61.5,3.9175,3,223,18.6,391.34,13.65,20.7
272 | 0.29916,20,6.96,0,0.464,5.856,42.1,4.429,3,223,18.6,388.65,13,21.1
273 | 0.16211,20,6.96,0,0.464,6.24,16.3,4.429,3,223,18.6,396.9,6.59,25.2
274 | 0.1146,20,6.96,0,0.464,6.538,58.7,3.9175,3,223,18.6,394.96,7.73,24.4
275 | 0.22188,20,6.96,1,0.464,7.691,51.8,4.3665,3,223,18.6,390.77,6.58,35.2
276 | 0.05644,40,6.41,1,0.447,6.758,32.9,4.0776,4,254,17.6,396.9,3.53,32.4
277 | 0.09604,40,6.41,0,0.447,6.854,42.8,4.2673,4,254,17.6,396.9,2.98,32
278 | 0.10469,40,6.41,1,0.447,7.267,49,4.7872,4,254,17.6,389.25,6.05,33.2
279 | 0.06127,40,6.41,1,0.447,6.826,27.6,4.8628,4,254,17.6,393.45,4.16,33.1
280 | 0.07978,40,6.41,0,0.447,6.482,32.1,4.1403,4,254,17.6,396.9,7.19,29.1
281 | 0.21038,20,3.33,0,0.4429,6.812,32.2,4.1007,5,216,14.9,396.9,4.85,35.1
282 | 0.03578,20,3.33,0,0.4429,7.82,64.5,4.6947,5,216,14.9,387.31,3.76,45.4
283 | 0.03705,20,3.33,0,0.4429,6.968,37.2,5.2447,5,216,14.9,392.23,4.59,35.4
284 | 0.06129,20,3.33,1,0.4429,7.645,49.7,5.2119,5,216,14.9,377.07,3.01,46
285 | 0.01501,90,1.21,1,0.401,7.923,24.8,5.885,1,198,13.6,395.52,3.16,50
286 | 0.00906,90,2.97,0,0.4,7.088,20.8,7.3073,1,285,15.3,394.72,7.85,32.2
287 | 0.01096,55,2.25,0,0.389,6.453,31.9,7.3073,1,300,15.3,394.72,8.23,22
288 | 0.01965,80,1.76,0,0.385,6.23,31.5,9.0892,1,241,18.2,341.6,12.93,20.1
289 | 0.03871,52.5,5.32,0,0.405,6.209,31.3,7.3172,6,293,16.6,396.9,7.14,23.2
290 | 0.0459,52.5,5.32,0,0.405,6.315,45.6,7.3172,6,293,16.6,396.9,7.6,22.3
291 | 0.04297,52.5,5.32,0,0.405,6.565,22.9,7.3172,6,293,16.6,371.72,9.51,24.8
292 | 0.03502,80,4.95,0,0.411,6.861,27.9,5.1167,4,245,19.2,396.9,3.33,28.5
293 | 0.07886,80,4.95,0,0.411,7.148,27.7,5.1167,4,245,19.2,396.9,3.56,37.3
294 | 0.03615,80,4.95,0,0.411,6.63,23.4,5.1167,4,245,19.2,396.9,4.7,27.9
295 | 0.08265,0,13.92,0,0.437,6.127,18.4,5.5027,4,289,16,396.9,8.58,23.9
296 | 0.08199,0,13.92,0,0.437,6.009,42.3,5.5027,4,289,16,396.9,10.4,21.7
297 | 0.12932,0,13.92,0,0.437,6.678,31.1,5.9604,4,289,16,396.9,6.27,28.6
298 | 0.05372,0,13.92,0,0.437,6.549,51,5.9604,4,289,16,392.85,7.39,27.1
299 | 0.14103,0,13.92,0,0.437,5.79,58,6.32,4,289,16,396.9,15.84,20.3
300 | 0.06466,70,2.24,0,0.4,6.345,20.1,7.8278,5,358,14.8,368.24,4.97,22.5
301 | 0.05561,70,2.24,0,0.4,7.041,10,7.8278,5,358,14.8,371.58,4.74,29
302 | 0.04417,70,2.24,0,0.4,6.871,47.4,7.8278,5,358,14.8,390.86,6.07,24.8
303 | 0.03537,34,6.09,0,0.433,6.59,40.4,5.4917,7,329,16.1,395.75,9.5,22
304 | 0.09266,34,6.09,0,0.433,6.495,18.4,5.4917,7,329,16.1,383.61,8.67,26.4
305 | 0.1,34,6.09,0,0.433,6.982,17.7,5.4917,7,329,16.1,390.43,4.86,33.1
306 | 0.05515,33,2.18,0,0.472,7.236,41.1,4.022,7,222,18.4,393.68,6.93,36.1
307 | 0.05479,33,2.18,0,0.472,6.616,58.1,3.37,7,222,18.4,393.36,8.93,28.4
308 | 0.07503,33,2.18,0,0.472,7.42,71.9,3.0992,7,222,18.4,396.9,6.47,33.4
309 | 0.04932,33,2.18,0,0.472,6.849,70.3,3.1827,7,222,18.4,396.9,7.53,28.2
310 | 0.49298,0,9.9,0,0.544,6.635,82.5,3.3175,4,304,18.4,396.9,4.54,22.8
311 | 0.3494,0,9.9,0,0.544,5.972,76.7,3.1025,4,304,18.4,396.24,9.97,20.3
312 | 2.63548,0,9.9,0,0.544,4.973,37.8,2.5194,4,304,18.4,350.45,12.64,16.1
313 | 0.79041,0,9.9,0,0.544,6.122,52.8,2.6403,4,304,18.4,396.9,5.98,22.1
314 | 0.26169,0,9.9,0,0.544,6.023,90.4,2.834,4,304,18.4,396.3,11.72,19.4
315 | 0.26938,0,9.9,0,0.544,6.266,82.8,3.2628,4,304,18.4,393.39,7.9,21.6
316 | 0.3692,0,9.9,0,0.544,6.567,87.3,3.6023,4,304,18.4,395.69,9.28,23.8
317 | 0.25356,0,9.9,0,0.544,5.705,77.7,3.945,4,304,18.4,396.42,11.5,16.2
318 | 0.31827,0,9.9,0,0.544,5.914,83.2,3.9986,4,304,18.4,390.7,18.33,17.8
319 | 0.24522,0,9.9,0,0.544,5.782,71.7,4.0317,4,304,18.4,396.9,15.94,19.8
320 | 0.40202,0,9.9,0,0.544,6.382,67.2,3.5325,4,304,18.4,395.21,10.36,23.1
321 | 0.47547,0,9.9,0,0.544,6.113,58.8,4.0019,4,304,18.4,396.23,12.73,21
322 | 0.1676,0,7.38,0,0.493,6.426,52.3,4.5404,5,287,19.6,396.9,7.2,23.8
323 | 0.18159,0,7.38,0,0.493,6.376,54.3,4.5404,5,287,19.6,396.9,6.87,23.1
324 | 0.35114,0,7.38,0,0.493,6.041,49.9,4.7211,5,287,19.6,396.9,7.7,20.4
325 | 0.28392,0,7.38,0,0.493,5.708,74.3,4.7211,5,287,19.6,391.13,11.74,18.5
326 | 0.34109,0,7.38,0,0.493,6.415,40.1,4.7211,5,287,19.6,396.9,6.12,25
327 | 0.19186,0,7.38,0,0.493,6.431,14.7,5.4159,5,287,19.6,393.68,5.08,24.6
328 | 0.30347,0,7.38,0,0.493,6.312,28.9,5.4159,5,287,19.6,396.9,6.15,23
329 | 0.24103,0,7.38,0,0.493,6.083,43.7,5.4159,5,287,19.6,396.9,12.79,22.2
330 | 0.06617,0,3.24,0,0.46,5.868,25.8,5.2146,4,430,16.9,382.44,9.97,19.3
331 | 0.06724,0,3.24,0,0.46,6.333,17.2,5.2146,4,430,16.9,375.21,7.34,22.6
332 | 0.04544,0,3.24,0,0.46,6.144,32.2,5.8736,4,430,16.9,368.57,9.09,19.8
333 | 0.05023,35,6.06,0,0.4379,5.706,28.4,6.6407,1,304,16.9,394.02,12.43,17.1
334 | 0.03466,35,6.06,0,0.4379,6.031,23.3,6.6407,1,304,16.9,362.25,7.83,19.4
335 | 0.05083,0,5.19,0,0.515,6.316,38.1,6.4584,5,224,20.2,389.71,5.68,22.2
336 | 0.03738,0,5.19,0,0.515,6.31,38.5,6.4584,5,224,20.2,389.4,6.75,20.7
337 | 0.03961,0,5.19,0,0.515,6.037,34.5,5.9853,5,224,20.2,396.9,8.01,21.1
338 | 0.03427,0,5.19,0,0.515,5.869,46.3,5.2311,5,224,20.2,396.9,9.8,19.5
339 | 0.03041,0,5.19,0,0.515,5.895,59.6,5.615,5,224,20.2,394.81,10.56,18.5
340 | 0.03306,0,5.19,0,0.515,6.059,37.3,4.8122,5,224,20.2,396.14,8.51,20.6
341 | 0.05497,0,5.19,0,0.515,5.985,45.4,4.8122,5,224,20.2,396.9,9.74,19
342 | 0.06151,0,5.19,0,0.515,5.968,58.5,4.8122,5,224,20.2,396.9,9.29,18.7
343 | 0.01301,35,1.52,0,0.442,7.241,49.3,7.0379,1,284,15.5,394.74,5.49,32.7
344 | 0.02498,0,1.89,0,0.518,6.54,59.7,6.2669,1,422,15.9,389.96,8.65,16.5
345 | 0.02543,55,3.78,0,0.484,6.696,56.4,5.7321,5,370,17.6,396.9,7.18,23.9
346 | 0.03049,55,3.78,0,0.484,6.874,28.1,6.4654,5,370,17.6,387.97,4.61,31.2
347 | 0.03113,0,4.39,0,0.442,6.014,48.5,8.0136,3,352,18.8,385.64,10.53,17.5
348 | 0.06162,0,4.39,0,0.442,5.898,52.3,8.0136,3,352,18.8,364.61,12.67,17.2
349 | 0.0187,85,4.15,0,0.429,6.516,27.7,8.5353,4,351,17.9,392.43,6.36,23.1
350 | 0.01501,80,2.01,0,0.435,6.635,29.7,8.344,4,280,17,390.94,5.99,24.5
351 | 0.02899,40,1.25,0,0.429,6.939,34.5,8.7921,1,335,19.7,389.85,5.89,26.6
352 | 0.06211,40,1.25,0,0.429,6.49,44.4,8.7921,1,335,19.7,396.9,5.98,22.9
353 | 0.0795,60,1.69,0,0.411,6.579,35.9,10.7103,4,411,18.3,370.78,5.49,24.1
354 | 0.07244,60,1.69,0,0.411,5.884,18.5,10.7103,4,411,18.3,392.33,7.79,18.6
355 | 0.01709,90,2.02,0,0.41,6.728,36.1,12.1265,5,187,17,384.46,4.5,30.1
356 | 0.04301,80,1.91,0,0.413,5.663,21.9,10.5857,4,334,22,382.8,8.05,18.2
357 | 0.10659,80,1.91,0,0.413,5.936,19.5,10.5857,4,334,22,376.04,5.57,20.6
358 | 8.98296,0,18.1,1,0.77,6.212,97.4,2.1222,24,666,20.2,377.73,17.6,17.8
359 | 3.8497,0,18.1,1,0.77,6.395,91,2.5052,24,666,20.2,391.34,13.27,21.7
360 | 5.20177,0,18.1,1,0.77,6.127,83.4,2.7227,24,666,20.2,395.43,11.48,22.7
361 | 4.26131,0,18.1,0,0.77,6.112,81.3,2.5091,24,666,20.2,390.74,12.67,22.6
362 | 4.54192,0,18.1,0,0.77,6.398,88,2.5182,24,666,20.2,374.56,7.79,25
363 | 3.83684,0,18.1,0,0.77,6.251,91.1,2.2955,24,666,20.2,350.65,14.19,19.9
364 | 3.67822,0,18.1,0,0.77,5.362,96.2,2.1036,24,666,20.2,380.79,10.19,20.8
365 | 4.22239,0,18.1,1,0.77,5.803,89,1.9047,24,666,20.2,353.04,14.64,16.8
366 | 3.47428,0,18.1,1,0.718,8.78,82.9,1.9047,24,666,20.2,354.55,5.29,21.9
367 | 4.55587,0,18.1,0,0.718,3.561,87.9,1.6132,24,666,20.2,354.7,7.12,27.5
368 | 3.69695,0,18.1,0,0.718,4.963,91.4,1.7523,24,666,20.2,316.03,14,21.9
369 | 13.5222,0,18.1,0,0.631,3.863,100,1.5106,24,666,20.2,131.42,13.33,23.1
370 | 4.89822,0,18.1,0,0.631,4.97,100,1.3325,24,666,20.2,375.52,3.26,50
371 | 5.66998,0,18.1,1,0.631,6.683,96.8,1.3567,24,666,20.2,375.33,3.73,50
372 | 6.53876,0,18.1,1,0.631,7.016,97.5,1.2024,24,666,20.2,392.05,2.96,50
373 | 9.2323,0,18.1,0,0.631,6.216,100,1.1691,24,666,20.2,366.15,9.53,50
374 | 8.26725,0,18.1,1,0.668,5.875,89.6,1.1296,24,666,20.2,347.88,8.88,50
375 | 11.1081,0,18.1,0,0.668,4.906,100,1.1742,24,666,20.2,396.9,34.77,13.8
376 | 18.4982,0,18.1,0,0.668,4.138,100,1.137,24,666,20.2,396.9,37.97,13.8
377 | 19.6091,0,18.1,0,0.671,7.313,97.9,1.3163,24,666,20.2,396.9,13.44,15
378 | 15.288,0,18.1,0,0.671,6.649,93.3,1.3449,24,666,20.2,363.02,23.24,13.9
379 | 9.82349,0,18.1,0,0.671,6.794,98.8,1.358,24,666,20.2,396.9,21.24,13.3
380 | 23.6482,0,18.1,0,0.671,6.38,96.2,1.3861,24,666,20.2,396.9,23.69,13.1
381 | 17.8667,0,18.1,0,0.671,6.223,100,1.3861,24,666,20.2,393.74,21.78,10.2
382 | 88.9762,0,18.1,0,0.671,6.968,91.9,1.4165,24,666,20.2,396.9,17.21,10.4
383 | 15.8744,0,18.1,0,0.671,6.545,99.1,1.5192,24,666,20.2,396.9,21.08,10.9
384 | 9.18702,0,18.1,0,0.7,5.536,100,1.5804,24,666,20.2,396.9,23.6,11.3
385 | 7.99248,0,18.1,0,0.7,5.52,100,1.5331,24,666,20.2,396.9,24.56,12.3
386 | 20.0849,0,18.1,0,0.7,4.368,91.2,1.4395,24,666,20.2,285.83,30.63,8.8
387 | 16.8118,0,18.1,0,0.7,5.277,98.1,1.4261,24,666,20.2,396.9,30.81,7.2
388 | 24.3938,0,18.1,0,0.7,4.652,100,1.4672,24,666,20.2,396.9,28.28,10.5
389 | 22.5971,0,18.1,0,0.7,5,89.5,1.5184,24,666,20.2,396.9,31.99,7.4
390 | 14.3337,0,18.1,0,0.7,4.88,100,1.5895,24,666,20.2,372.92,30.62,10.2
391 | 8.15174,0,18.1,0,0.7,5.39,98.9,1.7281,24,666,20.2,396.9,20.85,11.5
392 | 6.96215,0,18.1,0,0.7,5.713,97,1.9265,24,666,20.2,394.43,17.11,15.1
393 | 5.29305,0,18.1,0,0.7,6.051,82.5,2.1678,24,666,20.2,378.38,18.76,23.2
394 | 11.5779,0,18.1,0,0.7,5.036,97,1.77,24,666,20.2,396.9,25.68,9.7
395 | 8.64476,0,18.1,0,0.693,6.193,92.6,1.7912,24,666,20.2,396.9,15.17,13.8
396 | 13.3598,0,18.1,0,0.693,5.887,94.7,1.7821,24,666,20.2,396.9,16.35,12.7
397 | 8.71675,0,18.1,0,0.693,6.471,98.8,1.7257,24,666,20.2,391.98,17.12,13.1
398 | 5.87205,0,18.1,0,0.693,6.405,96,1.6768,24,666,20.2,396.9,19.37,12.5
399 | 7.67202,0,18.1,0,0.693,5.747,98.9,1.6334,24,666,20.2,393.1,19.92,8.5
400 | 38.3518,0,18.1,0,0.693,5.453,100,1.4896,24,666,20.2,396.9,30.59,5
401 | 9.91655,0,18.1,0,0.693,5.852,77.8,1.5004,24,666,20.2,338.16,29.97,6.3
402 | 25.0461,0,18.1,0,0.693,5.987,100,1.5888,24,666,20.2,396.9,26.77,5.6
403 | 14.2362,0,18.1,0,0.693,6.343,100,1.5741,24,666,20.2,396.9,20.32,7.2
404 | 9.59571,0,18.1,0,0.693,6.404,100,1.639,24,666,20.2,376.11,20.31,12.1
405 | 24.8017,0,18.1,0,0.693,5.349,96,1.7028,24,666,20.2,396.9,19.77,8.3
406 | 41.5292,0,18.1,0,0.693,5.531,85.4,1.6074,24,666,20.2,329.46,27.38,8.5
407 | 67.9208,0,18.1,0,0.693,5.683,100,1.4254,24,666,20.2,384.97,22.98,5
408 | 20.7162,0,18.1,0,0.659,4.138,100,1.1781,24,666,20.2,370.22,23.34,11.9
409 | 11.9511,0,18.1,0,0.659,5.608,100,1.2852,24,666,20.2,332.09,12.13,27.9
410 | 7.40389,0,18.1,0,0.597,5.617,97.9,1.4547,24,666,20.2,314.64,26.4,17.2
411 | 14.4383,0,18.1,0,0.597,6.852,100,1.4655,24,666,20.2,179.36,19.78,27.5
412 | 51.1358,0,18.1,0,0.597,5.757,100,1.413,24,666,20.2,2.6,10.11,15
413 | 14.0507,0,18.1,0,0.597,6.657,100,1.5275,24,666,20.2,35.05,21.22,17.2
414 | 18.811,0,18.1,0,0.597,4.628,100,1.5539,24,666,20.2,28.79,34.37,17.9
415 | 28.6558,0,18.1,0,0.597,5.155,100,1.5894,24,666,20.2,210.97,20.08,16.3
416 | 45.7461,0,18.1,0,0.693,4.519,100,1.6582,24,666,20.2,88.27,36.98,7
417 | 18.0846,0,18.1,0,0.679,6.434,100,1.8347,24,666,20.2,27.25,29.05,7.2
418 | 10.8342,0,18.1,0,0.679,6.782,90.8,1.8195,24,666,20.2,21.57,25.79,7.5
419 | 25.9406,0,18.1,0,0.679,5.304,89.1,1.6475,24,666,20.2,127.36,26.64,10.4
420 | 73.5341,0,18.1,0,0.679,5.957,100,1.8026,24,666,20.2,16.45,20.62,8.8
421 | 11.8123,0,18.1,0,0.718,6.824,76.5,1.794,24,666,20.2,48.45,22.74,8.4
422 | 11.0874,0,18.1,0,0.718,6.411,100,1.8589,24,666,20.2,318.75,15.02,16.7
423 | 7.02259,0,18.1,0,0.718,6.006,95.3,1.8746,24,666,20.2,319.98,15.7,14.2
424 | 12.0482,0,18.1,0,0.614,5.648,87.6,1.9512,24,666,20.2,291.55,14.1,20.8
425 | 7.05042,0,18.1,0,0.614,6.103,85.1,2.0218,24,666,20.2,2.52,23.29,13.4
426 | 8.79212,0,18.1,0,0.584,5.565,70.6,2.0635,24,666,20.2,3.65,17.16,11.7
427 | 15.8603,0,18.1,0,0.679,5.896,95.4,1.9096,24,666,20.2,7.68,24.39,8.3
428 | 12.2472,0,18.1,0,0.584,5.837,59.7,1.9976,24,666,20.2,24.65,15.69,10.2
429 | 37.6619,0,18.1,0,0.679,6.202,78.7,1.8629,24,666,20.2,18.82,14.52,10.9
430 | 7.36711,0,18.1,0,0.679,6.193,78.1,1.9356,24,666,20.2,96.73,21.52,11
431 | 9.33889,0,18.1,0,0.679,6.38,95.6,1.9682,24,666,20.2,60.72,24.08,9.5
432 | 8.49213,0,18.1,0,0.584,6.348,86.1,2.0527,24,666,20.2,83.45,17.64,14.5
433 | 10.0623,0,18.1,0,0.584,6.833,94.3,2.0882,24,666,20.2,81.33,19.69,14.1
434 | 6.44405,0,18.1,0,0.584,6.425,74.8,2.2004,24,666,20.2,97.95,12.03,16.1
435 | 5.58107,0,18.1,0,0.713,6.436,87.9,2.3158,24,666,20.2,100.19,16.22,14.3
436 | 13.9134,0,18.1,0,0.713,6.208,95,2.2222,24,666,20.2,100.63,15.17,11.7
437 | 11.1604,0,18.1,0,0.74,6.629,94.6,2.1247,24,666,20.2,109.85,23.27,13.4
438 | 14.4208,0,18.1,0,0.74,6.461,93.3,2.0026,24,666,20.2,27.49,18.05,9.6
439 | 15.1772,0,18.1,0,0.74,6.152,100,1.9142,24,666,20.2,9.32,26.45,8.7
440 | 13.6781,0,18.1,0,0.74,5.935,87.9,1.8206,24,666,20.2,68.95,34.02,8.4
441 | 9.39063,0,18.1,0,0.74,5.627,93.9,1.8172,24,666,20.2,396.9,22.88,12.8
442 | 22.0511,0,18.1,0,0.74,5.818,92.4,1.8662,24,666,20.2,391.45,22.11,10.5
443 | 9.72418,0,18.1,0,0.74,6.406,97.2,2.0651,24,666,20.2,385.96,19.52,17.1
444 | 5.66637,0,18.1,0,0.74,6.219,100,2.0048,24,666,20.2,395.69,16.59,18.4
445 | 9.96654,0,18.1,0,0.74,6.485,100,1.9784,24,666,20.2,386.73,18.85,15.4
446 | 12.8023,0,18.1,0,0.74,5.854,96.6,1.8956,24,666,20.2,240.52,23.79,10.8
447 | 10.6718,0,18.1,0,0.74,6.459,94.8,1.9879,24,666,20.2,43.06,23.98,11.8
448 | 6.28807,0,18.1,0,0.74,6.341,96.4,2.072,24,666,20.2,318.01,17.79,14.9
449 | 9.92485,0,18.1,0,0.74,6.251,96.6,2.198,24,666,20.2,388.52,16.44,12.6
450 | 9.32909,0,18.1,0,0.713,6.185,98.7,2.2616,24,666,20.2,396.9,18.13,14.1
451 | 7.52601,0,18.1,0,0.713,6.417,98.3,2.185,24,666,20.2,304.21,19.31,13
452 | 6.71772,0,18.1,0,0.713,6.749,92.6,2.3236,24,666,20.2,0.32,17.44,13.4
453 | 5.44114,0,18.1,0,0.713,6.655,98.2,2.3552,24,666,20.2,355.29,17.73,15.2
454 | 5.09017,0,18.1,0,0.713,6.297,91.8,2.3682,24,666,20.2,385.09,17.27,16.1
455 | 8.24809,0,18.1,0,0.713,7.393,99.3,2.4527,24,666,20.2,375.87,16.74,17.8
456 | 9.51363,0,18.1,0,0.713,6.728,94.1,2.4961,24,666,20.2,6.68,18.71,14.9
457 | 4.75237,0,18.1,0,0.713,6.525,86.5,2.4358,24,666,20.2,50.92,18.13,14.1
458 | 4.66883,0,18.1,0,0.713,5.976,87.9,2.5806,24,666,20.2,10.48,19.01,12.7
459 | 8.20058,0,18.1,0,0.713,5.936,80.3,2.7792,24,666,20.2,3.5,16.94,13.5
460 | 7.75223,0,18.1,0,0.713,6.301,83.7,2.7831,24,666,20.2,272.21,16.23,14.9
461 | 6.80117,0,18.1,0,0.713,6.081,84.4,2.7175,24,666,20.2,396.9,14.7,20
462 | 4.81213,0,18.1,0,0.713,6.701,90,2.5975,24,666,20.2,255.23,16.42,16.4
463 | 3.69311,0,18.1,0,0.713,6.376,88.4,2.5671,24,666,20.2,391.43,14.65,17.7
464 | 6.65492,0,18.1,0,0.713,6.317,83,2.7344,24,666,20.2,396.9,13.99,19.5
465 | 5.82115,0,18.1,0,0.713,6.513,89.9,2.8016,24,666,20.2,393.82,10.29,20.2
466 | 7.83932,0,18.1,0,0.655,6.209,65.4,2.9634,24,666,20.2,396.9,13.22,21.4
467 | 3.1636,0,18.1,0,0.655,5.759,48.2,3.0665,24,666,20.2,334.4,14.13,19.9
468 | 3.77498,0,18.1,0,0.655,5.952,84.7,2.8715,24,666,20.2,22.01,17.15,19
469 | 4.42228,0,18.1,0,0.584,6.003,94.5,2.5403,24,666,20.2,331.29,21.32,19.1
470 | 15.5757,0,18.1,0,0.58,5.926,71,2.9084,24,666,20.2,368.74,18.13,19.1
471 | 13.0751,0,18.1,0,0.58,5.713,56.7,2.8237,24,666,20.2,396.9,14.76,20.1
472 | 4.34879,0,18.1,0,0.58,6.167,84,3.0334,24,666,20.2,396.9,16.29,19.9
473 | 4.03841,0,18.1,0,0.532,6.229,90.7,3.0993,24,666,20.2,395.33,12.87,19.6
474 | 3.56868,0,18.1,0,0.58,6.437,75,2.8965,24,666,20.2,393.37,14.36,23.2
475 | 4.64689,0,18.1,0,0.614,6.98,67.6,2.5329,24,666,20.2,374.68,11.66,29.8
476 | 8.05579,0,18.1,0,0.584,5.427,95.4,2.4298,24,666,20.2,352.58,18.14,13.8
477 | 6.39312,0,18.1,0,0.584,6.162,97.4,2.206,24,666,20.2,302.76,24.1,13.3
478 | 4.87141,0,18.1,0,0.614,6.484,93.6,2.3053,24,666,20.2,396.21,18.68,16.7
479 | 15.0234,0,18.1,0,0.614,5.304,97.3,2.1007,24,666,20.2,349.48,24.91,12
480 | 10.233,0,18.1,0,0.614,6.185,96.7,2.1705,24,666,20.2,379.7,18.03,14.6
481 | 14.3337,0,18.1,0,0.614,6.229,88,1.9512,24,666,20.2,383.32,13.11,21.4
482 | 5.82401,0,18.1,0,0.532,6.242,64.7,3.4242,24,666,20.2,396.9,10.74,23
483 | 5.70818,0,18.1,0,0.532,6.75,74.9,3.3317,24,666,20.2,393.07,7.74,23.7
484 | 5.73116,0,18.1,0,0.532,7.061,77,3.4106,24,666,20.2,395.28,7.01,25
485 | 2.81838,0,18.1,0,0.532,5.762,40.3,4.0983,24,666,20.2,392.92,10.42,21.8
486 | 2.37857,0,18.1,0,0.583,5.871,41.9,3.724,24,666,20.2,370.73,13.34,20.6
487 | 3.67367,0,18.1,0,0.583,6.312,51.9,3.9917,24,666,20.2,388.62,10.58,21.2
488 | 5.69175,0,18.1,0,0.583,6.114,79.8,3.5459,24,666,20.2,392.68,14.98,19.1
489 | 4.83567,0,18.1,0,0.583,5.905,53.2,3.1523,24,666,20.2,388.22,11.45,20.6
490 | 0.15086,0,27.74,0,0.609,5.454,92.7,1.8209,4,711,20.1,395.09,18.06,15.2
491 | 0.18337,0,27.74,0,0.609,5.414,98.3,1.7554,4,711,20.1,344.05,23.97,7
492 | 0.20746,0,27.74,0,0.609,5.093,98,1.8226,4,711,20.1,318.43,29.68,8.1
493 | 0.10574,0,27.74,0,0.609,5.983,98.8,1.8681,4,711,20.1,390.11,18.07,13.6
494 | 0.11132,0,27.74,0,0.609,5.983,83.5,2.1099,4,711,20.1,396.9,13.35,20.1
495 | 0.17331,0,9.69,0,0.585,5.707,54,2.3817,6,391,19.2,396.9,12.01,21.8
496 | 0.27957,0,9.69,0,0.585,5.926,42.6,2.3817,6,391,19.2,396.9,13.59,24.5
497 | 0.17899,0,9.69,0,0.585,5.67,28.8,2.7986,6,391,19.2,393.29,17.6,23.1
498 | 0.2896,0,9.69,0,0.585,5.39,72.9,2.7986,6,391,19.2,396.9,21.14,19.7
499 | 0.26838,0,9.69,0,0.585,5.794,70.6,2.8927,6,391,19.2,396.9,14.1,18.3
500 | 0.23912,0,9.69,0,0.585,6.019,65.3,2.4091,6,391,19.2,396.9,12.92,21.2
501 | 0.17783,0,9.69,0,0.585,5.569,73.5,2.3999,6,391,19.2,395.77,15.1,17.5
502 | 0.177783,0,9.69,0,0.585,6.027,79.7,2.4982,6,391,19.2,396.9,14.33,16.8
503 | 0.06263,0,11.93,0,0.573,6.593,69.1,2.4786,1,273,21,391.99,9.67,22.4
504 | 0.04527,0,11.93,0,0.573,6.12,76.7,2.2875,1,273,21,396.9,9.08,20.6
505 | 0.06076,0,11.93,0,0.573,6.976,91,2.1675,1,273,21,396.9,5.64,23.9
506 | 0.10959,0,11.93,0,0.573,6.794,89.3,2.3889,1,273,21,393.45,6.48,22
507 | 0.04741,0,11.93,0,0.573,6.03,80.8,2.505,1,273,21,396.9,7.88,11.9
508 | 0.98765,0,12.5,0,0.561,6.98,89,2.098,3,320,23,396,12,12
509 | 0.23456,0,12.5,0,0.561,6.98,76,2.654,3,320,23,343,25,32
510 | 0.44433,0,12.5,0,0.561,6.123,98,2.987,3,320,23,343,21,54
511 | 0.77763,0,12.7,0,0.561,6.222,34,2.543,3,329,23,343,76,67
512 | 0.65432,0,12.8,0,0.561,6.76E+00,67,2.987,3,345,23,321,45,24
513 |
--------------------------------------------------------------------------------
/Before codes/03_Supervised_Learning/Templates/Template_06. Univariate_linear_regression.ipynb:
--------------------------------------------------------------------------------
1 | {
2 | "cells": [
3 | {
4 | "cell_type": "markdown",
5 | "id": "b46dfaac",
6 | "metadata": {},
7 | "source": [
8 | "# Example 1: Advertising Data"
9 | ]
10 | },
11 | {
12 | "cell_type": "markdown",
13 | "id": "34cbbbd1",
14 | "metadata": {},
15 | "source": [
16 | ""
17 | ]
18 | },
19 | {
20 | "cell_type": "markdown",
21 | "id": "02e9e101",
22 | "metadata": {},
23 | "source": [
24 | "This dataset contains information on advertising expenditures across three media channels—TV, Radio, and Newspaper—and their corresponding sales figures. Each row represents a unique observation, including both the financial investment in advertising and the resulting sales performance. \n",
25 | "\n",
26 | "The columns are defined as follows:\n",
27 | "\n",
28 | "- **TV**: Advertising spend in thousands of dollars on TV.\n",
29 | "- **Radio**: Advertising spend in thousands of dollars on Radio.\n",
30 | "- **Newspaper**: Advertising spend in thousands of dollars on Newspaper.\n",
31 | "- **Sales**: The number of units sold, measured in thousands.\n",
32 | "\n",
33 | "For instance, the first entry indicates that spending $230.1K on TV, $37.8K on Radio, and $69.2K on Newspaper resulted in sales of 22.1K units."
34 | ]
35 | },
36 | {
37 | "cell_type": "markdown",
38 | "id": "eb0aaa48-ea27-43ea-8f49-1c120af69ae1",
39 | "metadata": {
40 | "jp-MarkdownHeadingCollapsed": true,
41 | "tags": []
42 | },
43 | "source": [
44 | "## imports"
45 | ]
46 | },
47 | {
48 | "cell_type": "code",
49 | "execution_count": 5,
50 | "id": "6cfc7dfd-b79f-42ed-a12e-11a6dc14beda",
51 | "metadata": {},
52 | "outputs": [],
53 | "source": [
54 | "import pandas as pd\n",
55 | "import numpy as np\n",
56 | "import matplotlib.pyplot as plt"
57 | ]
58 | },
59 | {
60 | "cell_type": "markdown",
61 | "id": "8cbd0742-4327-4dca-9d9c-03c01086ccb4",
62 | "metadata": {
63 | "tags": []
64 | },
65 | "source": [
66 | "## Dataset"
67 | ]
68 | },
69 | {
70 | "cell_type": "code",
71 | "execution_count": 7,
72 | "id": "0c4da9d5-1593-42c8-a1e6-e777345d42b2",
73 | "metadata": {},
74 | "outputs": [
75 | {
76 | "data": {
77 | "text/html": [
78 | "\n",
79 | "\n",
92 | "
\n",
93 | " \n",
94 | " \n",
95 | " | \n",
96 | " Unnamed: 0 | \n",
97 | " TV | \n",
98 | " Radio | \n",
99 | " Newspaper | \n",
100 | " Sales | \n",
101 | "
\n",
102 | " \n",
103 | " \n",
104 | " \n",
105 | " | 0 | \n",
106 | " 1 | \n",
107 | " 230.1 | \n",
108 | " 37.8 | \n",
109 | " 69.2 | \n",
110 | " 22.1 | \n",
111 | "
\n",
112 | " \n",
113 | " | 1 | \n",
114 | " 2 | \n",
115 | " 44.5 | \n",
116 | " 39.3 | \n",
117 | " 45.1 | \n",
118 | " 10.4 | \n",
119 | "
\n",
120 | " \n",
121 | " | 2 | \n",
122 | " 3 | \n",
123 | " 17.2 | \n",
124 | " 45.9 | \n",
125 | " 69.3 | \n",
126 | " 9.3 | \n",
127 | "
\n",
128 | " \n",
129 | " | 3 | \n",
130 | " 4 | \n",
131 | " 151.5 | \n",
132 | " 41.3 | \n",
133 | " 58.5 | \n",
134 | " 18.5 | \n",
135 | "
\n",
136 | " \n",
137 | " | 4 | \n",
138 | " 5 | \n",
139 | " 180.8 | \n",
140 | " 10.8 | \n",
141 | " 58.4 | \n",
142 | " 12.9 | \n",
143 | "
\n",
144 | " \n",
145 | "
\n",
146 | "
"
147 | ],
148 | "text/plain": [
149 | " Unnamed: 0 TV Radio Newspaper Sales\n",
150 | "0 1 230.1 37.8 69.2 22.1\n",
151 | "1 2 44.5 39.3 45.1 10.4\n",
152 | "2 3 17.2 45.9 69.3 9.3\n",
153 | "3 4 151.5 41.3 58.5 18.5\n",
154 | "4 5 180.8 10.8 58.4 12.9"
155 | ]
156 | },
157 | "execution_count": 7,
158 | "metadata": {},
159 | "output_type": "execute_result"
160 | }
161 | ],
162 | "source": [
163 | "df = pd.read_csv('../../Data/Advertising.csv')\n",
164 | "df.head()"
165 | ]
166 | },
167 | {
168 | "cell_type": "markdown",
169 | "id": "65d194c5-08ae-48fd-b5bb-49a095e1e89a",
170 | "metadata": {},
171 | "source": [
172 | "Advertising dataset contains information about the sales of a product in different markets, along with the advertising budget for the product in each market. \n",
173 | "The dataset includes 200 instances with **3 features**, such as the TV advertising budget, the radio advertising budget, and the newspaper advertising budget.\n",
174 | "\n",
175 | "The target variable is the sales of the product, which is also a **continuous** variable."
176 | ]
177 | },
178 | {
179 | "cell_type": "markdown",
180 | "id": "279cd4b3-e7fa-4fa1-bcef-d4d8834226a3",
181 | "metadata": {},
182 | "source": [
183 | "## Select two features (columns) from a DataFrame"
184 | ]
185 | },
186 | {
187 | "cell_type": "markdown",
188 | "id": "d4bcbe64",
189 | "metadata": {},
190 | "source": [
191 | "### Method 1: Using Double Brackets \n",
192 | "\n",
193 | "- You can select multiple columns from a DataFrame by passing a list of column names within double brackets. "
194 | ]
195 | },
196 | {
197 | "cell_type": "code",
198 | "execution_count": null,
199 | "id": "62766871-c615-4f56-825b-34626b7e3617",
200 | "metadata": {},
201 | "outputs": [],
202 | "source": []
203 | },
204 | {
205 | "cell_type": "markdown",
206 | "id": "5407e9be",
207 | "metadata": {},
208 | "source": [
209 | "### Method 2: Using `iloc`\n",
210 | "- You can also select features based on their integer index positions using `iloc`. \n",
211 | "- This method is particularly useful when you want to select columns at specific intervals or ranges."
212 | ]
213 | },
214 | {
215 | "cell_type": "code",
216 | "execution_count": null,
217 | "id": "34884f6d-7915-4202-9014-5442b26a23d1",
218 | "metadata": {},
219 | "outputs": [],
220 | "source": []
221 | },
222 | {
223 | "cell_type": "markdown",
224 | "id": "21b3208c",
225 | "metadata": {},
226 | "source": [
227 | "### Method 3: Using the filter Method\n",
228 | "- Another way to select multiple columns is by using the `filter()` method, which allows for more flexible selection options."
229 | ]
230 | },
231 | {
232 | "cell_type": "code",
233 | "execution_count": null,
234 | "id": "65b296e9",
235 | "metadata": {},
236 | "outputs": [],
237 | "source": []
238 | },
239 | {
240 | "cell_type": "code",
241 | "execution_count": null,
242 | "id": "db63e0cb-f23a-4b65-a2f6-a31ca00e3e41",
243 | "metadata": {},
244 | "outputs": [],
245 | "source": []
246 | },
247 | {
248 | "cell_type": "markdown",
249 | "id": "080939fe-0930-4a7d-9f5f-73290b48d182",
250 | "metadata": {},
251 | "source": [
252 | "## Convert to NumPy array and then create `X`, and `y`"
253 | ]
254 | },
255 | {
256 | "cell_type": "markdown",
257 | "id": "04fd722a",
258 | "metadata": {},
259 | "source": [
260 | "### **Method 1**: Using `to_numpy()`"
261 | ]
262 | },
263 | {
264 | "cell_type": "code",
265 | "execution_count": null,
266 | "id": "1a16ad6e",
267 | "metadata": {},
268 | "outputs": [],
269 | "source": []
270 | },
271 | {
272 | "cell_type": "markdown",
273 | "id": "6b5932f9",
274 | "metadata": {},
275 | "source": [
276 | "### **Method 2**: Using `values` Attribute"
277 | ]
278 | },
279 | {
280 | "cell_type": "code",
281 | "execution_count": null,
282 | "id": "1a9cd4fe",
283 | "metadata": {},
284 | "outputs": [],
285 | "source": []
286 | },
287 | {
288 | "cell_type": "markdown",
289 | "id": "2c45c2fb",
290 | "metadata": {},
291 | "source": [
292 | "### **Method 3**: Using `np.array()`"
293 | ]
294 | },
295 | {
296 | "cell_type": "code",
297 | "execution_count": null,
298 | "id": "f4856042",
299 | "metadata": {},
300 | "outputs": [],
301 | "source": []
302 | },
303 | {
304 | "cell_type": "markdown",
305 | "id": "079fb512",
306 | "metadata": {},
307 | "source": [
308 | "### **Method 4**: One-Line Selection and Reshape"
309 | ]
310 | },
311 | {
312 | "cell_type": "code",
313 | "execution_count": null,
314 | "id": "9eea6fdf-e99f-471d-8a35-ab67623fc2cd",
315 | "metadata": {},
316 | "outputs": [],
317 | "source": []
318 | },
319 | {
320 | "cell_type": "markdown",
321 | "id": "d33689b5",
322 | "metadata": {},
323 | "source": [
324 | "## Split the Data into Training and Testing Sets"
325 | ]
326 | },
327 | {
328 | "cell_type": "code",
329 | "execution_count": null,
330 | "id": "6c09a55c-8d84-4f35-a686-f6786a4bf21d",
331 | "metadata": {},
332 | "outputs": [],
333 | "source": []
334 | },
335 | {
336 | "cell_type": "code",
337 | "execution_count": null,
338 | "id": "812a3313-54cf-46d0-a4bf-183a8c65b662",
339 | "metadata": {},
340 | "outputs": [],
341 | "source": []
342 | },
343 | {
344 | "cell_type": "markdown",
345 | "id": "fdd045af-baf6-43cb-b248-d479dd360470",
346 | "metadata": {
347 | "tags": []
348 | },
349 | "source": [
350 | "## Visualization"
351 | ]
352 | },
353 | {
354 | "cell_type": "code",
355 | "execution_count": null,
356 | "id": "c5eaf264-b958-4493-b8d7-df8897701254",
357 | "metadata": {},
358 | "outputs": [],
359 | "source": [
360 | "plt.scatter(x_train, y_train);"
361 | ]
362 | },
363 | {
364 | "cell_type": "markdown",
365 | "id": "d618c9f1-c7dc-4c17-816d-e79817bc63b9",
366 | "metadata": {
367 | "tags": []
368 | },
369 | "source": [
370 | "## Hypothesis function"
371 | ]
372 | },
373 | {
374 | "cell_type": "markdown",
375 | "id": "aa055c38",
376 | "metadata": {},
377 | "source": [
378 | "In the context of univariate linear regression, where we work with a single feature, the equation representing the relationship between the independent variable and the dependent variable can be expressed as the **hypothesis function**:\n",
379 | "\n",
380 | "**ŷ = β₀ + β₁x**\n",
381 | "\n",
382 | "In this equation:\n",
383 | "\n",
384 | "- **ŷ** (y-hat): Represents the predicted value of the dependent variable, also known as the model output or response variable.\n",
385 | " \n",
386 | "- **x**: Denotes the independent variable, often referred to as the input or predictor variable.\n",
387 | "\n",
388 | "- **β₀** (beta-zero): This is the y-intercept of the regression line, sometimes called the **bias** term. \n",
389 | " It signifies the point where the line crosses the y-axis. A higher value for β₀ raises the entire line, while a lower value pushes it down.\n",
390 | "\n",
391 | "- **β₁** (beta-one): This represents the coefficient (or **weight**) associated with the independent variable x. \n",
392 | " It determines the slope of the regression line \n",
393 | " a larger β₁ results in a steeper line, whereas a smaller β₁ yields a flatter line.\n",
394 | "\n",
395 | "- Both **β₀** and **β₁** are considered model parameters, which are estimated during the training process to best fit the data."
396 | ]
397 | },
398 | {
399 | "cell_type": "markdown",
400 | "id": "12f23631-06c4-4bb8-ab4b-80404fe656cb",
401 | "metadata": {},
402 | "source": [
403 | ""
404 | ]
405 | },
406 | {
407 | "cell_type": "markdown",
408 | "id": "4de17cf7",
409 | "metadata": {},
410 | "source": [
411 | "## Plotting regression line with random numbers"
412 | ]
413 | },
414 | {
415 | "cell_type": "code",
416 | "execution_count": null,
417 | "id": "74295af9",
418 | "metadata": {},
419 | "outputs": [],
420 | "source": []
421 | },
422 | {
423 | "cell_type": "markdown",
424 | "id": "727bcd89",
425 | "metadata": {},
426 | "source": [
427 | "## Create and Train the Linear Regression Model"
428 | ]
429 | },
430 | {
431 | "cell_type": "code",
432 | "execution_count": null,
433 | "id": "5f62b03e-05e6-409a-a7a7-faedc458cff5",
434 | "metadata": {},
435 | "outputs": [],
436 | "source": []
437 | },
438 | {
439 | "cell_type": "code",
440 | "execution_count": null,
441 | "id": "d1356813-1902-4990-b6a4-1054aa52b261",
442 | "metadata": {},
443 | "outputs": [
444 | {
445 | "data": {
446 | "text/plain": [
447 | "(array([[0.04652973]]), array([7.11963843]))"
448 | ]
449 | },
450 | "execution_count": 16,
451 | "metadata": {},
452 | "output_type": "execute_result"
453 | }
454 | ],
455 | "source": []
456 | },
457 | {
458 | "cell_type": "markdown",
459 | "id": "e9fd95b4",
460 | "metadata": {},
461 | "source": [
462 | "## Make Predictions\n",
463 | "- After fitting the model, we can make predictions on the test data."
464 | ]
465 | },
466 | {
467 | "cell_type": "code",
468 | "execution_count": null,
469 | "id": "04a99edc",
470 | "metadata": {},
471 | "outputs": [],
472 | "source": []
473 | },
474 | {
475 | "cell_type": "markdown",
476 | "id": "45eaa22e",
477 | "metadata": {},
478 | "source": [
479 | "## Evaluate the Model\n",
480 | "Let's evaluate the performance of our model using Mean Squared Error `(MSE)` and `R-squared` score."
481 | ]
482 | },
483 | {
484 | "cell_type": "code",
485 | "execution_count": null,
486 | "id": "61ed2dda",
487 | "metadata": {},
488 | "outputs": [
489 | {
490 | "name": "stdout",
491 | "output_type": "stream",
492 | "text": [
493 | "Mean Squared Error: 10.20\n",
494 | "R-squared Score: 0.68\n"
495 | ]
496 | }
497 | ],
498 | "source": []
499 | },
500 | {
501 | "cell_type": "markdown",
502 | "id": "26670cc5",
503 | "metadata": {},
504 | "source": [
505 | "## Visualize the Results"
506 | ]
507 | },
508 | {
509 | "cell_type": "code",
510 | "execution_count": null,
511 | "id": "b76f7f2f",
512 | "metadata": {},
513 | "outputs": [],
514 | "source": []
515 | },
516 | {
517 | "cell_type": "markdown",
518 | "id": "bf533d40-3c5b-4664-be57-030f94804385",
519 | "metadata": {},
520 | "source": [
521 | "# Example 2: Automobile price prediction"
522 | ]
523 | },
524 | {
525 | "cell_type": "markdown",
526 | "id": "b9652fb3",
527 | "metadata": {},
528 | "source": [
529 | ""
530 | ]
531 | },
532 | {
533 | "cell_type": "markdown",
534 | "id": "7b84fe69",
535 | "metadata": {},
536 | "source": [
537 | "**Dataset Description**: \n",
538 | "This dataset contains 26 columns, which likely include various features about automobiles, such as specifications, make, model, year, fuel type, and more. However, for our analysis, we've narrowed it down to two columns:\n",
539 | "- **Engine Size**: Measured in liters, this represents the volume of all the engine’s cylinders combined. It's a key determinant of the vehicle's power and efficiency.\n",
540 | "- **Price**: This is the target variable you want to predict, representing the market price of the automobile.\n",
541 | "\n",
542 | "**Importance of Engine Size in Price Prediction**:\n",
543 | "Engine size often correlates with performance characteristics such as horsepower and torque, which can significantly influence a car’s market price. Generally, vehicles with larger engines tend to be more powerful and are often priced higher, but there are exceptions depending on brand, model, and other features."
544 | ]
545 | },
546 | {
547 | "cell_type": "markdown",
548 | "id": "8f70dcca",
549 | "metadata": {},
550 | "source": [
551 | "## Step 1: Import Libraries"
552 | ]
553 | },
554 | {
555 | "cell_type": "code",
556 | "execution_count": null,
557 | "id": "3baf0404",
558 | "metadata": {},
559 | "outputs": [],
560 | "source": [
561 | "# Import necessary libraries \n",
562 | "import pandas as pd \n",
563 | "import numpy as np \n",
564 | "import matplotlib.pyplot as plt \n",
565 | "from sklearn.model_selection import train_test_split \n",
566 | "from sklearn.linear_model import LinearRegression \n",
567 | "from sklearn.preprocessing import StandardScaler \n",
568 | "from sklearn.metrics import mean_squared_error, r2_score "
569 | ]
570 | },
571 | {
572 | "cell_type": "markdown",
573 | "id": "71328c92",
574 | "metadata": {},
575 | "source": [
576 | "## Step 2: Load the Data"
577 | ]
578 | },
579 | {
580 | "cell_type": "code",
581 | "execution_count": null,
582 | "id": "4fe10042",
583 | "metadata": {},
584 | "outputs": [
585 | {
586 | "data": {
587 | "text/html": [
588 | "\n",
589 | "\n",
602 | "
\n",
603 | " \n",
604 | " \n",
605 | " | \n",
606 | " symboling | \n",
607 | " normalized-losses | \n",
608 | " make | \n",
609 | " fuel-type | \n",
610 | " aspiration | \n",
611 | " num-of-doors | \n",
612 | " body-style | \n",
613 | " drive-wheels | \n",
614 | " engine-location | \n",
615 | " wheel-base | \n",
616 | " ... | \n",
617 | " engine-size | \n",
618 | " fuel-system | \n",
619 | " bore | \n",
620 | " stroke | \n",
621 | " compression-ratio | \n",
622 | " horsepower | \n",
623 | " peak-rpm | \n",
624 | " city-mpg | \n",
625 | " highway-mpg | \n",
626 | " price | \n",
627 | "
\n",
628 | " \n",
629 | " \n",
630 | " \n",
631 | " | 0 | \n",
632 | " 3 | \n",
633 | " ? | \n",
634 | " alfa-romero | \n",
635 | " gas | \n",
636 | " std | \n",
637 | " two | \n",
638 | " convertible | \n",
639 | " rwd | \n",
640 | " front | \n",
641 | " 88.6 | \n",
642 | " ... | \n",
643 | " 130 | \n",
644 | " mpfi | \n",
645 | " 3.47 | \n",
646 | " 2.68 | \n",
647 | " 9.0 | \n",
648 | " 111 | \n",
649 | " 5000 | \n",
650 | " 21 | \n",
651 | " 27 | \n",
652 | " 13495 | \n",
653 | "
\n",
654 | " \n",
655 | " | 1 | \n",
656 | " 3 | \n",
657 | " ? | \n",
658 | " alfa-romero | \n",
659 | " gas | \n",
660 | " std | \n",
661 | " two | \n",
662 | " convertible | \n",
663 | " rwd | \n",
664 | " front | \n",
665 | " 88.6 | \n",
666 | " ... | \n",
667 | " 130 | \n",
668 | " mpfi | \n",
669 | " 3.47 | \n",
670 | " 2.68 | \n",
671 | " 9.0 | \n",
672 | " 111 | \n",
673 | " 5000 | \n",
674 | " 21 | \n",
675 | " 27 | \n",
676 | " 16500 | \n",
677 | "
\n",
678 | " \n",
679 | " | 2 | \n",
680 | " 1 | \n",
681 | " ? | \n",
682 | " alfa-romero | \n",
683 | " gas | \n",
684 | " std | \n",
685 | " two | \n",
686 | " hatchback | \n",
687 | " rwd | \n",
688 | " front | \n",
689 | " 94.5 | \n",
690 | " ... | \n",
691 | " 152 | \n",
692 | " mpfi | \n",
693 | " 2.68 | \n",
694 | " 3.47 | \n",
695 | " 9.0 | \n",
696 | " 154 | \n",
697 | " 5000 | \n",
698 | " 19 | \n",
699 | " 26 | \n",
700 | " 16500 | \n",
701 | "
\n",
702 | " \n",
703 | " | 3 | \n",
704 | " 2 | \n",
705 | " 164 | \n",
706 | " audi | \n",
707 | " gas | \n",
708 | " std | \n",
709 | " four | \n",
710 | " sedan | \n",
711 | " fwd | \n",
712 | " front | \n",
713 | " 99.8 | \n",
714 | " ... | \n",
715 | " 109 | \n",
716 | " mpfi | \n",
717 | " 3.19 | \n",
718 | " 3.4 | \n",
719 | " 10.0 | \n",
720 | " 102 | \n",
721 | " 5500 | \n",
722 | " 24 | \n",
723 | " 30 | \n",
724 | " 13950 | \n",
725 | "
\n",
726 | " \n",
727 | " | 4 | \n",
728 | " 2 | \n",
729 | " 164 | \n",
730 | " audi | \n",
731 | " gas | \n",
732 | " std | \n",
733 | " four | \n",
734 | " sedan | \n",
735 | " 4wd | \n",
736 | " front | \n",
737 | " 99.4 | \n",
738 | " ... | \n",
739 | " 136 | \n",
740 | " mpfi | \n",
741 | " 3.19 | \n",
742 | " 3.4 | \n",
743 | " 8.0 | \n",
744 | " 115 | \n",
745 | " 5500 | \n",
746 | " 18 | \n",
747 | " 22 | \n",
748 | " 17450 | \n",
749 | "
\n",
750 | " \n",
751 | "
\n",
752 | "
5 rows × 26 columns
\n",
753 | "
"
754 | ],
755 | "text/plain": [
756 | " symboling normalized-losses make fuel-type aspiration num-of-doors \\\n",
757 | "0 3 ? alfa-romero gas std two \n",
758 | "1 3 ? alfa-romero gas std two \n",
759 | "2 1 ? alfa-romero gas std two \n",
760 | "3 2 164 audi gas std four \n",
761 | "4 2 164 audi gas std four \n",
762 | "\n",
763 | " body-style drive-wheels engine-location wheel-base ... engine-size \\\n",
764 | "0 convertible rwd front 88.6 ... 130 \n",
765 | "1 convertible rwd front 88.6 ... 130 \n",
766 | "2 hatchback rwd front 94.5 ... 152 \n",
767 | "3 sedan fwd front 99.8 ... 109 \n",
768 | "4 sedan 4wd front 99.4 ... 136 \n",
769 | "\n",
770 | " fuel-system bore stroke compression-ratio horsepower peak-rpm city-mpg \\\n",
771 | "0 mpfi 3.47 2.68 9.0 111 5000 21 \n",
772 | "1 mpfi 3.47 2.68 9.0 111 5000 21 \n",
773 | "2 mpfi 2.68 3.47 9.0 154 5000 19 \n",
774 | "3 mpfi 3.19 3.4 10.0 102 5500 24 \n",
775 | "4 mpfi 3.19 3.4 8.0 115 5500 18 \n",
776 | "\n",
777 | " highway-mpg price \n",
778 | "0 27 13495 \n",
779 | "1 27 16500 \n",
780 | "2 26 16500 \n",
781 | "3 30 13950 \n",
782 | "4 22 17450 \n",
783 | "\n",
784 | "[5 rows x 26 columns]"
785 | ]
786 | },
787 | "execution_count": 3,
788 | "metadata": {},
789 | "output_type": "execute_result"
790 | }
791 | ],
792 | "source": [
793 | "df = pd.read_csv('../Data/Regression/Automobile_data.csv') \n",
794 | "df.head() "
795 | ]
796 | },
797 | {
798 | "cell_type": "markdown",
799 | "id": "7547b143",
800 | "metadata": {},
801 | "source": [
802 | "## Step 3: Select and Rename Relevant Columns\n",
803 | "- Filter to select the relevant columns: `engine-size` and `price`."
804 | ]
805 | },
806 | {
807 | "cell_type": "code",
808 | "execution_count": null,
809 | "id": "3fd79301",
810 | "metadata": {},
811 | "outputs": [],
812 | "source": []
813 | },
814 | {
815 | "cell_type": "markdown",
816 | "id": "71ddbf1a",
817 | "metadata": {},
818 | "source": [
819 | "## Step 4: Check Data Types"
820 | ]
821 | },
822 | {
823 | "cell_type": "code",
824 | "execution_count": null,
825 | "id": "9bb19375",
826 | "metadata": {},
827 | "outputs": [],
828 | "source": []
829 | },
830 | {
831 | "cell_type": "markdown",
832 | "id": "d1185f8f",
833 | "metadata": {},
834 | "source": [
835 | "## Step 5: Convert to Numeric"
836 | ]
837 | },
838 | {
839 | "cell_type": "markdown",
840 | "id": "9416102b",
841 | "metadata": {},
842 | "source": [
843 | "- If the columns contain numeric data in string format (**price**), convert them to numeric, handling any non-numeric cases by **coercing** them to NaN."
844 | ]
845 | },
846 | {
847 | "cell_type": "code",
848 | "execution_count": null,
849 | "id": "0920443f",
850 | "metadata": {},
851 | "outputs": [],
852 | "source": []
853 | },
854 | {
855 | "cell_type": "markdown",
856 | "id": "e443db0b",
857 | "metadata": {},
858 | "source": [
859 | "## Step 6: Handle Missing Values"
860 | ]
861 | },
862 | {
863 | "cell_type": "code",
864 | "execution_count": null,
865 | "id": "90c7cd7d",
866 | "metadata": {},
867 | "outputs": [],
868 | "source": []
869 | },
870 | {
871 | "cell_type": "markdown",
872 | "id": "784efd41",
873 | "metadata": {},
874 | "source": [
875 | "### Option 1: Drop rows with NaN values "
876 | ]
877 | },
878 | {
879 | "cell_type": "code",
880 | "execution_count": null,
881 | "id": "6347e0f0",
882 | "metadata": {},
883 | "outputs": [],
884 | "source": []
885 | },
886 | {
887 | "cell_type": "markdown",
888 | "id": "7744ab1f",
889 | "metadata": {},
890 | "source": [
891 | "### Option 2: Fill missing values, if appropriate"
892 | ]
893 | },
894 | {
895 | "cell_type": "code",
896 | "execution_count": null,
897 | "id": "99b7c4e4",
898 | "metadata": {},
899 | "outputs": [],
900 | "source": []
901 | },
902 | {
903 | "cell_type": "markdown",
904 | "id": "db6e3188",
905 | "metadata": {},
906 | "source": [
907 | "## Step 7: Exploratory Data Analysis (EDA)"
908 | ]
909 | },
910 | {
911 | "cell_type": "markdown",
912 | "id": "325afeb5",
913 | "metadata": {},
914 | "source": [
915 | "### 1. Plot the Data:\n",
916 | "- Visualize the relationship between `engine_size` and `price` using a scatter plot."
917 | ]
918 | },
919 | {
920 | "cell_type": "code",
921 | "execution_count": null,
922 | "id": "d2b8c789",
923 | "metadata": {},
924 | "outputs": [],
925 | "source": []
926 | },
927 | {
928 | "cell_type": "markdown",
929 | "id": "3394d7a4",
930 | "metadata": {},
931 | "source": [
932 | "### 2. Check Summary Statistics:\n",
933 | "- Get an overview of the data."
934 | ]
935 | },
936 | {
937 | "cell_type": "code",
938 | "execution_count": null,
939 | "id": "4f431455",
940 | "metadata": {},
941 | "outputs": [],
942 | "source": []
943 | },
944 | {
945 | "cell_type": "markdown",
946 | "id": "462a2e95",
947 | "metadata": {},
948 | "source": [
949 | "## Step 8: Prepare for Univariate Linear Regression"
950 | ]
951 | },
952 | {
953 | "cell_type": "markdown",
954 | "id": "542f598a",
955 | "metadata": {},
956 | "source": [
957 | "### 1. Define Your Features and Target Variable:"
958 | ]
959 | },
960 | {
961 | "cell_type": "code",
962 | "execution_count": null,
963 | "id": "3d172106",
964 | "metadata": {},
965 | "outputs": [],
966 | "source": []
967 | },
968 | {
969 | "cell_type": "markdown",
970 | "id": "f9e7a97e",
971 | "metadata": {},
972 | "source": [
973 | "### 2. Split the Data into train and test"
974 | ]
975 | },
976 | {
977 | "cell_type": "code",
978 | "execution_count": null,
979 | "id": "3f0e4dd6",
980 | "metadata": {},
981 | "outputs": [],
982 | "source": []
983 | },
984 | {
985 | "cell_type": "code",
986 | "execution_count": null,
987 | "id": "b2010367",
988 | "metadata": {},
989 | "outputs": [],
990 | "source": []
991 | },
992 | {
993 | "cell_type": "markdown",
994 | "id": "e42afc83",
995 | "metadata": {},
996 | "source": [
997 | "## Step 9: Standardize the Features and Target Variable "
998 | ]
999 | },
1000 | {
1001 | "cell_type": "code",
1002 | "execution_count": null,
1003 | "id": "72ca203a",
1004 | "metadata": {},
1005 | "outputs": [],
1006 | "source": []
1007 | },
1008 | {
1009 | "cell_type": "markdown",
1010 | "id": "bfd104fb",
1011 | "metadata": {},
1012 | "source": [
1013 | "## Step 10: Train the Linear Regression Model "
1014 | ]
1015 | },
1016 | {
1017 | "cell_type": "code",
1018 | "execution_count": null,
1019 | "id": "57bb3cc0",
1020 | "metadata": {},
1021 | "outputs": [],
1022 | "source": []
1023 | },
1024 | {
1025 | "cell_type": "markdown",
1026 | "id": "7e8e0435",
1027 | "metadata": {},
1028 | "source": [
1029 | "## Step 11: Make Predictions "
1030 | ]
1031 | },
1032 | {
1033 | "cell_type": "code",
1034 | "execution_count": null,
1035 | "id": "2341089f",
1036 | "metadata": {},
1037 | "outputs": [],
1038 | "source": []
1039 | },
1040 | {
1041 | "cell_type": "markdown",
1042 | "id": "cca0b7fe",
1043 | "metadata": {},
1044 | "source": [
1045 | "## Step 12: Inverse Transform the Predictions "
1046 | ]
1047 | },
1048 | {
1049 | "cell_type": "code",
1050 | "execution_count": null,
1051 | "id": "1d5f22b5",
1052 | "metadata": {},
1053 | "outputs": [],
1054 | "source": []
1055 | },
1056 | {
1057 | "cell_type": "markdown",
1058 | "id": "49ebf309",
1059 | "metadata": {},
1060 | "source": [
1061 | "## Step 13: Evaluate the Model, and Plot "
1062 | ]
1063 | },
1064 | {
1065 | "cell_type": "code",
1066 | "execution_count": null,
1067 | "id": "eb5215c1",
1068 | "metadata": {},
1069 | "outputs": [],
1070 | "source": []
1071 | },
1072 | {
1073 | "cell_type": "markdown",
1074 | "id": "f66bc249",
1075 | "metadata": {},
1076 | "source": [
1077 | "## Step 14: Plotting the Train and Test Data with the Linear Regression Line "
1078 | ]
1079 | },
1080 | {
1081 | "cell_type": "code",
1082 | "execution_count": null,
1083 | "id": "76899fa9",
1084 | "metadata": {},
1085 | "outputs": [],
1086 | "source": []
1087 | },
1088 | {
1089 | "cell_type": "markdown",
1090 | "id": "5173beca",
1091 | "metadata": {},
1092 | "source": [
1093 | "# Example 3: Univariate Linear Regression with LinearRegression and SGDRegressor in Scikit-Learn"
1094 | ]
1095 | },
1096 | {
1097 | "cell_type": "markdown",
1098 | "id": "46931154",
1099 | "metadata": {},
1100 | "source": [
1101 | "## 1. Importing Libraries\n",
1102 | "Import the necessary libraries for data generation, modeling, evaluation, and visualization."
1103 | ]
1104 | },
1105 | {
1106 | "cell_type": "code",
1107 | "execution_count": null,
1108 | "id": "f957111b",
1109 | "metadata": {},
1110 | "outputs": [],
1111 | "source": [
1112 | "import numpy as np\n",
1113 | "import matplotlib.pyplot as plt\n",
1114 | "from sklearn.datasets import make_regression\n",
1115 | "from sklearn.linear_model import LinearRegression, SGDRegressor\n",
1116 | "from sklearn.model_selection import train_test_split\n",
1117 | "from sklearn.metrics import mean_squared_error, r2_score"
1118 | ]
1119 | },
1120 | {
1121 | "cell_type": "markdown",
1122 | "id": "3ee8098f",
1123 | "metadata": {},
1124 | "source": [
1125 | "## 2. Generating and Splitting the Dataset\n",
1126 | "Create a synthetic univariate dataset and split it into training and testing sets."
1127 | ]
1128 | },
1129 | {
1130 | "cell_type": "code",
1131 | "execution_count": null,
1132 | "id": "8eafff6d",
1133 | "metadata": {},
1134 | "outputs": [],
1135 | "source": [
1136 | "# Generate a synthetic dataset (univariate)\n",
1137 | "X, y = make_regression(n_samples=200, n_features=1, noise=15, random_state=42)\n",
1138 | "\n",
1139 | "# Split data into training and testing sets\n",
1140 | "X_train, X_test, y_train, y_test = train_test_split(X, y, test_size=0.2, random_state=42)"
1141 | ]
1142 | },
1143 | {
1144 | "cell_type": "markdown",
1145 | "id": "8330d353",
1146 | "metadata": {},
1147 | "source": [
1148 | "## 3. Defining and Training the Models\n",
1149 | "Train two regression models: Linear Regression and SGD Regressor."
1150 | ]
1151 | },
1152 | {
1153 | "cell_type": "code",
1154 | "execution_count": null,
1155 | "id": "6bd74bdd",
1156 | "metadata": {},
1157 | "outputs": [],
1158 | "source": []
1159 | },
1160 | {
1161 | "cell_type": "code",
1162 | "execution_count": null,
1163 | "id": "8f63397d",
1164 | "metadata": {},
1165 | "outputs": [],
1166 | "source": []
1167 | },
1168 | {
1169 | "cell_type": "markdown",
1170 | "id": "647efb37",
1171 | "metadata": {},
1172 | "source": [
1173 | "## 4. Making Predictions\n",
1174 | "Generate predictions for the test data using both models."
1175 | ]
1176 | },
1177 | {
1178 | "cell_type": "code",
1179 | "execution_count": null,
1180 | "id": "471f7e5f",
1181 | "metadata": {},
1182 | "outputs": [],
1183 | "source": []
1184 | },
1185 | {
1186 | "cell_type": "markdown",
1187 | "id": "b127cc54",
1188 | "metadata": {},
1189 | "source": [
1190 | "## 5. Evaluating the Models\n",
1191 | "Compute and display the Mean Squared Error (MSE) and R-squared ($𝑅^2$) score for both models.\n"
1192 | ]
1193 | },
1194 | {
1195 | "cell_type": "code",
1196 | "execution_count": null,
1197 | "id": "781f2f06",
1198 | "metadata": {},
1199 | "outputs": [],
1200 | "source": []
1201 | },
1202 | {
1203 | "cell_type": "markdown",
1204 | "id": "23b4a18f",
1205 | "metadata": {},
1206 | "source": [
1207 | "## 6. Visualizing the Results\n",
1208 | "Create scatter plots of the test data with regression lines predicted by each model."
1209 | ]
1210 | },
1211 | {
1212 | "cell_type": "code",
1213 | "execution_count": null,
1214 | "id": "44bb3bd1",
1215 | "metadata": {},
1216 | "outputs": [],
1217 | "source": []
1218 | },
1219 | {
1220 | "cell_type": "code",
1221 | "execution_count": null,
1222 | "id": "d703cc38",
1223 | "metadata": {},
1224 | "outputs": [],
1225 | "source": []
1226 | }
1227 | ],
1228 | "metadata": {
1229 | "kernelspec": {
1230 | "display_name": "pytorch23",
1231 | "language": "python",
1232 | "name": "python3"
1233 | },
1234 | "language_info": {
1235 | "codemirror_mode": {
1236 | "name": "ipython",
1237 | "version": 3
1238 | },
1239 | "file_extension": ".py",
1240 | "mimetype": "text/x-python",
1241 | "name": "python",
1242 | "nbconvert_exporter": "python",
1243 | "pygments_lexer": "ipython3",
1244 | "version": "3.9.19"
1245 | }
1246 | },
1247 | "nbformat": 4,
1248 | "nbformat_minor": 5
1249 | }
1250 |
--------------------------------------------------------------------------------