├── KMP算法 ├── README.md └── kmp.py ├── 分支限界算法 ├── README.md ├── max_loading.go ├── max_loading.py ├── shortest_path.py ├── shortest_path.go └── leetcode-407.go ├── 树 ├── AC自动机和Trie树 │ ├── README.md │ └── ac.py ├── B树 │ ├── README.md │ └── btree.py ├── B+树 │ └── README.md ├── 二叉树 │ ├── 红黑树 │ │ └── README.md │ ├── 二叉搜索树 │ │ ├── README.md │ │ └── binary_search_tree.py │ ├── 平衡二叉树 │ │ └── README.md │ ├── 表达式树 │ │ ├── README.md │ │ └── InOrder2PostOrder.py │ ├── 线索二叉树 │ │ ├── README.md │ │ └── ThreadedBinaryTree.py │ ├── 根据二叉树的先序、中序、后序序列还原二叉树 │ │ ├── README.md │ │ └── GenerateTree.py │ ├── README.md │ └── BinaryTree.py ├── 霍夫曼树(最优二叉树) │ ├── README.md │ └── huffman_tree.py ├── README.md └── 树与等价关系 │ ├── README.md │ └── MFSet.py ├── 图 ├── README.md ├── 最短路径 │ ├── Floyd算法 │ │ ├── README.md │ │ └── floyd.py │ └── Dijkstra算法 │ │ ├── README.md │ │ └── dijkstra.py ├── DAG-有向无环图 │ ├── 拓扑排序 │ │ ├── README.md │ │ └── topological_sort.py │ └── 关键路径 │ │ ├── README.md │ │ └── critical_path.py ├── 最小生成树 │ ├── README.md │ ├── graph.py │ ├── kruskal.py │ └── prim.py ├── dfs_tree.py └── dinetwork.py ├── 搜索算法 ├── 二分查找 │ ├── README.md │ └── BinarySearch.py └── 跳表 │ ├── README.md │ └── skip_list.py ├── 排序算法 ├── 希尔排序 │ ├── README.md │ └── shell_sort.py ├── 归并排序 │ ├── README.md │ ├── merge_sort.go │ ├── merge_sort.py │ └── merge_sort_linked_list.py ├── 桶排序 │ ├── README.md │ └── bucket_sort.py ├── 冒泡排序 │ ├── README.md │ └── bubble_sort.py ├── 选择排序 │ ├── README.md │ └── selection_sort.py ├── 直接插入排序 │ ├── README.md │ └── straight_insertion_sort.py ├── 快速排序 │ ├── QuickSort.py │ ├── quick_sort.go │ ├── README.md │ ├── leetcode-215.py │ ├── offer-40.py │ └── quick_sort_linked_list.py └── 堆排序以及topk问题 │ ├── leetcode-973.py │ ├── HeapSort.py │ └── README.md ├── 哈希表 ├── README.md └── hash_table.py ├── 回溯算法 ├── README.md ├── Empress.py ├── leetcode-78.go ├── dag.py ├── Maze.py ├── Maze.go ├── leetcode-79.go └── leetcode-37.py ├── 线性表 ├── 快慢指针法 │ ├── README.md │ └── slow_fast_pointer.py ├── 逆转单链表 │ ├── README.md │ └── reverse_list.py ├── 静态链表 │ ├── README.md │ └── static_list.py ├── README.md ├── 链表是否有环 │ ├── README.md │ └── cycle_list.py ├── 栈及其应用 │ ├── README.md │ └── sequential_stack.py ├── linked_list.py └── array_list.py ├── leetcode ├── DropEggs问题 │ ├── drop_eggs.py │ └── README.md ├── 求字符串数组的最长公共前缀 │ ├── README.md │ └── Solution.py ├── 字符串反转 │ ├── README.md │ └── string_reverse.py ├── 最长回文子串 │ ├── README.md │ └── palindrome.py ├── K路归并排序 │ ├── README.md │ └── k_way_merge_sort.py └── 最小栈 │ ├── README.md │ └── min_stack.py ├── README.md ├── 动态规划 ├── leetcode_416.go ├── leetcode-474.go ├── leetcode-322.go ├── README.md ├── leetcode-42.go ├── leetcode_10.go ├── knapsack_problem.py └── knapsack_problem.go └── 基本概念 └── README.md /KMP算法/README.md: -------------------------------------------------------------------------------- 1 | 请参考[ Tim 的博客](http://timd.cn/kmp/) 2 | -------------------------------------------------------------------------------- /分支限界算法/README.md: -------------------------------------------------------------------------------- 1 | 请移步[Tim的博客](http://timd.cn/branch-and-bound/) -------------------------------------------------------------------------------- /树/AC自动机和Trie树/README.md: -------------------------------------------------------------------------------- 1 | 请阅读[ Tim 的博客](http://timd.cn/ac/) 2 | -------------------------------------------------------------------------------- /图/README.md: -------------------------------------------------------------------------------- 1 | 请移步 [Tim 的博客](http://timd.cn/data-structure/graph/) 2 | -------------------------------------------------------------------------------- /搜索算法/二分查找/README.md: -------------------------------------------------------------------------------- 1 | 请参考[ Tim 的博客](http://timd.cn/binary-search/) 2 | -------------------------------------------------------------------------------- /排序算法/希尔排序/README.md: -------------------------------------------------------------------------------- 1 | 请移步[ Tim 的博客](http://timd.cn/sort/shell-sort/)。 2 | -------------------------------------------------------------------------------- /排序算法/归并排序/README.md: -------------------------------------------------------------------------------- 1 | 请移步[ Tim 的博客](http://timd.cn/sort/merge-sort/) 2 | -------------------------------------------------------------------------------- /排序算法/桶排序/README.md: -------------------------------------------------------------------------------- 1 | 请移步[ Tim 的博客](http://timd.cn/sort/bucket-sort/)。 2 | -------------------------------------------------------------------------------- /树/B树/README.md: -------------------------------------------------------------------------------- 1 | 请阅读 [Tim 的博客](http://timd.cn/data-structure/btree/) 2 | -------------------------------------------------------------------------------- /哈希表/README.md: -------------------------------------------------------------------------------- 1 | 请参考 [Tim 的博客](http://timd.cn/data-structure/hash-table/) 2 | -------------------------------------------------------------------------------- /排序算法/冒泡排序/README.md: -------------------------------------------------------------------------------- 1 | 请移步[ Tim 的博客](http://timd.cn/2017/10/16/bubble-sort/) 2 | -------------------------------------------------------------------------------- /排序算法/选择排序/README.md: -------------------------------------------------------------------------------- 1 | 请移步[ Tim 的博客](http://timd.cn/sort/selection-sort/) 2 | -------------------------------------------------------------------------------- /搜索算法/跳表/README.md: -------------------------------------------------------------------------------- 1 | 请参考 [Tim 的博客](http://timd.cn/data-structure/skiplist/) 2 | -------------------------------------------------------------------------------- /图/最短路径/Floyd算法/README.md: -------------------------------------------------------------------------------- 1 | 请移步 [Tim 的博客](http://timd.cn/data-structure/floyd/) 2 | -------------------------------------------------------------------------------- /树/B+树/README.md: -------------------------------------------------------------------------------- 1 | 请移步 [Tim 的博客](http://timd.cn/data-structure/b-plus-tree/) 2 | -------------------------------------------------------------------------------- /排序算法/直接插入排序/README.md: -------------------------------------------------------------------------------- 1 | 请移步[ Tim 的博客](http://timd.cn/sort/straight-insertion-sort/)。 2 | -------------------------------------------------------------------------------- /树/二叉树/红黑树/README.md: -------------------------------------------------------------------------------- 1 | 请参考[ Tim 的博客](http://timd.cn/data-structure/red-black-tree/) 2 | -------------------------------------------------------------------------------- /树/霍夫曼树(最优二叉树)/README.md: -------------------------------------------------------------------------------- 1 | 请参考 [Tim 的博客](http://timd.cn/data-structure/huffman-tree/) 2 | -------------------------------------------------------------------------------- /树/二叉树/二叉搜索树/README.md: -------------------------------------------------------------------------------- 1 | 请移步:[Tim 的博客](http://timd.cn/data-structure/binary-search-tree/) 2 | -------------------------------------------------------------------------------- /树/二叉树/平衡二叉树/README.md: -------------------------------------------------------------------------------- 1 | ### 文档 2 | 3 | 请移步[ Tim 的博客](http://timd.cn/data-structure/avl-tree) 4 | 5 | -------------------------------------------------------------------------------- /回溯算法/README.md: -------------------------------------------------------------------------------- 1 | 请参考:[http://timd.cn/data-structure/backtrace/](http://timd.cn/data-structure/backtrace/) 2 | -------------------------------------------------------------------------------- /线性表/快慢指针法/README.md: -------------------------------------------------------------------------------- 1 | ### 示例 2 | 3 | * 求链表的中间节点: 4 | 快指针每次前进 2 步,慢指针每次前进 1 步,当快指针到头时,慢指针到达中间节点 5 | 6 | * 求链表的倒数第 K 个节点: 7 | 快指针先前进 k - 1 步,然后慢指针开始出发 8 | -------------------------------------------------------------------------------- /leetcode/DropEggs问题/drop_eggs.py: -------------------------------------------------------------------------------- 1 | def drop_eggs(n): 2 | i = 0 3 | sum = 0 4 | 5 | while sum < n: 6 | i = i + 1 7 | sum = sum + i 8 | 9 | return i 10 | 11 | -------------------------------------------------------------------------------- /图/DAG-有向无环图/拓扑排序/README.md: -------------------------------------------------------------------------------- 1 | 请参考 [Tim 的博客](http://timd.cn/data-structure/topological-sort/) 2 | 3 | 代码中的测试用例如下图所示: 4 | 5 |  6 | -------------------------------------------------------------------------------- /图/最短路径/Dijkstra算法/README.md: -------------------------------------------------------------------------------- 1 | 请移步 [Tim 的博客](http://timd.cn/data-structure/dijkstra/) 2 | 3 | 代码中使用的测试用例如下图所示: 4 | 5 |  6 | -------------------------------------------------------------------------------- /线性表/逆转单链表/README.md: -------------------------------------------------------------------------------- 1 | ### 三指针法 2 | 3 | * 初始时,p1 指向第一个节点,p2 指向 p1 的下一个节点,设置 p1 的下一个节点为 null 4 | 5 | * 重复执行下面的过程,一直到 p2 为 null 6 | * 令 p3 指向 p2 的下一个节点 7 | * 设置 p2 的下一个节点为 p1 8 | * 令 p1 = p2; p2 = p3 9 | -------------------------------------------------------------------------------- /leetcode/求字符串数组的最长公共前缀/README.md: -------------------------------------------------------------------------------- 1 | ### 问题描述 2 | 3 | 给定一个字符串列表,求这些字符串的最长公共前缀 4 | 5 | --- 6 | 7 | ### 解决方案 8 | 9 | 设置一个初始值为 0 的 cursor,然后比较这些字符串在索引为 cursor 的分量上的字符是否都相等,如果是,则 cursor 前进一步,继续进行判断;否则返回子串 string[0 ... cursor]。 10 | -------------------------------------------------------------------------------- /leetcode/字符串反转/README.md: -------------------------------------------------------------------------------- 1 | 例子: 2 | 3 |
4 | I am a student 5 |6 | 7 | 结果: 8 | 9 |
10 | student a am I 11 |12 | 13 | 解题思路: 14 | 15 | 经过两次反转: 16 | 17 | 第一次: 18 | 19 |
20 | tneduts a ma I 21 |22 | 23 | 第二次: 24 | 25 |
26 | student a am I 27 |28 | -------------------------------------------------------------------------------- /leetcode/最长回文子串/README.md: -------------------------------------------------------------------------------- 1 | 回文字符串是指从左向右读和从右向左读完全相同的字符串。比如 "abba"、"1234321"。 2 | 3 | 对于子串 S[i ... j]: 4 | 5 | * 如果 i > j,那么 S[i ... j] 不是回文子串 6 | 7 | * 如果 i == j,那么 S[i ... j] 是回文子串 8 | 9 | * 如果 S[i] = S[j],那么 S[i ... j] 是否是回文子串,取决于 S[i + 1 ... j - 1] 是否是回文子串 10 | * 当 j = i + 1 时,S[i ... j] 是回文子串 11 | 12 | * 如果 S[i] ≠ S[j],那么 S[i ... j] 不是回文子串 13 | -------------------------------------------------------------------------------- /图/最小生成树/README.md: -------------------------------------------------------------------------------- 1 | 关于 MST,请参考 [Tim 的博客](http://timd.cn/data-structure/mst/) 2 | 3 | 关于并查集,请参考 [Tim 的博客](http://timd.cn/data-structure/union-find/) 4 | 5 | 关于 Prim 算法,请参考 [Tim 的博客](http://timd.cn/data-structure/prim/) 6 | 7 | 关于 Kruskal 算法,请参考 [Tim 的博客](http://timd.cn/data-structure/kruskal/) 8 | 9 | 代码中使用的测试用例如下图所示: 10 | 11 |  12 | -------------------------------------------------------------------------------- /leetcode/K路归并排序/README.md: -------------------------------------------------------------------------------- 1 | ### 问题描述 2 | 3 | 将 K 个有序数组(总元素数为 n),合并成一个新的有序数组 4 | 5 | --- 6 | 7 | ### 解题思路 8 | 9 | * 取出每个数组的第一个元素,建立一个大小为 K 的最小堆 10 | 11 | * 弹出堆顶元素,并将其追加进结果数组 12 | 13 | * 如果堆顶元素所在的数组仍有剩余元素,那么从其中取出下一个元素,放到堆顶;否则将堆的最后一个元素弹出,放到堆顶 14 | 15 | * 调整堆 16 | 17 | * 重复执行上面的过程,一直到堆空 18 | 19 | --- 20 | 21 | ### 时间复杂度 22 | 23 | 调整堆的时间复杂度是 O(logk),需要调整 n 次,所以时间复杂度是 O(nlogk) 24 | 25 | --- 26 | 27 | ### 空间复杂度 28 | 29 | O(n) 30 | -------------------------------------------------------------------------------- /线性表/静态链表/README.md: -------------------------------------------------------------------------------- 1 | ### 简介 2 | 3 | 静态链表**使用足够大的数组存储链表的全部节点**。每个节点包含两个域: 4 | 5 | * 数据域:存储数据元素 6 | 7 | * 游标域:存储直接后继节点在数组中的索引 8 | 9 | 数组中的分量分为两类: 10 | 11 | * 未被使用的分量:被组织在备用链表中 12 | 13 | * 已被使用的分量:被组织在静态链表中 14 | 15 | 静态链表需要实现两个方法: 16 | 17 | * `malloc()`:用于从备用链表中申请节点 18 | 19 | * `free()`:用于将节点放回备用链表 20 | 21 | 静态链表**预先申请空间**,而单链表现用现申请,因此存在申请失败、因申请新空间而导致性能下降等问题。预申请空间的做法非常常见,比如数据库就预先申请数据文件。 22 | -------------------------------------------------------------------------------- /leetcode/最小栈/README.md: -------------------------------------------------------------------------------- 1 | ### 问题描述 2 | 3 | Design a stack that supports push, pop, top, and retrieving the minimum element in constant time. 4 | 5 | * push(x) -- Push element x onto stack. 6 | * pop() -- Removes the element on top of the stack. 7 | * top() -- Get the top element. 8 | * getMin() -- Retrieve the minimum element in the stack. 9 | 10 | --- 11 | 12 | ### 解题思路 13 | 14 | 使用一个变量保存当前的最小值,当 push 一个比当前最小值还要小的元素时,更新最小值。但是当当前最小值被 pop 出去时,需要**恢复到之前的最小值**,解决方法是:在 push 新的最小值时,把老的最小值压入栈,然后更新当前最小值,最后将新的最小值入栈。在 pop 时,如果 pop 出来的元素等于当前最小值,那么再从栈中 pop 出下一个元素,这个元素就是前一个最小值。 15 | 16 | 其基本思想是:**将“路径信息”保存到栈中,在合适的时机将其弹出,以恢复状态**。 17 | -------------------------------------------------------------------------------- /树/二叉树/表达式树/README.md: -------------------------------------------------------------------------------- 1 | ### 中缀表达式转后缀表达式注释1 2 | 3 | 使用栈保存操作符,具体步骤是: 4 | 5 | * 遇到操作数时,直接输出 6 | 7 | * 遇到左括号时,将其压进栈中 8 | 9 | * 遇到右括号时,弹出栈顶的操作符,并输出,直到遇到左括号,并且**左括号不输出,右括号不进栈** 10 | 11 | * 遇到其它操作符时,弹出栈顶的操作符,并输出,直到**栈空**或**栈顶的操作符的优先级小于该操作符的优先级**或**遇到左括号**,**然后将该操作符压进栈中** 12 | 13 | * 最后将栈中的操作符弹出,直到栈空 14 | 15 | --- 16 | 17 | ### 表达式树 18 | 19 | 表达式树的叶子节点是操作数(operand),其它节点是操作符(operator)。 20 | 21 | 下面是将后缀表达式转换成表达式树的方法: 22 | 23 | 从前向后,遇到操作数时,则生成单节点,然后放到栈中;遇到操作符时,则生成一个新节点,并从栈中弹出 2 个元素,同时把这 2 个元素作为新节点的子树,然后将该新节点放进栈中。最后栈中的元素,就是表达式树的根。 24 | 25 | --- 26 | 27 | ### 注释 28 | 29 | * 注释1: 30 | 前缀表达式也叫波兰表达式;后缀表达式也叫逆波兰表达式,这两种表达式的优点是:**不需要使用括号来表达优先级** 31 | -------------------------------------------------------------------------------- /排序算法/冒泡排序/bubble_sort.py: -------------------------------------------------------------------------------- 1 | # coding: utf8 2 | 3 | 4 | def bubble_sort(array): 5 | swapped = True 6 | for end in range(len(array) - 1, 0, -1): 7 | if not swapped: 8 | return 9 | for ind in range(0, end): 10 | if array[ind] > array[ind + 1]: 11 | swapped = True 12 | array[ind], array[ind + 1] = \ 13 | array[ind + 1], array[ind] 14 | 15 | 16 | if __name__ == "__main__": 17 | import random 18 | 19 | elements = list(range(20)) * 2 20 | random.shuffle(elements) 21 | print(elements) 22 | 23 | bubble_sort(elements) 24 | print(elements) 25 | -------------------------------------------------------------------------------- /线性表/README.md: -------------------------------------------------------------------------------- 1 | ### 简介 2 | 3 | **线性表**有两种存储结构: 4 | 5 | **1,顺序存储结构** 6 | 7 | 用一组地址连续的存储单元存储线性表的数据元素。使用顺序存储结构的线性表也叫**顺序表**。顺序表的特点是: 8 | 9 | * 支持**随机存取** 10 | 11 | * 插入、删除数据元素困难: 12 | * 删除某个位置上的数据元素时,需要将其后的所有数据元素,向前移动一个位置 13 | * 向某个位置插入数据元素时,不仅需要将该位置上及其后的所有数据元素,向后移动一个位置,还可能触发**"扩容"** 14 | 15 | **2,链式存储结构** 16 | 17 | 用一组任意的存储单元存储线性表的数据元素。使用链式存储结构的线性表也叫**链表**。链表的每个节点分为两个域: 18 | 19 | * 数据域:用于保存数据元素 20 | 21 | * 指针域:用于保存直接后继节点的存储位置 22 | 23 | 链表的特点是: 24 | 25 | * 不支持随机存取 26 | 27 | * 插入、删除数据元素时,不需要移动数据元素,改变指针即可 28 | 29 | --- 30 | 31 | ### 常用的线性表 32 | 33 | * 单链表 34 | 35 | * 循环链表 36 | 37 | * 双向链表 38 | 39 | * 栈 40 | 41 | * 队列 42 | * 链队列 43 | * 循环队列 44 | 45 | * **静态链表** 46 | -------------------------------------------------------------------------------- /排序算法/直接插入排序/straight_insertion_sort.py: -------------------------------------------------------------------------------- 1 | # coding: utf8 2 | 3 | 4 | def straight_insertion_sort(array): 5 | if len(array) <= 1: 6 | return 7 | 8 | for i in range(1, len(array)): 9 | for j in range(0, i): 10 | if array[j] <= array[i]: 11 | continue 12 | temp = array[i] 13 | # 把 array[j...i-1] 移动到 array[j+1...i] 14 | for ind in range(i, j, -1): 15 | array[ind] = array[ind - 1] 16 | array[j] = temp 17 | break 18 | 19 | 20 | if __name__ == "__main__": 21 | import random 22 | 23 | elements = list(range(20)) * 2 24 | random.shuffle(elements) 25 | print(elements) 26 | 27 | straight_insertion_sort(elements) 28 | print(elements) 29 | -------------------------------------------------------------------------------- /树/二叉树/线索二叉树/README.md: -------------------------------------------------------------------------------- 1 | ### 线索二叉树的原理 2 | 3 | 在二叉树的二叉链表表示法中,有 n 个节点的二叉树,共有 2×n 个指针域,其中非空指针域的数量是 n \- 1,空指针域的数量是 n + 1。 4 | 5 | 试作如下规定: 6 | 7 | * 若节点有左子树,则其左指针域指向其左孩子,否则令其左指针域指向前驱 8 | 9 | * 若节点有右子树,则其右指针域指向其右孩子,否则令其右指针域指向后继 10 | 11 | 为了避免混淆,需要改变节点结构,增加两个标志域:ltag、rtag。 12 | 13 | 其中: 14 | 15 | * ltag == 0 表示左指针域指向节点的左孩子 16 | * ltag == 1 表示左指针域指向节点的前驱 17 | * rtag == 0 表示右指针域指向节点的右孩子 18 | * rtag == 1 表示右指针域指向节点的后继 19 | 20 | 其中指向节点的前驱和后继的指针叫线索,加上线索的二叉树叫线索二叉树,对二叉树以某种次序遍历使其变成线索二叉树的过程叫线索化。 21 | 22 | --- 23 | 24 | ### 构建线索二叉树 25 | 26 | 线索化的实质是将二叉链表中的空指针修改为指向前驱或后继的线索。因为只有在遍历时才能得到前驱和后继的信息,所以线索化的过程是在遍历的过程中,修改节点的空指针: 27 | 28 | 附设一个指针 pre,使其始终指向刚刚被访问过的节点,若指针 p 指向当前正在访问的节点,则 pre 指向它的前驱。 29 | -------------------------------------------------------------------------------- /leetcode/求字符串数组的最长公共前缀/Solution.py: -------------------------------------------------------------------------------- 1 | class Solution(object): 2 | def longestCommonPrefix(self, strs): 3 | """ 4 | :type strs: List[str] 5 | :rtype: str 6 | """ 7 | if not strs: 8 | return "" 9 | if len(strs) == 1: 10 | return strs[0] 11 | i = 0 12 | while True: 13 | continuos = True 14 | for ind in range(0, len(strs)-1): 15 | if i >= len(strs[ind]) or i >= len(strs[ind+1]): 16 | continuos = False 17 | break 18 | if strs[ind][i] != strs[ind+1][i]: 19 | continuos = False 20 | break 21 | if not continuos: 22 | break 23 | i = i + 1 24 | return strs[0][:i] -------------------------------------------------------------------------------- /KMP算法/kmp.py: -------------------------------------------------------------------------------- 1 | # coding: utf8 2 | 3 | 4 | def get_next(pattern): 5 | next_array = [0] * len(pattern) 6 | for ind in range(1, len(pattern)): 7 | j = ind 8 | while j > 0: 9 | j = next_array[j - 1] 10 | if pattern[ind] == pattern[j]: 11 | next_array[ind] = j + 1 12 | break 13 | return next_array 14 | 15 | 16 | def kmp(main_string, pattern): 17 | # 计算 next 数组 18 | next_array = get_next(pattern) 19 | 20 | i = j = 0 21 | while i < len(main_string): 22 | if main_string[i] == pattern[j]: 23 | if j == len(pattern) - 1: 24 | return i - j 25 | i = i + 1 26 | j = j + 1 27 | continue 28 | if j == 0: 29 | i = i + 1 30 | else: 31 | j = next_array[j - 1] 32 | 33 | 34 | if __name__ == "__main__": 35 | print(kmp("bbaaababaabbaabb", "abaabb")) 36 | -------------------------------------------------------------------------------- /README.md: -------------------------------------------------------------------------------- 1 | ### 简介 2 | 3 | 本项目将介绍常见的线性、树形、图状数据结构,并使用Python等进行实现。 4 | 5 | 在开始阅读本项目之前,请先阅读[基本概念](https://github.com/tim-chow/DataStructure/tree/master/%E5%9F%BA%E6%9C%AC%E6%A6%82%E5%BF%B5)。 6 | 7 | --- 8 | 9 | ### 额外说明 10 | 11 | * 对于树的遍历等操作,通常有递归和非递归两种实现,有时非递归实现非常难理解,所以博主总结出一套通过模拟栈和桢,消除递归的方式,更多细节请查看[这篇文档](http://timd.cn/eliminate-recursive/) 12 | * 在开始阅读本项目之前,最好对下面列出的**五种常用算法**有一定的了解: 13 | * 回溯算法 14 | * 动态规划 15 | * 分支限界算法 16 | * 贪心算法 17 | * 分治法 18 | 19 | --- 20 | 21 | ### 作者 22 | 23 | * [timchow](http://timd.cn) 24 | -------------------------------------------------------------------------------- /排序算法/希尔排序/shell_sort.py: -------------------------------------------------------------------------------- 1 | # coding: utf8 2 | 3 | 4 | def shell_sort(array): 5 | gap = len(array) / 2 6 | while gap >= 1: 7 | group_sort(array, gap) 8 | gap = gap / 2 9 | 10 | 11 | def group_sort(array, gap): 12 | n = len(array) 13 | for i in range(gap): 14 | # 对分组进行直接插入排序 15 | j = 1 16 | while i + j * gap < n: 17 | for k in range(0, j): 18 | temp = array[i + j * gap] 19 | if array[i + k * gap] <= temp: 20 | continue 21 | for m in range(j, k, -1): 22 | array[i + m * gap] = array[i + (m - 1) * gap] 23 | array[i + k * gap] = temp 24 | break 25 | j = j + 1 26 | 27 | 28 | if __name__ == "__main__": 29 | import random 30 | 31 | elements = list(range(20)) * 2 32 | random.shuffle(elements) 33 | print(elements) 34 | 35 | shell_sort(elements) 36 | print(elements) 37 | -------------------------------------------------------------------------------- /leetcode/字符串反转/string_reverse.py: -------------------------------------------------------------------------------- 1 | def _string_reverse(chars, from_index=None, end_index=None): 2 | if from_index is None: 3 | from_index = 0 4 | if end_index is None: 5 | end_index = len(chars) - 1 6 | 7 | if from_index > end_index: 8 | return chars 9 | 10 | middle = (from_index + end_index) / 2 11 | for i in range(from_index, middle + 1): 12 | j = end_index + from_index - i 13 | chars[i], chars[j] = chars[j], chars[i] 14 | 15 | return chars 16 | 17 | 18 | def string_reverse(string): 19 | chars = list(string) 20 | chars = _string_reverse(chars) 21 | start = 0 22 | index = 0 23 | while index < len(chars): 24 | if chars[index] == " ": 25 | _string_reverse(chars, start, index - 1) 26 | start = index + 1 27 | index = index + 1 28 | 29 | return "".join(chars) 30 | 31 | 32 | if __name__ == "__main__": 33 | assert string_reverse("I am a student") == "student a am I" 34 | -------------------------------------------------------------------------------- /排序算法/快速排序/QuickSort.py: -------------------------------------------------------------------------------- 1 | # coding: utf8 2 | 3 | 4 | def quick_sort(array, start=None, end=None): 5 | if start is None: 6 | start = 0 7 | if end is None: 8 | end = len(array) - 1 9 | 10 | if start >= end: 11 | return 12 | 13 | # 选择基准元素 14 | base = array[start] 15 | pos = start 16 | 17 | for i in range(start+1, end+1): 18 | if array[i] >= base: 19 | continue 20 | 21 | array[pos] = array[i] 22 | # 将 array[pos+1...i-1] 移动到 array[pos+2...i] 23 | for j in range(i, pos+1, -1): 24 | array[j] = array[j-1] 25 | pos = pos + 1 26 | array[pos] = base 27 | 28 | # 使用快排分别对左右两部分进行排序 29 | quick_sort(array, start, pos-1) 30 | quick_sort(array, pos+1, end) 31 | 32 | 33 | if __name__ == "__main__": 34 | import random 35 | 36 | elements = list(range(20)) 37 | random.shuffle(elements) 38 | print(elements) 39 | 40 | quick_sort(elements) 41 | print(elements) 42 | -------------------------------------------------------------------------------- /线性表/链表是否有环/README.md: -------------------------------------------------------------------------------- 1 | ### 如何判断单链表是否有环 2 | 3 | 设环长为 n,初始时指针 P 和 Q 指向环上的同一个节点。P 每次前进 1 步,Q 每次前进 2 步,则 P 和 Q 下次相遇时: 4 | 5 | * P 走了 i 步,Q 走了 2 × i 步 6 | 7 | * i mod n = 2 × i mod n(i 和 2 × i 模 n 同余) 8 | 即当 i = n 时,P 和 Q 第一次相遇,相遇点是出发点 9 | 10 | 假设 P 落后 Q k 步(因为在环上,因此相当于 P 领先 Q n \- k 步),P 每次前进 1 步,Q 每次前进 2 步,则 P 和 Q 相遇时: 11 | 12 | * P 走了 i 步,Q 走了 2 × i 步 13 | 14 | * i mod n = (2 × i + k) mod n(i 和 2 × i + k 模 n 同余) 15 | 即当 i = n \- k 时,P 和 Q 第一次相遇 16 | 17 | 综上所述,**无论初始时 P 和 Q 指向哪里,只要一个每次前进 1 步,另一个每次前进 2 步,最终都会相遇,并且下次再相遇时,慢指针正好走一圈,快指针正好走两圈**。 18 | 19 | --- 20 | 21 | ### 求连接点 22 | 23 |  24 | 25 | 设链表的第一个节点到连接点的长度是 l,连接点到第一次相遇的节点的长度是 x,则第一次相遇时: 26 | 27 | 慢指针走了 l + x 步,快指针走了 l + x + n × R,并且快指针走的步数是慢指针的两倍,所以: 28 | 29 | 2(l + x) = l + x + nR ===> 30 | 31 | l + x = n × R ===> 32 | 33 | l = (n \- x) + n × (R \- 1) 34 | 35 | **综上所述,从第一个节点到连接点的距离等于第一次相遇的点到连接点的距离 再加上若干圈。** 36 | 37 | 因此,一个指针从相遇点出发,一个指针从第一个节点出发,最终它们会在连接点相遇。 38 | -------------------------------------------------------------------------------- /leetcode/DropEggs问题/README.md: -------------------------------------------------------------------------------- 1 | ### 问题描述 2 | 3 | There is a building of n floors. If an egg drops from the k th floor or above, it will break. If it’s dropped from any floor below, it will not break. 4 | 5 | You’re given two eggs, Find k while minimize the number of drops for the worst case. Return the number of drops in the worst case. 6 | 7 | For n = 10, a naive way to find k is drop egg from 1st floor, 2nd floor … kth floor. But in this worst case (k = 10), you have to drop 10 times. 8 | 9 | Notice that you have two eggs, so you can drop at 4th, 7th & 9th floor, in the worst case (for example, k = 9) you have to drop 4 times. 10 | 11 | Given n = 10, return 4. 12 | 13 | Given n = 100, return 14 14 | 15 | --- 16 | 17 | ### 解题思路 18 | 19 | 因为只有 2 个鸡蛋,所以第一个鸡蛋应该按一定的距离仍,比如 10 楼、20 楼、30 楼等,如果 10 楼和 20 楼没碎,30 楼碎了,那么第二个鸡蛋就要做线性搜索,从 21 楼开始尝试,直到鸡蛋摔碎。在这种方法中,每多扔一次第一个鸡蛋,第二个鸡蛋的线性搜索次数始终是 10,所以我们需要每多扔一次第一个鸡蛋,第二个鸡蛋的线性搜索次数减少 1。设第一次从 X 层仍第一个鸡蛋,第二次从 X + (X - 1) 层仍,...,第 i 次从 X + (X - 1) + ... + (X - i - 1) 层仍 20 | -------------------------------------------------------------------------------- /动态规划/leetcode_416.go: -------------------------------------------------------------------------------- 1 | // leetcode:https://leetcode.cn/problems/partition-equal-subset-sum/description/ 2 | 3 | package main 4 | 5 | import ( 6 | "fmt" 7 | ) 8 | 9 | func canPartition(nums []int) bool { 10 | sum := 0 11 | for _, num := range nums { 12 | sum += num 13 | } 14 | if sum%2 == 1 { 15 | return false 16 | } 17 | W := sum / 2 18 | N := len(nums) 19 | 20 | // 转换成恰好装满的 01 背包问题。状态转移方程是: 21 | // dp[i][j] = dp[i-1][j] || dp[i-1][j-nums[i-1]] 22 | dp := make([]bool, W+1) 23 | dp[0] = true 24 | for i := 1; i <= N; i++ { 25 | for j := W; j >= nums[i-1]; j-- { 26 | dp[j] = dp[j] || dp[j-nums[i-1]] 27 | } 28 | } 29 | 30 | return dp[W] 31 | } 32 | 33 | func main() { 34 | tests := []struct { 35 | nums []int 36 | expected bool 37 | }{ 38 | {[]int{1, 5, 11, 5}, true}, 39 | {[]int{1, 2, 3, 5}, false}, 40 | } 41 | 42 | for _, test := range tests { 43 | result := canPartition(test.nums) 44 | if result != test.expected { 45 | panic(fmt.Sprintf("nums: %s got %v, but %v expected", test.nums, result, test.expected)) 46 | } 47 | } 48 | } 49 | 50 | -------------------------------------------------------------------------------- /leetcode/最小栈/min_stack.py: -------------------------------------------------------------------------------- 1 | import sys 2 | 3 | 4 | class MinStack(object): 5 | def __init__(self): 6 | self._stack = [] 7 | self._min_value = sys.maxint 8 | 9 | def push(self, x): 10 | if x < self._min_value: 11 | self._stack.append(self._min_value) 12 | self._min_value = x 13 | self._stack.append(x) 14 | 15 | def pop(self): 16 | value = self._stack.pop(-1) 17 | if value == self._min_value: 18 | self._min_value = self._stack.pop(-1) 19 | return value 20 | 21 | def top(self): 22 | return self._stack[-1] 23 | 24 | def getMin(self): 25 | return self._min_value 26 | 27 | 28 | if __name__ == "__main__": 29 | import unittest 30 | import random 31 | 32 | class MinStackTest(unittest.TestCase): 33 | def testMinStack(self): 34 | min_stack = MinStack() 35 | elements = list(range(1, 100)) 36 | random.shuffle(elements) 37 | for element in elements: 38 | min_stack.push(element) 39 | self.assertEqual(min_stack.getMin(), 1) 40 | 41 | unittest.main() 42 | -------------------------------------------------------------------------------- /树/二叉树/根据二叉树的先序、中序、后序序列还原二叉树/README.md: -------------------------------------------------------------------------------- 1 | ### 基本思想 2 | 3 | 将序列中的元素从 1 开始编号 4 | 5 | * 先序遍历的第 1 个节点和后序遍历是最后一个节点一定是根节点 6 | * 当根节点是中序遍历的第 1 个节点时,说明根节点的左子树为空,先序遍历的第 2 个节点是根节点的右孩子节点 7 | * 当根节点是中序遍历的最后一个节点时,说明根节点的右子树为空,先序遍历的第 2 个节点是根节点的左孩子节点 8 | * 否则,根节点的左右子树都不为空 ,先序遍历的第 2 个节点是根节点的左孩子,后续遍历的倒数第二个节点是根节点的右孩子 9 | 10 | 通过上面的推断,可以找到根节点及其左右孩子节点,并建立三者之间的关系。接下来只要找到左子树和右子树的先序、中序、后序序列,然后用上面的方式递归地处理就可以将所有节点之间的关系建立起来。 11 | 12 | 根据先序、中序、后序序列获取左右子树的先序,中序,后序序列的方法如下: 13 | 14 | * 如果根节点的左子树为空,则先序序列从第 2 个到最后一个元素之间的子序列是右子树的先序序列 15 | 16 | * 如果根节点的左子树为空,则中序序列从第 2 个到最后一个元素之间的子序列是右子树的中序序列 17 | 18 | * 如果根节点的左子树为空,则后序序列从第 1 个到倒数第二个元素之间的子序列是右子树的后序序列 19 | 20 | * 如果根节点的右子树为空,则先序序列从第 2 个到最后一个元素之间的子序列是左子树的先序序列 21 | 22 | * 如果根节点的右子树为空,则中序序列从第 1 个到倒数第二个元素之间的子序列是左子树的中序序列 23 | 24 | * 如果根节点的右子树为空,则后序序列从第 1 个到倒数第二个元素之间的子序列是左子树的后序序列 25 | 26 | * 否则 27 | * 找到根的右孩子节点在先序序列中的位置 pos,则先序序列从第 2 个到第 pos \- 1 个元素之间的子序列是左子树的先序序列;先序序列从第 pos 个到最后一个元素之间的子序列是右子树的先序序列 28 | * 找到根节点在中序序列中的位置 pos,则中序序列从第 1 个到第 pos \- 1 个元素之间的子序列是左子树的中序序列;中序序列从第 pos + 1 个到最后一个元素之间的子序列是右子树的中序序列 29 | * 找到根的左孩子节点在后序序列中的位置 pos,则后序序列从第 1 个到第 pos 个元素之间的子序列是左子树的后序序列;后序序列从第 pos + 1 个到倒数第二个元素之间的子序列是右子树的后序序列 30 | -------------------------------------------------------------------------------- /图/最小生成树/graph.py: -------------------------------------------------------------------------------- 1 | # coding: utf8 2 | 3 | 4 | class HeadNode(object): 5 | def __init__(self, element): 6 | self.element = element 7 | self.next_node = None 8 | 9 | 10 | class AdjacentNode(object): 11 | def __init__(self, index, weight): 12 | self.index = index 13 | self.weight = weight 14 | self.next_node = None 15 | 16 | 17 | class Graph(object): 18 | def __init__(self): 19 | self._vertexes = [] 20 | 21 | def add_vertex(self, element): 22 | self._vertexes.append(HeadNode(element)) 23 | 24 | def add_edge(self, tail, head, weight): 25 | for i, j in [(tail, head), (head, tail)]: 26 | node = self._vertexes[i] 27 | while node.next_node is not None: 28 | if node.next_node.index == j: 29 | node.next_node.weight = weight 30 | break 31 | node = node.next_node 32 | else: 33 | node.next_node = AdjacentNode(j, weight) 34 | 35 | def get_vertex_count(self): 36 | return len(self._vertexes) 37 | 38 | def get_vertex(self, index): 39 | return self._vertexes[index] 40 | -------------------------------------------------------------------------------- /排序算法/快速排序/quick_sort.go: -------------------------------------------------------------------------------- 1 | package main 2 | 3 | import ( 4 | "fmt" 5 | ) 6 | 7 | func quickSort(a []int, start, end int) { 8 | if start >= end { 9 | return 10 | } 11 | pos := partition(a, start, end) 12 | quickSort(a, start, pos-1) 13 | quickSort(a, pos+1, end) 14 | } 15 | 16 | func partition(a []int, start, end int) int { 17 | if start > end { 18 | panic("start should more than end") 19 | } 20 | 21 | pivot := a[start] 22 | index := start // pivot 所在的位置 23 | for start < end { 24 | for end > start { 25 | if a[end] >= pivot { 26 | end -= 1 27 | } else { 28 | a[index], a[end] = a[end], a[index] 29 | start += 1 30 | index = end 31 | break 32 | } 33 | } 34 | 35 | for start < end { 36 | if a[start] <= pivot { 37 | start += 1 38 | } else { 39 | a[start], a[index] = a[index], a[start] 40 | end -= 1 41 | index = start 42 | break 43 | } 44 | } 45 | } 46 | return index 47 | } 48 | 49 | func QuickSort(a []int) { 50 | if len(a) == 0 { 51 | return 52 | } 53 | quickSort(a, 0, len(a)-1) 54 | } 55 | 56 | func main() { 57 | a := []int{3, 2, 9, -1, 88, 66, 1, 33, -3, 33, 88, 2, 9, 3} 58 | QuickSort(a) 59 | fmt.Println(a) 60 | } 61 | -------------------------------------------------------------------------------- /搜索算法/二分查找/BinarySearch.py: -------------------------------------------------------------------------------- 1 | def binary_search_recursive(array, target, low=None, high=None): 2 | if low is None: 3 | low = 0 4 | if high is None: 5 | high = len(array) - 1 6 | 7 | if low > high: 8 | return -1 9 | 10 | mid = (low + high) / 2 11 | if target == array[mid]: 12 | return mid 13 | if target < array[mid]: 14 | return binary_search_recursive(array, target, low, mid - 1) 15 | return binary_search_recursive(array, target, mid + 1, high) 16 | 17 | 18 | def binary_search(array, target): 19 | low = 0 20 | high = len(array) - 1 21 | 22 | while low <= high: 23 | mid = (low + high) / 2 24 | if target == array[mid]: 25 | return mid 26 | elif target < array[mid]: 27 | high = mid - 1 28 | else: 29 | low = mid + 1 30 | 31 | return -1 32 | 33 | 34 | def test(): 35 | array = list(range(20)) 36 | for ind, element in enumerate(array): 37 | assert binary_search(array, element) == ind 38 | assert binary_search_recursive(array, element) == ind 39 | assert binary_search(array, -1) == -1 40 | 41 | 42 | if __name__ == "__main__": 43 | test() 44 | -------------------------------------------------------------------------------- /leetcode/最长回文子串/palindrome.py: -------------------------------------------------------------------------------- 1 | def dp(string): 2 | p = [] 3 | for ind in range(len(string)): 4 | p.append([]) 5 | for _ in range(len(string)): 6 | p[ind].append(None) 7 | 8 | def _dp(i, j): 9 | if p[i][j] is not None: 10 | return p[i][j] 11 | if i > j: 12 | p[i][j] = False 13 | return False 14 | if i == j: 15 | p[i][j] = True 16 | return True 17 | if string[i] != string[j]: 18 | p[i][j] = False 19 | return False 20 | if j == i + 1: 21 | p[i][j] = True 22 | return True 23 | p[i][j] = _dp(i + 1, j - 1) 24 | return p[i][j] 25 | 26 | for i in range(len(string)): 27 | for j in range(len(string) - 1, i - 1, -1): 28 | _dp(i, j) 29 | 30 | longest = None 31 | for i in range(len(p)): 32 | for j in range(len(p[i]) - 1, i - 1, -1): 33 | if p[i][j] is not None and p[i][j]: 34 | if longest is None or (j - i) > longest[1] - longest[0]: 35 | longest = i, j 36 | 37 | return longest 38 | 39 | 40 | if __name__ == "__main__": 41 | print(dp("abba2c1abba1d1")) 42 | -------------------------------------------------------------------------------- /排序算法/选择排序/selection_sort.py: -------------------------------------------------------------------------------- 1 | # coding: utf8 2 | 3 | 4 | def selection_sort(array): 5 | n = len(array) 6 | if n <= 1: 7 | return 8 | 9 | for i in range(1, n / 2 + 1): 10 | start_index = i - 1 11 | end_index = n - i 12 | min_index, max_index = select_min_and_max( 13 | array, start_index, end_index) 14 | 15 | min_element = array[min_index] 16 | max_element = array[max_index] 17 | start_element = array[start_index] 18 | end_element = array[end_index] 19 | 20 | array[start_index] = min_element 21 | array[end_index] = max_element 22 | array[min_index] = start_element 23 | array[max_index] = end_element 24 | 25 | 26 | def select_min_and_max(array, start, end): 27 | assert start < end 28 | min_index = start 29 | max_index = start 30 | 31 | for ind in range(start + 1, end + 1): 32 | if array[ind] <= array[min_index]: 33 | min_index = ind 34 | elif array[ind] >= array[max_index]: 35 | max_index = ind 36 | 37 | return min_index, max_index 38 | 39 | 40 | if __name__ == "__main__": 41 | import random 42 | 43 | elements = [1, 0, 0, 0, 0, 0] 44 | print(elements) 45 | 46 | selection_sort(elements) 47 | print(elements) 48 | -------------------------------------------------------------------------------- /图/DAG-有向无环图/关键路径/README.md: -------------------------------------------------------------------------------- 1 | ### 基本概念 2 | 3 | AOE 网(Activity On Edge Network)是使用: 4 | 5 |
16 | T(n) = 2 * T(n / 2) + n ===> 17 | T(n) = 2 * (2 * T(n / 4) + n / 2) + n ===> 18 | T(n) = 4 * T(n / 4) + 2 * n ===> 19 | T(n) = 4 * (2 * T(n / 8) + n / 4) + 2 * n ===> 20 | T(n) = 8 * T(n / 8) + 3 * n ===> 21 | ... 22 | T(n) = 2m * T(n / 2m) + m * n 23 | 24 | 且 T(1) = 1,所以当 2m -> n,即 m = log2n 时,T(n) = n + n * log2n 25 | 26 | 所以,时间复杂度是 O(nlogn) 27 |28 | 29 | **当数组是倒序的,并且选择第一个元素作为基准元素时**,一次排序下来会置换 n - 1 次元素,并且数组被分为两部分,左面的部分有 n - 1 个元素,右面的部分有 0 个元素。时间复杂度是: 30 | 31 |
32 | T(n) = T(n - 1) + T(0) + n - 1===> 33 | T(n) = (T(n - 2) + T(0) + n - 2) + T(0) + n - 1 ===> 34 | T(n) = T(n - 2) + 2 * T(0) + (n - 1) + (n - 2) ===> 35 | T(n) = (T(n - 3) + T(0) + n - 3) + 2 * T(0) + (n - 1) + (n - 2) ===> 36 | T(n) = T(n - 3) + 3 * T(0) + (n - 1) + (n - 2) + (n - 3) ===> 37 | ... 38 | T(n) = T(n - m) + m * T(0) + (n - 1) + (n - 2) + ... + (n - m) 39 | 40 | 且 T(1) = 1,所以当 m -> n - 1 时,T(n) = T(1) + (n - 1) * T(0) + (n - 1) + ... + 1 = n + n * (n - 1) / 2 = n2 / 2 + n / 2 41 | 42 | 所以时间复杂度是 O(n2) 43 |44 | 45 | 在一趟排序中,快排耗费的空间是常数级的,但是需要递归 logn 到 n 次,所以空间复杂度在最好的情况下是 O(logn),在最坏情况下是 O(n)。 46 | -------------------------------------------------------------------------------- /线性表/栈及其应用/README.md: -------------------------------------------------------------------------------- 1 | ### 栈 2 | 3 | 栈是一种**操作受限的线性表**: 4 | 5 | * 只允许在栈顶插入数据元素 6 | 7 | * 只允许删除、查询栈顶的数据元素 8 | 9 | 栈有两种实现方式: 10 | 11 | * 顺序栈 12 | 13 | * 链栈 14 | 15 | 栈有两个指针: 16 | 17 | * base:指向栈底 18 | 19 | * top:指向栈顶 20 | 21 | 当栈底和栈顶重合时,栈为空 22 | 23 | 顺序栈的栈顶减去栈底等于栈的大小 24 | 25 | --- 26 | 27 | ### 栈的应用 28 | 29 | * 十进制数转换成 K 进制数 30 | 除基取余,倒序排列 31 | 32 | * 判断括号是否成对出现 33 | * 遇到左括号,将其压入栈 34 | * 遇到右括号,将栈顶的数据元素弹出,并判断是否匹配 35 | * 检查栈是否为空 36 | 37 | --- 38 | 39 | ### 栈的应用:翻转字符串里的单词 40 | 41 | **原题地址:** 42 | 43 | [https://leetcode-cn.com/problems/reverse-words-in-a-string/](https://leetcode-cn.com/problems/reverse-words-in-a-string/) 44 | 45 | **Python 实现:** 46 | 47 |
48 | class Solution(object):
49 | def reverseWords(self, s):
50 | """
51 | :type s: str
52 | :rtype: str
53 | """
54 | words = []
55 |
56 | stack1 = []
57 | for char in s:
58 | stack1.append(char)
59 |
60 | stack2 = []
61 | while stack1:
62 | char = stack1.pop()
63 | if char != " ":
64 | stack2.append(char)
65 | else:
66 | word = []
67 | while stack2:
68 | word.append(stack2.pop())
69 | if word:
70 | words.append("".join(word))
71 |
72 | if stack2:
73 | word = []
74 | while stack2:
75 | word.append(stack2.pop())
76 | words.append("".join(word))
77 | return " ".join(words)
78 |
79 |
--------------------------------------------------------------------------------
/树/树与等价关系/MFSet.py:
--------------------------------------------------------------------------------
1 | # coding: utf8
2 |
3 |
4 | class Node(object):
5 | def __init__(self, element):
6 | self.element = element
7 | self.parent = -1
8 |
9 | def __str__(self):
10 | return "%s{element=%s, parent=%d}" % (
11 | self.__class__.__name__,
12 | self.element,
13 | self.parent)
14 |
15 | __repr__ = __str__
16 |
17 |
18 | class MFSet(object):
19 | def __init__(self, s, r):
20 | self._nodes = [Node(e) for e in s]
21 | self._r = r
22 | self.divide()
23 |
24 | def find_root(self, x):
25 | temp = x
26 | while self._nodes[temp].parent >= 0:
27 | temp = self._nodes[temp].parent
28 | return temp
29 |
30 | def merge(self, x, y):
31 | si = self.find_root(x)
32 | sj = self.find_root(y)
33 | if si == sj:
34 | return
35 |
36 | node_si = self._nodes[si]
37 | node_sj = self._nodes[sj]
38 |
39 | if -1 * node_si.parent >= -1 * node_sj.parent:
40 | node_si.parent = node_si.parent + node_sj.parent
41 | node_sj.parent = si
42 | else:
43 | node_sj.parent = node_si.parent + node_sj.parent
44 | node_si.parent = sj
45 |
46 | def divide(self):
47 | for x, y in self._r:
48 | self.merge(x, y)
49 |
50 | @property
51 | def nodes(self):
52 | return self._nodes
53 |
54 |
55 | if __name__ == "__main__":
56 | s = [0, 1, 2, 3, 4, 5]
57 | r = [(0, 2), (2, 4), (1, 3), (3, 5)]
58 | mfset = MFSet(s, r)
59 | print(mfset.nodes)
60 |
--------------------------------------------------------------------------------
/动态规划/README.md:
--------------------------------------------------------------------------------
1 | ### 动态规划
2 |
3 | 动态规划用于求解多阶段决策问题的最优解。
4 |
5 | 其基本思想和分治法类似注释1,都是先将待求解问题划分成若干个子问题(阶段),然后从初始状态开始,顺序求解子问题,每个子问题的决策都依赖当前状态,并且在作出决策之后,又会引起状态的转移。一个决策序列就是在状态的变化中产生出来的。在求解任一子问题的时候,需要列出所有可能的局部解,然后通过决策保留那些有可能到达全局最优解的局部解,丢弃其它局部解。按此方式,依次解决各个子问题,一直到达结束状态。
6 |
7 | 能够使用动态规划求解的问题,一般具有以下三个性质:f(i, j) = max{f(i-1, j), f(i-1, j-w[i]) + c[i]}(其中 f(i, j) 表示将前 i 个物品放进总重量为 j 的背包中所能获得的最大价值)28 | DataStructure = (D, S) 29 |30 | 31 | 其中:D是数据元素的有限集,S是D上的关系的有限集。 32 | 33 | 通俗地讲,**数据结构是相互之间存在一种或多种特定关系的数据元素的有限集**。根据数据元素之间的关系,数据结构分为: 34 | 35 | * 集合结构 36 | 集合中的数据元素,除了“同属一个集合”之外,别无其它关系 37 | * 线性结构 38 | 线性结构中的数据元素,存在一对一的关系 39 | * 树形结构 40 | 树形结构中的数据元素,存在一对多的关系 41 | * 图状结构或网状结构 42 | 图状结构中的数据元素,存在多对多的关系 43 | 44 | 比如,数据结构*科研课题小组*,其成员包括:1名教师、1-3名研究生、1-6名本科生。这些成员之间的关系是:教师指导研究生,每名研究生指导1-2名本科生。 45 | 46 | --- 47 | 48 | ### 存储结构 49 | 50 | 数据结构在计算机中的表示,叫做存储结构或物理结构。它包括数据元素的表示和关系的表示。 51 | 52 | 计算机存储信息的基本单位是bit,因此,可以使用一组连续的位串来表示数据元素,这个位串叫**元素**或**节点**。如果一个数据元素由多个数据项组成,那么每个数据项对应的子位串叫**数据域**。 53 | 54 | 数据元素之间的关系在计算机中有两种表示方式:**顺序映像**和**非顺序映像**。由此得到两种不同的存储结构:**顺序存储结构**和**链式存储结构**。 55 | 56 | 在顺序存储结构中,数据元素存储在连续的存储单元上,然后**用元素的相对位置描述它们之间的关系**,比如:把一颗完全二叉树存储到一段连续的存储单元上,那么索引为0的位置上的元素就是根节点,索引为i的位置上的元素的左孩子节点的索引是2\*i+1、右孩子节点的索引是2\*i + 2,索引为i的位置上的元素的父节点是floor((i - 1) / 2)。 57 | 58 | 在链式存储结构中,借助指示元素存储位置的指针,来描述元素之间的关系。比如:在二叉树的链式存储结构中,每个节点分为三部分:数据域、左指针、右指针,其中左指针指向左孩子节点,右指针指向右孩子节点。 59 | 60 | --- 61 | 62 | ### 数据结构和数据类型之间的关系 63 | 64 | 因为我们通常使用高级程序设计语言进行编程,所以我们就需要使用高级程序设计语言中的**数据类型**来描述存储结构。比如在Java和Python中,分别使用数组和List来描述线性存储结构;使用引用来描述链式存储结构。 65 | 66 | --- 67 | 68 | ### 数据类型 69 | 70 | 数据类型是一个值的集合和定义在这个值集上的操作集的总称。比如整型数据类型是由某个范围内的整数所组成的,定义在其上操作包括加、减、乘、除、取余等。 71 | 72 | 数据类型通常分为两大类: 73 | 74 | * 原子类型(标量类型) 75 | 原子类型不可再分。比如整型、浮点型、布尔类型、字符类型等 76 | * 结构类型(矢量类型、容器类型) 77 | 结构类型的值是可以分解。其成分既可以是结构的、也可以是非结构的 78 | 79 | 引入数据类型的目的有两方面: 80 | 81 | * 站在硬件角度看,数据类型用来解释内存中的二进制位串的含义 82 | * 站在用户角度看,数据类型实现了信息的隐藏,它隐藏了一切用户不必了解的细节。比如用户不必了解整型在内存中是如何存储的,以及加减乘除等操作是如何实现的 83 | 84 | --- 85 | 86 | ### 抽象数据类型(ADT) 87 | 88 | **抽象数据类型和数据类型本质上是一个概念**。但是ADT强调数据类型的数学抽象,并且抽象数据类型的应用范畴更广,因为它不仅包括处理器定义和实现的固有数据类型,还包括用户在软件设计过程中自定义的数据类型。 89 | 90 | 抽象数据类型是一个三元组: 91 | 92 |
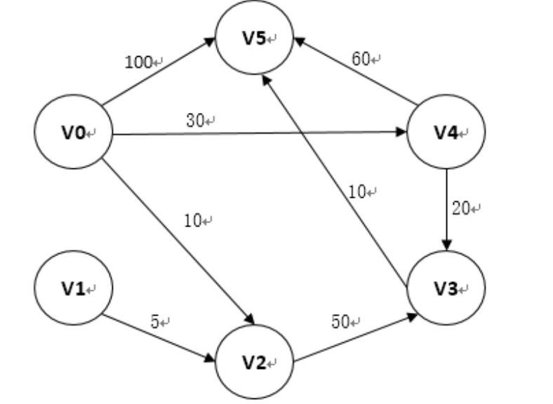
93 | ADT = (D, S, P) 94 |95 | 96 | 其中:D是数据对象,S是D上的关系集,P是对D的操作集。 97 | 98 | 详情,可以参考:[这篇文档](https://www.xuebuyuan.com/3187404.html)。 99 | 100 | --- 101 | 102 | ### 算法 103 | 104 | 算法是**用来求解某类问题的有限指令序列**。算法有五个特征: 105 | 106 | * 输入 107 | 算法有零个或多个输入 108 | * 输出 109 | 算法有一个或多个输出。输入会决定输出 110 | * 有穷性 111 | 算法必须在执行有穷步之后结束,并且每步都可以在有穷时间内执行完 112 | * 确定性 113 | 对于相同的输入,只能得到相同的输出 114 | * 可行性 115 | 算法中描述的步骤必须可以基于已经存在的基本运算执行若干次来实现 116 | 117 | --- 118 | 119 | ### 时间复杂度 120 | 121 | 算法由控制结构(顺序、分支、循环)和原操作(固有数据类型的操作)组成,算法的执行时间取决于两者的综合效果。 122 | 123 | 在比较解决同一问题的不同算法时,通常先选择一种或多种对于算法来说是**基本操作**的原操作(通常选择最深层循环中的原操作作为基本操作),然后把该基本操作的重复执行次数(**频度**)作为算法的时间度量。 124 | 125 | 通常情况下,基本操作的频度是问题规模n的函数f(n),算法的时间度量记作: 126 | 127 |
128 | T(n) = O(f(n)) 129 |130 | 131 | 它表示随着问题规模n的增长,f(n)的**增长率**和算法执行时间的**增长率**相同,称其为算法的渐近时间复杂度,简称时间复杂度。 132 | 133 | 随着输入的不同,基本操作的重复执行次数也会不同。因此,在讨论算法的时间复杂度时,通常指的是算法在最坏的情况下的时间复杂度。 134 | 135 | 算法除了有时间度量之外,还有空间度量,也就是所谓的空间复杂度,记作: 136 | 137 |
138 | S(n) = O(f(n)) 139 |140 | 141 | 它表示,随着问题规模n的增长,算法所使用的**额外空间**的**增长率**和f(n)的增长率相同。 142 | -------------------------------------------------------------------------------- /图/最短路径/Dijkstra算法/dijkstra.py: -------------------------------------------------------------------------------- 1 | # coding: utf8 2 | 3 | 4 | class HeadNode(object): 5 | def __init__(self, element): 6 | self.element = element 7 | self.next_node = None 8 | 9 | 10 | class AdjacentNode(object): 11 | def __init__(self, index, weight): 12 | self.index = index 13 | self.weight = weight 14 | self.next_node = None 15 | 16 | 17 | class Graph(object): 18 | def __init__(self): 19 | self._vertexes = [] 20 | 21 | def add_vertex(self, element): 22 | self._vertexes.append(HeadNode(element)) 23 | 24 | def add_edge(self, tail, head, weight): 25 | for i, j in [(tail, head), (head, tail)]: 26 | node = self._vertexes[i] 27 | while node.next_node is not None: 28 | if node.next_node.index == j: 29 | node.next_node.weight = weight 30 | break 31 | node = node.next_node 32 | else: 33 | node.next_node = AdjacentNode(j, weight) 34 | 35 | def get_vertex_count(self): 36 | return len(self._vertexes) 37 | 38 | def get_vertex(self, index): 39 | return self._vertexes[index] 40 | 41 | 42 | def dijkstra(graph, source=0): 43 | """ 44 | Dijkstra 算法实现 45 | """ 46 | vertex_count = graph.get_vertex_count() 47 | 48 | # A 保存已经计算出最短路径的顶点集,初始时,A 中只包含源点 49 | A = [source] 50 | # B 保存尚未计算出最短路径的顶点集,初始时,B 中包含除源点外的其它所有顶点 51 | B = set([index for index in range(vertex_count) if index != source]) 52 | 53 | # D 的每个分量保存一个顶点的最短路径,初始时,源点的最短路径是 0 54 | D = [None] * vertex_count 55 | D[source] = 0 56 | 57 | # 初始化 Destimate 数组 58 | Destimate = [None] * vertex_count 59 | node = graph.get_vertex(source).next_node 60 | while node is not None: 61 | Destimate[node.index] = node.weight 62 | node = node.next_node 63 | # 0 表示顶点已经被加入到 A 中 64 | Destimate[source] = 0 65 | 66 | while B: 67 | # 找出 estimate 值最小的顶点 m 68 | lowest_estimate = None 69 | for index, estimate in enumerate(Destimate): 70 | if estimate == 0 or estimate is None: 71 | continue 72 | if lowest_estimate is None or estimate < lowest_estimate[1]: 73 | lowest_estimate = (index, estimate) 74 | m = lowest_estimate[0] 75 | 76 | # 将 m 从 B 中移除 77 | B.remove(m) 78 | # 并将其加入到 A 中 79 | A.append(lowest_estimate[0]) 80 | # D[m] = Destimate[m] 81 | D[m] = Destimate[m] 82 | 83 | # 更新 Destimte 数组 84 | Destimate[m] = 0 85 | node = graph.get_vertex(m).next_node 86 | while node is not None: 87 | if Destimate[node.index] == 0: 88 | node = node.next_node 89 | continue 90 | if Destimate[node.index] is None or (D[m] + node.weight) < Destimate[node.index]: 91 | Destimate[node.index] = D[m] + node.weight 92 | node = node.next_node 93 | 94 | return D 95 | 96 | 97 | def test(): 98 | g = Graph() 99 | for index in range(6): 100 | g.add_vertex(index) 101 | for edge in [(0, 2, 10), (0, 4, 30), (0, 5, 100), 102 | (1, 2, 5), (2, 3, 50), (3, 5, 10), 103 | (4, 3, 20), (4, 5, 60)]: 104 | g.add_edge(*edge) 105 | 106 | d = dijkstra(g) 107 | print(d) 108 | 109 | 110 | if __name__ == "__main__": 111 | test() 112 | -------------------------------------------------------------------------------- /排序算法/快速排序/quick_sort_linked_list.py: -------------------------------------------------------------------------------- 1 | # coding: utf8 2 | 3 | 4 | class Node(object): 5 | def __init__(self, key, prev_node=None, next_node=None): 6 | self.key = key 7 | self.prev_node = prev_node 8 | self.next_node = next_node 9 | 10 | 11 | def partition(linked_list): 12 | if linked_list.next_node is None: 13 | return None, linked_list, None 14 | 15 | left = None 16 | temp = linked_list.next_node 17 | while temp is not None: 18 | if temp.key >= linked_list.key: 19 | temp = temp.next_node 20 | continue 21 | 22 | # 把 temp 移到 left 23 | prev_node = temp.prev_node 24 | next_node = temp.next_node 25 | prev_node.next_node = next_node 26 | if next_node is not None: 27 | next_node.prev_node = prev_node 28 | 29 | if left is None: 30 | left = temp 31 | left.prev_node = None 32 | left.next_node = None 33 | else: 34 | left_next = left.next_node 35 | if left_next is not None: 36 | left_next.prev_node = temp 37 | left.next_node = temp 38 | temp.prev_node = left 39 | temp.next_node = left_next 40 | 41 | temp = next_node 42 | 43 | right = linked_list.next_node 44 | if right is not None: 45 | right.prev_node = None 46 | 47 | linked_list.next_node = None 48 | 49 | return left, linked_list, right 50 | 51 | 52 | def print_linked_list(linked_list): 53 | if linked_list is None: 54 | return 55 | temp = linked_list 56 | keys = [] 57 | while temp is not None: 58 | keys.append(temp.key) 59 | temp = temp.next_node 60 | print(" ".join(map(str, keys))) 61 | 62 | 63 | def quick_sort(linked_list): 64 | if linked_list is None or linked_list.next_node is None: 65 | return linked_list 66 | 67 | left, linked_list, right = partition(linked_list) 68 | 69 | if left is not None: 70 | left = quick_sort(left) 71 | if right is not None: 72 | right = quick_sort(right) 73 | 74 | head = linked_list 75 | if left is not None: 76 | head = left 77 | while left.next_node is not None: 78 | left = left.next_node 79 | left.next_node = linked_list 80 | linked_list.prev_node = left 81 | linked_list.next_node = right 82 | if right is not None: 83 | right.prev_node = linked_list 84 | 85 | return head 86 | 87 | 88 | def check_sorted_linked_list(linked_list): 89 | p1 = linked_list 90 | while p1 is not None and p1.next_node is not None: 91 | p2 = p1.next_node 92 | if p1.key > p2.key: 93 | return False 94 | p1 = p2 95 | return True 96 | 97 | 98 | def test(): 99 | import random 100 | 101 | # 元素数量 102 | N = 100 103 | 104 | elements = range(N) 105 | # 将元素打乱 106 | random.shuffle(elements) 107 | 108 | # 生成链表 109 | nodes = [] 110 | for element in elements: 111 | nodes.append(Node(element)) 112 | for ind in range(N - 1): 113 | nodes[ind].next_node = nodes[ind + 1] 114 | nodes[ind + 1].prev_node = nodes[ind] 115 | linked_list = nodes[0] 116 | del nodes 117 | 118 | head = quick_sort(linked_list) 119 | assert check_sorted_linked_list(head) 120 | 121 | 122 | if __name__ == "__main__": 123 | for i in range(20): 124 | test() 125 | -------------------------------------------------------------------------------- /leetcode/K路归并排序/k_way_merge_sort.py: -------------------------------------------------------------------------------- 1 | # coding: utf8 2 | 3 | 4 | class MinHeap(object): 5 | @staticmethod 6 | def adjust(heap, start=None, end=None): 7 | if start is None: 8 | start = 0 9 | if end is None: 10 | end = len(heap) - 1 11 | 12 | get_left_child = lambda ind: 2 * ind + 1 13 | get_right_child = lambda ind: 2 * ind + 2 14 | 15 | index = start 16 | while index >= 0: 17 | left_child_index = get_left_child(index) 18 | right_child_index = get_right_child(index) 19 | if left_child_index > end: 20 | break 21 | if right_child_index > end: 22 | if heap[index] > heap[left_child_index]: 23 | heap[index], heap[left_child_index] = \ 24 | heap[left_child_index], heap[index] 25 | break 26 | 27 | if heap[index] <= heap[left_child_index] and \ 28 | heap[index] <= heap[right_child_index]: 29 | break 30 | if heap[right_child_index] > heap[left_child_index]: 31 | heap[index], heap[left_child_index] = \ 32 | heap[left_child_index], heap[index] 33 | index = left_child_index 34 | else: 35 | heap[index], heap[right_child_index] = \ 36 | heap[right_child_index], heap[index] 37 | index = right_child_index 38 | 39 | @classmethod 40 | def heapify(cls, heap): 41 | for ind in range(len(heap)/2, -1, -1): 42 | cls.adjust(heap, ind) 43 | 44 | 45 | class Node(object): 46 | def __init__(self, cursor, array): 47 | self.cursor = cursor 48 | self.array = array 49 | 50 | def __cmp__(self, other): 51 | diff = self.array[self.cursor] - other.array[other.cursor] 52 | if diff > 0: 53 | return 1 54 | elif diff == 0: 55 | return 0 56 | else: 57 | return -1 58 | 59 | def get_next_node(self): 60 | if self.cursor >= len(self.array) - 1: 61 | return None 62 | return Node(self.cursor + 1, self.array) 63 | 64 | def get_element(self): 65 | return self.array[self.cursor] 66 | 67 | 68 | def k_way_merge_sort(arrays): 69 | result = [None] * sum([len(array) for array in arrays]) 70 | # 取每个数组的第一个元素,建立一个最小堆 71 | heap = [Node(0, array) for array in arrays] 72 | MinHeap.heapify(heap) 73 | 74 | index = 0 75 | k = len(arrays) - 1 76 | 77 | while True: 78 | # 弹出堆顶元素 79 | node = heap[0] 80 | result[index] = node.get_element() 81 | index = index + 1 82 | 83 | # 如果堆顶元素所在的数组仍有剩余元素,那么从其中取下一个元素,然后放到堆顶 84 | next_node = node.get_next_node() 85 | if next_node is not None: 86 | heap[0] = next_node 87 | # 调整堆 88 | MinHeap.adjust(heap, 0, k) 89 | continue 90 | 91 | # 如果堆空,则退出 92 | if k == 0: 93 | break 94 | 95 | # 否则将堆的最后一个元素弹出,然后放到堆顶 96 | heap[0] = heap[k] 97 | # 调整堆 98 | k = k - 1 99 | MinHeap.adjust(heap, 0, k) 100 | 101 | return result 102 | 103 | 104 | def test(): 105 | arrays = [] 106 | for ind in range(1, 10): 107 | array = range(100 * ind, 100 * ind + 100) 108 | arrays.append(array) 109 | result = k_way_merge_sort(arrays) 110 | for ind in range(0, len(result) - 1): 111 | assert result[ind] <= result[ind + 1] 112 | 113 | 114 | if __name__ == "__main__": 115 | test() 116 | -------------------------------------------------------------------------------- /回溯算法/leetcode-37.py: -------------------------------------------------------------------------------- 1 | # leetcode 37: https://leetcode.cn/problems/sudoku-solver/ 2 | 3 | from typing import Tuple, Set, List 4 | 5 | 6 | class Solution: 7 | def to_matrix(self, x: int) -> Tuple[int, int]: # noqa 8 | return x // 9, x % 9 9 | 10 | def get_constraints(self, matrix: List[List[int]], x: int, y: int) -> Set[int]: # noqa 11 | """ 12 | 获取同一 3x3 格子,同一行,同一列的所有数字 13 | """ 14 | 15 | # 获取 3x3 格子的中间 16 | def get_center(a: int) -> int: 17 | if a in {0, 1, 2}: 18 | return 1 19 | elif a in {3, 4, 5}: 20 | return 4 21 | else: 22 | return 7 23 | 24 | center_x: int = get_center(x) 25 | center_y: int = get_center(y) 26 | s: Set[int] = set() 27 | # 获取同一 3x3 格子中的数字 28 | for coord in [ 29 | (center_x - 1, center_y - 1), (center_x - 1, center_y), (center_x - 1, center_y + 1), 30 | (center_x, center_y - 1), (center_x, center_y), (center_x, center_y + 1), 31 | (center_x + 1, center_y - 1), (center_x + 1, center_y), (center_x + 1, center_y + 1) 32 | ]: 33 | if coord == (x, y): 34 | continue 35 | element: int = matrix[coord[0]][coord[1]] 36 | if element: 37 | s.add(element) 38 | 39 | # 获取同一行的数字 40 | for ind in range(0, 9): # type: int 41 | if ind != y: 42 | element: int = matrix[x][ind] 43 | if element: 44 | s.add(element) 45 | 46 | # 获取同一列的数字 47 | for ind in range(0, 9): # type: int 48 | if ind != x: 49 | element: int = matrix[ind][y] 50 | if element: 51 | s.add(element) 52 | 53 | return s 54 | 55 | def solveSudoku(self, board: List[List[str]]) -> None: # noqa 56 | # 初始状态 57 | status: List[List[int]] = [] 58 | for row in board: # type: List[str] 59 | status.append([]) 60 | for column in row: # type: str 61 | if column == ".": 62 | status[-1].append(0) 63 | else: 64 | status[-1].append(int(column)) 65 | 66 | top: int = 0 67 | while top < 81: 68 | x, y = self.to_matrix(top) # type: int, int 69 | # 已给定数字直接填入 70 | if board[x][y] != ".": 71 | top += 1 72 | continue 73 | constraints: Set[int] = self.get_constraints(status, x, y) 74 | for new_value in range(status[x][y] + 1, 10): # type: int 75 | if new_value in constraints: 76 | continue 77 | status[x][y] = new_value 78 | top += 1 79 | break 80 | else: 81 | # 回溯到最近的 “.” 82 | top -= 1 83 | while top >= 0: 84 | temp_x, temp_y = self.to_matrix(top) # type: int, int 85 | if board[temp_x][temp_y] != ".": 86 | top -= 1 87 | continue 88 | break 89 | if top < 0: 90 | break 91 | # 重置状态 92 | status[x][y] = 0 93 | else: 94 | for i in range(len(board)): # type: int 95 | for j in range(len(board[i])): # type: int 96 | if board[i][j] == ".": 97 | board[i][j] = str(status[i][j]) 98 | return 99 | raise RuntimeError("no answer") 100 | 101 | -------------------------------------------------------------------------------- /分支限界算法/leetcode-407.go: -------------------------------------------------------------------------------- 1 | // leetcode:https://leetcode.cn/problems/trapping-rain-water-ii/description/ 2 | 3 | package main 4 | 5 | import ( 6 | "container/heap" 7 | "fmt" 8 | ) 9 | 10 | // 问题分析: 11 | // 12 | // 1. 路径是一个节点序列,路径中的两个相邻的节点必须相邻接。 13 | // 比如 [(0, 0), (0, 1), (1, 1), (1, 2)] 是路径;而 [(0, 0), (1, 1)] 不是,因为它的前两个节点不邻接 14 | // 2. 在本题的上下文中,路径的起点必须是边缘。由此可以进一步得到,[(1, 1), (1, 2), (2, 2), (2, 3)] 不是路径,因为其起点不是边缘 15 | // 3. 将路径上最高的节点的高度称为路径的高度。 16 | // 假如 [(x1, x2), ...(xi, yi)] 的路径高度是 heightI, 17 | // 那么 [(x1, x2), ...(xi, yi), (xi, yi+1)] 的路径高度是 max(heightI, Height[(xi, yi+1)]) 18 | // 4. 对于任何一个节点而言,到达它的路径有很多,但是必然存在一个或多个路径高度最低的路径,记其为 minPath。 19 | // 该节点能否接雨水,以及接多少取决于自身的高度(记为 h)与 minPath 的高度(记为 minPathHeight)。 20 | // 如果 h >= minPathHeight,那么无法接雨水,因为雨水将沿着 minPath 从边缘流出; 21 | // 否则可以接雨水,由于所有其它路径的高度都大于或等于 minPath 的高度,根据木桶原理,该节点能接的雨水为 minPathHeight - h。 22 | // 由此,也可以得到,边缘无法接雨水 23 | // 5. 根据 4,如果可以保证第一次搜索到节点 i 时,走的是 minPath。那么在第一次搜索到 i 时,就可以计算出 i 接的雨水。 24 | // 那么如何做到呢? 25 | // **从边缘开始,每次都从路径高度最低的节点以广度优先的方式进行搜索。** 26 | // **同时需要保证,每个节点只被访问一次** 27 | 28 | // 结论: 29 | // 30 | // 使用分支限界算法 31 | 32 | // Item 表示优先级队列中的元素 33 | type Item struct { 34 | X int 35 | Y int 36 | // 点 (x, y) 的路径高度。Height 越小,优先级越高 37 | Height int 38 | } 39 | 40 | // PriorityQueue 是基于 MinHeap 的优先级队列 41 | type PriorityQueue []Item 42 | 43 | func (pq PriorityQueue) Len() int { return len(pq) } 44 | func (pq PriorityQueue) Less(i, j int) bool { return pq[i].Height < pq[j].Height } 45 | func (pq PriorityQueue) Swap(i, j int) { pq[i], pq[j] = pq[j], pq[i] } 46 | 47 | func (pq *PriorityQueue) Push(x interface{}) { 48 | *pq = append(*pq, x.(Item)) 49 | } 50 | func (pq *PriorityQueue) Pop() interface{} { 51 | old := *pq 52 | n := old[len(old)-1] 53 | *pq = old[:len(old)-1] 54 | return n 55 | } 56 | 57 | // NewPriorityQueue 构造 PriorityQueue 实例 58 | func NewPriorityQueue() PriorityQueue { 59 | return make(PriorityQueue, 0) 60 | } 61 | 62 | func trapRainWater(heightMap [][]int) int { 63 | var ans = 0 64 | m := len(heightMap) 65 | n := len(heightMap[0]) 66 | 67 | queue := NewPriorityQueue() 68 | // 记录每个节点是否已经访问过 69 | visited := make([][]bool, m) 70 | // 将所有边缘加入队列,并且设置为已访问 71 | for x := 0; x < m; x++ { 72 | oneRow := make([]bool, n) 73 | for y := 0; y < n; y++ { 74 | if x == 0 || x == m-1 || y == 0 || y == n-1 { 75 | heap.Push(&queue, Item{ 76 | X: x, 77 | Y: y, 78 | Height: heightMap[x][y], 79 | }) 80 | oneRow[y] = true 81 | } else { 82 | oneRow[y] = false 83 | } 84 | } 85 | visited[x] = oneRow 86 | } 87 | 88 | for len(queue) > 0 { 89 | currentExpandNode := heap.Pop(&queue).(Item) 90 | x, y, height := currentExpandNode.X, currentExpandNode.Y, currentExpandNode.Height 91 | // 向上下左右四个方向广度优先遍历 92 | for _, nextNode := range [][]int{{x - 1, y}, {x, y + 1}, {x + 1, y}, {x, y - 1}} { 93 | tx, ty := nextNode[0], nextNode[1] 94 | // 如果该点存在,并且未被访问过 95 | if tx >= 0 && tx < m && ty >= 0 && ty < n && !visited[tx][ty] { 96 | // 高度较低,可以接雨水 97 | if heightMap[tx][ty] < height { 98 | ans += height - heightMap[tx][ty] 99 | heap.Push(&queue, Item{X: tx, Y: ty, Height: height}) 100 | } else { 101 | heap.Push(&queue, Item{X: tx, Y: ty, Height: heightMap[tx][ty]}) 102 | } 103 | // 设置为已访问 104 | visited[tx][ty] = true 105 | } 106 | } 107 | } 108 | 109 | return ans 110 | } 111 | 112 | func main() { 113 | tests := []struct { 114 | heightMap [][]int 115 | expected int 116 | }{ 117 | { 118 | heightMap: [][]int{{1, 4, 3, 1, 3, 2}, {3, 2, 1, 3, 2, 4}, {2, 3, 3, 2, 3, 1}}, 119 | expected: 4, 120 | }, 121 | { 122 | heightMap: [][]int{{3, 3, 3, 3, 3}, {3, 2, 2, 2, 3}, {3, 2, 1, 2, 3}, {3, 2, 2, 2, 3}, {3, 3, 3, 3, 3}}, 123 | expected: 10, 124 | }, 125 | } 126 | for _, test := range tests { 127 | got := trapRainWater(test.heightMap) 128 | if got != test.expected { 129 | message := fmt.Sprintf("got %d, but %d expected", got, test.expected) 130 | fmt.Println(message) 131 | panic(message) 132 | } 133 | } 134 | } 135 | -------------------------------------------------------------------------------- /图/DAG-有向无环图/拓扑排序/topological_sort.py: -------------------------------------------------------------------------------- 1 | # coding: utf8 2 | 3 | 4 | class Node(object): 5 | def __init__(self, element): 6 | self.element = element 7 | self.incoming_degree = 0 8 | 9 | 10 | class Graph(object): 11 | """ 12 | 数组矩阵表示法 13 | """ 14 | def __init__(self): 15 | self._vertexes = [] 16 | self._arches = [] 17 | 18 | def add_vertex(self, element): 19 | self._vertexes.append(Node(element)) 20 | for arch in self._arches: 21 | arch.append(None) 22 | self._arches.append([None] * len(self._vertexes)) 23 | return len(self._vertexes) - 1 24 | 25 | def add_arch(self, tail, head, weight=1): 26 | old_weight = self._arches[tail][head] 27 | if old_weight is None: 28 | self._vertexes[head].incoming_degree = \ 29 | self._vertexes[head].incoming_degree + 1 30 | self._arches[tail][head] = weight 31 | 32 | def delete_arch(self, tail, head): 33 | old_weight = self._arches[tail][head] 34 | if old_weight is None: 35 | return 36 | self._vertexes[head].incoming_degree = \ 37 | self._vertexes[head].incoming_degree - 1 38 | self._arches[tail][head] = None 39 | 40 | def get_vertex_count(self): 41 | return len(self._vertexes) 42 | 43 | def get_vertex(self, index): 44 | return self._vertexes[index] 45 | 46 | def get_arch(self, tail): 47 | for head, weight in enumerate(self._arches[tail]): 48 | if weight is None: 49 | continue 50 | yield head 51 | 52 | def get_arch_by_offset(self, head, offset): 53 | real_index = 0 54 | for index, weight in enumerate(self._arches[head]): 55 | if weight is None: 56 | continue 57 | if real_index == offset: 58 | return index 59 | real_index = real_index + 1 60 | return None 61 | 62 | 63 | def topological_sort(g): 64 | sequence = [] 65 | 66 | stack = [] 67 | for index in range(g.get_vertex_count()): 68 | node = g.get_vertex(index) 69 | if node.incoming_degree == 0: 70 | stack.append(index) 71 | 72 | while stack: 73 | tail = stack.pop(-1) 74 | sequence.append(tail) 75 | for head in g.get_arch(tail): 76 | g.delete_arch(tail, head) 77 | if g.get_vertex(head).incoming_degree == 0: 78 | stack.append(head) 79 | 80 | return sequence 81 | 82 | 83 | def topological_sort_dfs(g): 84 | total_sequence = [] 85 | vertex_count = g.get_vertex_count() 86 | visited = [False for _ in range(vertex_count)] 87 | 88 | def _topological_sort_dfs(start): 89 | sequence = [] 90 | status = [0 for _ in range(vertex_count)] 91 | stack = [start] 92 | 93 | while stack: 94 | top = stack[-1] 95 | next_vertex = g.get_arch_by_offset(top, status[top]) 96 | if next_vertex is None: 97 | visited[top] = True 98 | sequence.insert(0, top) 99 | stack.pop(-1) 100 | continue 101 | 102 | status[top] = status[top] + 1 103 | if not visited[next_vertex]: 104 | stack.append(next_vertex) 105 | 106 | return sequence 107 | 108 | for index in range(vertex_count): 109 | if g.get_vertex(index).incoming_degree == 0: 110 | total_sequence.extend(_topological_sort_dfs(index)) 111 | 112 | return total_sequence 113 | 114 | 115 | def test(): 116 | g = Graph() 117 | for element in range(13): 118 | g.add_vertex(element) 119 | for arch in [(0, 1), (0, 5), (0, 6), 120 | (2, 0), (2, 3), (3, 5), 121 | (5, 4), (6, 9), (7, 6), 122 | (8, 7), (9, 10), (9, 11), 123 | (9, 12), (11, 12)]: 124 | g.add_arch(*arch) 125 | 126 | print(topological_sort_dfs(g)) 127 | print(topological_sort(g)) 128 | 129 | 130 | if __name__ == "__main__": 131 | test() 132 | -------------------------------------------------------------------------------- /树/霍夫曼树(最优二叉树)/huffman_tree.py: -------------------------------------------------------------------------------- 1 | # coding: utf8 2 | 3 | import heapq 4 | 5 | 6 | class Node(object): 7 | """ 8 | 霍夫曼树的节点 9 | """ 10 | def __init__(self, char, weight, left=None, right=None): 11 | self.char = char 12 | self.weight = weight 13 | self.left = left 14 | self.right = right 15 | 16 | def __cmp__(self, other): 17 | if not isinstance(other, self.__class__): 18 | raise TypeError("instance of %s expected" % self.__class__.__name__) 19 | if other.weight == self.weight: 20 | return 0 21 | if other.weight > self.weight: 22 | return -1 23 | return 1 24 | 25 | def __str__(self): 26 | return "%s{char=%s, weight=%d, left=%s, right=%s}" % ( 27 | self.__class__.__name__, 28 | self.char, 29 | self.weight, 30 | self.left and self.left.char, 31 | self.right and self.right.char 32 | ) 33 | 34 | 35 | class HuffmanTree(object): 36 | """ 37 | 霍夫曼树实现 38 | """ 39 | def __init__(self, chars): 40 | root = self.create(chars) 41 | self._encode_map, self._decode_map = self.generate_code_map(root) 42 | 43 | @staticmethod 44 | def create(chars): 45 | if len(chars) == 0: 46 | return 47 | 48 | nodes = [] 49 | # 构造 n 棵只有根节点的二叉树 50 | for char, weight in chars: 51 | heapq.heappush(nodes, Node(char, weight)) 52 | 53 | # 重复下面的步骤,直到森林中只有一棵树 54 | while len(nodes) > 1: 55 | # 从森林中选出根节点权值最小的两棵树 56 | left = heapq.heappop(nodes) 57 | right = heapq.heappop(nodes) 58 | # 构造一棵新树,并把上面的两棵树作为新树的子树,新树的根节点的权值是两者的权值之和 59 | node = Node(None, left.weight + right.weight, left, right) 60 | # 将新树放进森林 61 | heapq.heappush(nodes, node) 62 | 63 | return nodes[0] 64 | 65 | @staticmethod 66 | def generate_code_map(root): 67 | encode_map = {} 68 | decode_map = {} 69 | 70 | if root is None: 71 | return encode_map, decode_map 72 | 73 | temp_map = {root: []} 74 | queue = [root] 75 | while queue: 76 | node = queue.pop() 77 | # 将从根节点到叶子节点的路径上的二进制位作为叶子节点的编码 78 | if node.left is None and node.right is None: 79 | code = "".join(temp_map[node]) 80 | encode_map[node.char] = code 81 | decode_map[code] = node.char 82 | continue 83 | 84 | node_code = temp_map[node] 85 | # 所有左分支都表示 0 86 | if node.left is not None: 87 | temp_map[node.left] = node_code + ['0'] 88 | queue.append(node.left) 89 | 90 | # 所有右分支都表示 1 91 | if node.right is not None: 92 | temp_map[node.right] = node_code + ['1'] 93 | queue.append(node.right) 94 | 95 | return encode_map, decode_map 96 | 97 | def encode(self, string): 98 | """ 99 | 编码 100 | """ 101 | result = [] 102 | for char in string: 103 | if char not in self._encode_map: 104 | raise ValueError("unknown char %s" % char) 105 | result.append(self._encode_map[char]) 106 | return "".join(result) 107 | 108 | def decode(self, encoded_string): 109 | start = 0 110 | end = start + 1 111 | result = [] 112 | while end <= len(encoded_string): 113 | sub_string = encoded_string[start:end] 114 | if sub_string not in self._decode_map: 115 | end = end + 1 116 | continue 117 | result.append(self._decode_map[sub_string]) 118 | start = end 119 | end = end + 1 120 | return "".join(result) 121 | 122 | 123 | def test(): 124 | chars = [("A", 5), ("B", 24), ("C", 7), ("D", 17), 125 | ("E", 34), ("F", 5), ("G", 13)] 126 | huffman_tree = HuffmanTree(chars) 127 | string = "AFGECBDAAAFFF" 128 | assert string == huffman_tree.decode(huffman_tree.encode(string)) 129 | 130 | 131 | if __name__ == "__main__": 132 | test() 133 | -------------------------------------------------------------------------------- /图/dfs_tree.py: -------------------------------------------------------------------------------- 1 | # coding: utf8 2 | 3 | """ 4 | DFS 生成树 5 | """ 6 | 7 | 8 | class TreeNode(object): 9 | """ 10 | 树的孩子兄弟表示法 11 | """ 12 | def __init__(self, data): 13 | self._data = data 14 | self._first_child = None 15 | self._next_sibling = None 16 | 17 | def add_child(self, child): 18 | if self._first_child is None: 19 | self._first_child = child 20 | return 21 | node = self._first_child 22 | while node._next_sibling is not None: 23 | node = node._next_sibling 24 | node._next_sibling = child 25 | 26 | def get_first_child(self): 27 | return self._first_child 28 | 29 | def get_next_sibling(self): 30 | return self._next_sibling 31 | 32 | def get_data(self): 33 | return self._data 34 | 35 | 36 | def get_adjacent(adjacent_list, index): 37 | real_index = 0 38 | for adjacent_index, weight in enumerate(adjacent_list): 39 | if weight is None: 40 | continue 41 | if real_index == index: 42 | return adjacent_index 43 | real_index = real_index + 1 44 | return None 45 | 46 | 47 | def dfs_tree_recursive(vertexes, edges): 48 | visited = [False for _ in range(len(vertexes))] 49 | root = TreeNode(vertexes[0]) 50 | visited[0] = True 51 | 52 | def _dfs_tree_recursive(start_index, start_node): 53 | adjacent_list = edges[start_index] 54 | index = 0 55 | adjacent_index = get_adjacent(adjacent_list, index) 56 | while adjacent_index is not None: 57 | if not visited[adjacent_index]: 58 | visited[adjacent_index] = True 59 | node = TreeNode(vertexes[adjacent_index]) 60 | start_node.add_child(node) 61 | _dfs_tree_recursive(adjacent_index, node) 62 | index = index + 1 63 | adjacent_index = get_adjacent(adjacent_list, index) 64 | 65 | _dfs_tree_recursive(0, root) 66 | return root 67 | 68 | 69 | def dfs_tree(vertexes, edges): 70 | root = None 71 | stack = [0] 72 | vertex_count = len(vertexes) 73 | status = [0 for _ in range(vertex_count)] 74 | visited = [False for _ in range(vertex_count)] 75 | nodes = [None for _ in range(vertex_count)] 76 | parent = [None for _ in range(vertex_count)] 77 | 78 | while stack: 79 | top = stack[-1] 80 | if not visited[top]: 81 | visited[top] = True 82 | node = TreeNode(vertexes[top]) 83 | nodes[top] = node 84 | if parent[top] is None: 85 | root = node 86 | else: 87 | nodes[parent[top]].add_child(node) 88 | 89 | adjacent_index = get_adjacent(edges[top], status[top]) 90 | if adjacent_index is None: 91 | stack.pop(-1) 92 | continue 93 | status[top] = status[top] + 1 94 | parent[adjacent_index] = top 95 | # 剪枝 96 | if visited[adjacent_index]: 97 | continue 98 | stack.append(adjacent_index) 99 | return root 100 | 101 | 102 | def test(): 103 | vertexes = range(5) 104 | edges = [] 105 | for ind in range(len(vertexes)): 106 | edges.append([]) 107 | for _ in range(len(vertexes)): 108 | edges[ind].append(None) 109 | edges[0][1] = 1 110 | edges[1][0] = 1 111 | edges[0][3] = 3 112 | edges[3][0] = 3 113 | edges[2][3] = 23 114 | edges[3][2] = 23 115 | edges[2][4] = 24 116 | edges[4][2] = 24 117 | edges[1][2] = 12 118 | edges[2][1] = 12 119 | 120 | """ 121 | 122 | 0 --- 1 ----┐ 123 | | | 124 | └---- 3 --- 2 --- 4 125 | """ 126 | 127 | root = dfs_tree_recursive(vertexes, edges) 128 | 129 | # root = dfs_tree(vertexes, edges) 130 | 131 | assert root.get_data() == 0 132 | first = root.get_first_child() 133 | assert first.get_data() == 1 134 | second = first.get_first_child() 135 | assert second.get_data() == 2 136 | third = second.get_first_child() 137 | assert third.get_data() == 3 138 | forth = third.get_next_sibling() 139 | assert forth.get_data() == 4 140 | 141 | 142 | if __name__ == "__main__": 143 | test() 144 | -------------------------------------------------------------------------------- /搜索算法/跳表/skip_list.py: -------------------------------------------------------------------------------- 1 | # coding: utf8 2 | 3 | import random 4 | 5 | 6 | class Node(object): 7 | """ 8 | 跳表节点 9 | """ 10 | def __init__(self, keyword, next_node=None, down_node=None): 11 | self.keyword = keyword 12 | self.next_node = next_node 13 | self.down_node = down_node 14 | 15 | 16 | class SkipList(object): 17 | """ 18 | 跳表实现 19 | """ 20 | def __init__(self, probability=0.25, max_levels=10): 21 | self._probability = probability 22 | self._max_levels = max_levels 23 | self._heads = [Node(None)] 24 | 25 | @property 26 | def heads(self): 27 | return self._heads 28 | 29 | def insert(self, keyword): 30 | # 确定在第几层进行插入 31 | k = 1 32 | for _ in range(len(self._heads)): 33 | if random.random() <= self._probability: 34 | k = k + 1 35 | else: 36 | break 37 | 38 | if k > self._max_levels: 39 | k = self._max_levels 40 | 41 | if k == len(self._heads) + 1: 42 | new_head = Node(None) 43 | new_head.down_node = self._heads[-1] 44 | self._heads.append(new_head) 45 | 46 | node = self._heads[k - 1] 47 | prev = None 48 | 49 | while node is not None: 50 | # 找到插入位置 51 | while node.next_node is not None and node.next_node.keyword < keyword: 52 | node = node.next_node 53 | # 插入新节点 54 | new_node = Node(keyword) 55 | new_node.next_node = node.next_node 56 | node.next_node = new_node 57 | if prev is not None: 58 | prev.down_node = new_node 59 | prev = new_node 60 | # 在下一层上继续插入 61 | node = node.down_node 62 | 63 | def search(self, keyword): 64 | node = self._heads[-1] 65 | while node is not None: 66 | while node.next_node is not None and node.next_node.keyword < keyword: 67 | node = node.next_node 68 | 69 | if node.next_node is not None and node.next_node.keyword == keyword: 70 | node = node.next_node 71 | while node.down_node is not None: 72 | node = node.down_node 73 | return node 74 | node = node.down_node 75 | return None 76 | 77 | def delete(self, keyword): 78 | node = self._heads[-1] 79 | while node is not None: 80 | while node.next_node is not None and node.next_node.keyword < keyword: 81 | node = node.next_node 82 | if node.next_node is not None and node.next_node.keyword == keyword: 83 | node.next_node = node.next_node.next_node 84 | node = node.down_node 85 | # 将空层的头节点删掉 86 | while len(self._heads) > 1: 87 | if self._heads[-1].next_node is not None: 88 | break 89 | self._heads.pop(-1) 90 | 91 | 92 | def print_skip_list(skip_list): 93 | """ 94 | 以易于阅读的形式打印跳表对象 95 | """ 96 | for ind, node in enumerate(skip_list.heads[::-1]): 97 | keywords = [] 98 | while node.next_node is not None: 99 | keywords.append(node.next_node.keyword) 100 | node = node.next_node 101 | print("level %d" % (len(skip_list.heads) - ind)) 102 | print("\t" + " ".join(map(lambda k: str(k), keywords))) 103 | 104 | 105 | if __name__ == "__main__": 106 | import unittest 107 | 108 | class SkipListTest(unittest.TestCase): 109 | def testSkipList(self): 110 | keywords = list(range(40)) 111 | random.shuffle(keywords) 112 | skip_list = SkipList() 113 | for keyword in keywords: 114 | skip_list.insert(keyword) 115 | random.shuffle(keywords) 116 | for keyword in keywords: 117 | node = skip_list.search(keyword) 118 | self.assertIsNotNone(node) 119 | self.assertEqual(node.keyword, keyword) 120 | random.shuffle(keywords) 121 | for keyword in keywords: 122 | skip_list.delete(keyword) 123 | self.assertIsNone(skip_list.search(keyword)) 124 | 125 | unittest.main() 126 | -------------------------------------------------------------------------------- /线性表/静态链表/static_list.py: -------------------------------------------------------------------------------- 1 | # coding: utf8 2 | 3 | 4 | class Node(object): 5 | """ 6 | 静态链表的节点 7 | """ 8 | def __init__(self, element, cursor=-1): 9 | # 保存数据元素 10 | self.element = element 11 | # 保存直接后继节点在数组中的索引 12 | self.cursor = cursor 13 | 14 | 15 | class StaticList(object): 16 | """ 17 | 静态链表 18 | """ 19 | def __init__(self, max_size): 20 | # 备用链表的头节点 21 | self._free_space = Node(None, -1) 22 | # 静态链表的头节点 23 | self._head = Node(None, -1) 24 | # 底层数组 25 | self._underlying_array = [Node(None, -1) for _ in range(max_size)] 26 | 27 | # 将数组中的全部节点组织进备用链表 28 | self._free_space.cursor = 0 29 | for ind in range(0, max_size - 1): 30 | self._underlying_array[ind].cursor = ind + 1 31 | 32 | def _malloc(self): 33 | """ 34 | 用于从备用链表中申请节点 35 | """ 36 | cursor = self._free_space.cursor 37 | if cursor == -1: 38 | raise RuntimeError("no space left") 39 | node = self._underlying_array[cursor] 40 | self._free_space.cursor = node.cursor 41 | return cursor 42 | 43 | def _free(self, cursor): 44 | """ 45 | 将节点放回备用链表 46 | """ 47 | node = self._underlying_array[cursor] 48 | node.cursor = self._free_space.cursor 49 | self._free_space.cursor = cursor 50 | 51 | def insert(self, index, element): 52 | node = self._head 53 | current_index = -1 54 | 55 | while node is not None: 56 | if current_index == index - 1: 57 | # 申请新节点 58 | free_cursor = self._malloc() 59 | free_node = self._underlying_array[free_cursor] 60 | free_node.element = element 61 | free_node.cursor = node.cursor 62 | node.cursor = free_cursor 63 | break 64 | 65 | if node.cursor == -1: 66 | node = None 67 | continue 68 | 69 | node = self._underlying_array[node.cursor] 70 | current_index = current_index + 1 71 | else: 72 | raise IndexError("invalid index") 73 | 74 | def find(self, element): 75 | temp = self._head.cursor 76 | index = 0 77 | 78 | while temp != -1: 79 | node = self._underlying_array[temp] 80 | if node.element == element: 81 | return index 82 | temp = node.cursor 83 | index = index + 1 84 | else: 85 | raise ValueError("not found") 86 | 87 | def delete(self, element): 88 | # node 是待删除节点的前一个节点 89 | node = self._head 90 | if node.cursor == -1: 91 | next_node = None 92 | else: 93 | next_node = self._underlying_array[node.cursor] 94 | 95 | while next_node is not None: 96 | if next_node.element == element: 97 | next_node_cursor = next_node.cursor 98 | # 释放节点 99 | self._free(node.cursor) 100 | # 删除节点 101 | node.cursor = next_node_cursor 102 | break 103 | node = next_node 104 | if node.cursor == -1: 105 | next_node = None 106 | else: 107 | next_node = self._underlying_array[node.cursor] 108 | else: 109 | raise ValueError("not found") 110 | 111 | 112 | if __name__ == "__main__": 113 | import unittest 114 | 115 | class TestStaticList(unittest.TestCase): 116 | def testStaticList(self): 117 | static_list = StaticList(5) 118 | static_list.insert(0, 1) 119 | static_list.insert(0, 0) 120 | static_list.insert(2, 2) 121 | self.assertRaises(IndexError, static_list.insert, 4, 4) 122 | self.assertRaises(ValueError, static_list.delete, 4) 123 | 124 | self.assertEqual(static_list.find(0), 0) 125 | self.assertEqual(static_list.find(1), 1) 126 | self.assertEqual(static_list.find(2), 2) 127 | self.assertRaises(ValueError, static_list.find, -1) 128 | 129 | static_list.delete(1) 130 | self.assertEqual(static_list.find(2), 1) 131 | static_list.delete(0) 132 | self.assertEqual(static_list.find(2), 0) 133 | 134 | unittest.main() 135 | -------------------------------------------------------------------------------- /图/DAG-有向无环图/关键路径/critical_path.py: -------------------------------------------------------------------------------- 1 | # coding: utf8 2 | 3 | 4 | class Node(object): 5 | def __init__(self, element): 6 | self.element = element 7 | self.incoming_degree = 0 8 | 9 | 10 | class Graph(object): 11 | """ 12 | 数组矩阵表示法 13 | """ 14 | def __init__(self): 15 | self._vertexes = [] 16 | self._arches = [] 17 | 18 | def add_vertex(self, element): 19 | self._vertexes.append(Node(element)) 20 | for arch in self._arches: 21 | arch.append(None) 22 | self._arches.append([None] * len(self._vertexes)) 23 | return len(self._vertexes) - 1 24 | 25 | def add_arch(self, tail, head, weight=1): 26 | old_weight = self._arches[tail][head] 27 | if old_weight is None: 28 | self._vertexes[head].incoming_degree = \ 29 | self._vertexes[head].incoming_degree + 1 30 | self._arches[tail][head] = weight 31 | 32 | def delete_arch(self, tail, head): 33 | old_weight = self._arches[tail][head] 34 | if old_weight is None: 35 | return 36 | self._vertexes[head].incoming_degree = \ 37 | self._vertexes[head].incoming_degree - 1 38 | self._arches[tail][head] = None 39 | 40 | def get_vertex_count(self): 41 | return len(self._vertexes) 42 | 43 | def get_vertex(self, index): 44 | return self._vertexes[index] 45 | 46 | def get_arches(self, tail): 47 | for head, weight in enumerate(self._arches[tail]): 48 | if weight is None: 49 | continue 50 | yield head 51 | 52 | def get_arch_by_offset(self, head, offset): 53 | real_index = 0 54 | for index, weight in enumerate(self._arches[head]): 55 | if weight is None: 56 | continue 57 | if real_index == offset: 58 | return index 59 | real_index = real_index + 1 60 | return None 61 | 62 | def get_weight(self, tail, head): 63 | return self._arches[tail][head] 64 | 65 | 66 | def topological_order(g): 67 | """ 68 | 利用拓扑排序计算每个顶点的最早发生时间和最晚发生时间 69 | """ 70 | # 初始化 stack、ve、vl, incoming_degrees 71 | stack = [] 72 | ve = [] 73 | vl = [] 74 | incoming_degrees = [] 75 | for index in range(g.get_vertex_count()): 76 | ve.append(None) 77 | vl.append(None) 78 | incoming_degree = g.get_vertex(index).incoming_degree 79 | incoming_degrees.append(incoming_degree) 80 | 81 | if incoming_degree == 0: 82 | ve[index] = 0 83 | stack.append(index) 84 | 85 | sequence = [] 86 | while stack: 87 | top = stack.pop(-1) 88 | sequence.append(top) 89 | for head in g.get_arches(top): 90 | new = ve[top] + g.get_weight(top, head) 91 | if ve[head] is None or new > ve[head]: 92 | ve[head] = new 93 | incoming_degrees[head] = incoming_degrees[head] - 1 94 | if incoming_degrees[head] == 0: 95 | stack.append(head) 96 | 97 | vl[-1] = ve[-1] 98 | 99 | for tail in range(len(sequence) -1, -1, -1): 100 | for head in g.get_arches(tail): 101 | new = vl[head] - g.get_weight(tail, head) 102 | if vl[tail] is None or new < vl[tail]: 103 | vl[tail] = new 104 | 105 | return ve, vl 106 | 107 | 108 | def critical_path(g): 109 | ve, vl = topological_order(g) 110 | critical_activities = [] 111 | for tail in range(g.get_vertex_count()): 112 | for head in g.get_arches(tail): 113 | if ve[tail] == vl[head] - g.get_weight(tail, head): 114 | critical_activities.append((tail, head)) 115 | 116 | paths = [] 117 | d = {} 118 | for a in critical_activities: 119 | d.setdefault(a[0], []).append(a[1]) 120 | status = {} 121 | stack = [0] 122 | while stack: 123 | top = stack[-1] 124 | if top not in d: 125 | paths.append(stack[:]) 126 | stack.pop(-1) 127 | continue 128 | if top in status and status[top] >= len(d[top]): 129 | stack.pop(-1) 130 | status[top] = 0 131 | continue 132 | stack.append(d[top][status.get(top, 0)]) 133 | status[top] = status.get(top, 0) + 1 134 | return paths 135 | 136 | 137 | def test(): 138 | g = Graph() 139 | for index in range(7): 140 | g.add_vertex(index) 141 | for arch in [(0, 1, 3), (0, 2, 2), (0, 3, 6), 142 | (1, 3, 2), (1, 4, 4), (2, 3, 1), 143 | (2, 5, 3), (3, 4, 1), (4, 6, 3), 144 | (5, 6, 4)]: 145 | g.add_arch(*arch) 146 | print(critical_path(g)) 147 | 148 | 149 | if __name__ == "__main__": 150 | test() 151 | -------------------------------------------------------------------------------- /树/二叉树/根据二叉树的先序、中序、后序序列还原二叉树/GenerateTree.py: -------------------------------------------------------------------------------- 1 | # coding: utf8 2 | 3 | 4 | class Node(object): 5 | def __init__(self, keyword, left=None, right=None): 6 | self.keyword = keyword 7 | self.left = left 8 | self.right = right 9 | 10 | 11 | class NodeFactory(object): 12 | nodes = {} 13 | 14 | @classmethod 15 | def get_node(cls, keyword): 16 | if keyword not in cls.nodes: 17 | cls.nodes[keyword] = Node(keyword) 18 | return cls.nodes[keyword] 19 | 20 | 21 | def find_pos(sequence, target): 22 | for pos, element in enumerate(sequence): 23 | if target == element: 24 | return pos 25 | return -1 26 | 27 | 28 | def generate_tree(preorder, inorder, postorder): 29 | if len(preorder) != len(inorder) or len(inorder) != len(postorder): 30 | raise RuntimeError("invalid sequence") 31 | 32 | if len(preorder) == 0: 33 | return None 34 | 35 | if len(preorder) == 1: 36 | return NodeFactory.get_node(preorder[0]) 37 | 38 | if preorder[0] != postorder[-1]: 39 | raise RuntimeError("invalid sequence") 40 | 41 | # 先序序列的第一个节点和后序序列的最后一个节点是根节点 42 | root = NodeFactory.get_node(preorder[0]) 43 | 44 | # 如果根节点是中序序列的第一个节点,说明根节点的左子树为空,先序序列的第二个节点是根节点的右孩子 45 | if preorder[0] == inorder[0]: 46 | root.left = None 47 | root.right = NodeFactory.get_node(preorder[1]) 48 | # 如果根节点是中序序列的最后一个节点,说明根节点的右子树为空,先序序列的第二个节点是根节点的左孩子 49 | elif preorder[0] == inorder[-1]: 50 | root.left = NodeFactory.get_node(preorder[1]) 51 | root.right = None 52 | # 否则,根节点的左右子树都不为空 53 | else: 54 | # 先序序列的第二个节点是根节点的左孩子 55 | root.left = NodeFactory.get_node(preorder[1]) 56 | # 后序序列的倒数第二个节点是根节点的右孩子 57 | root.right = NodeFactory.get_node(postorder[-2]) 58 | 59 | if root.left is None: 60 | right_preorder = preorder[1:] 61 | right_inorder = inorder[1:] 62 | right_postorder = postorder[:-1] 63 | generate_tree(right_preorder, right_inorder, right_postorder) 64 | elif root.right is None: 65 | left_preorder = preorder[1:] 66 | left_inorder = inorder[:-1] 67 | left_postorder = postorder[:-1] 68 | generate_tree(left_preorder, left_inorder, left_postorder) 69 | else: 70 | pos = find_pos(preorder, root.right.keyword) 71 | if pos == -1: 72 | raise RuntimeError("invalid sequence") 73 | left_preorder = preorder[1:pos] 74 | right_preorder = preorder[pos:] 75 | 76 | pos = find_pos(inorder, root.keyword) 77 | if pos == -1: 78 | raise RuntimeError("invalid sequence") 79 | left_inorder = inorder[:pos] 80 | right_inorder = inorder[pos+1:] 81 | 82 | pos = find_pos(postorder, root.left.keyword) 83 | if pos == -1: 84 | raise RuntimeError("invalid sequence") 85 | left_postorder = postorder[:pos+1] 86 | right_postorder = postorder[pos+1:-1] 87 | 88 | generate_tree(left_preorder, left_inorder, left_postorder) 89 | 90 | generate_tree(right_preorder, right_inorder, right_postorder) 91 | 92 | return root 93 | 94 | 95 | def test(): 96 | def preorder_traverse(p): 97 | keywords = [] 98 | if p is None: 99 | return keywords 100 | keywords.append(p.keyword) 101 | keywords.extend(preorder_traverse(p.left)) 102 | keywords.extend(preorder_traverse(p.right)) 103 | return keywords 104 | 105 | def inorder_traverse(p): 106 | keywords = [] 107 | if p is None: 108 | return keywords 109 | keywords.extend(inorder_traverse(p.left)) 110 | keywords.append(p.keyword) 111 | keywords.extend(inorder_traverse(p.right)) 112 | return keywords 113 | 114 | def postorder_traverse(p): 115 | keywords = [] 116 | if p is None: 117 | return keywords 118 | keywords.extend(postorder_traverse(p.left)) 119 | keywords.extend(postorder_traverse(p.right)) 120 | keywords.append(p.keyword) 121 | return keywords 122 | 123 | nodes = [Node(ind) for ind in range(7)] 124 | nodes[0].left = nodes[1] 125 | nodes[0].right = nodes[2] 126 | nodes[1].left = nodes[3] 127 | nodes[1].right = nodes[4] 128 | nodes[2].left = nodes[5] 129 | nodes[3].right = nodes[6] 130 | 131 | root = nodes[0] 132 | del nodes 133 | 134 | preorder = preorder_traverse(root) 135 | inorder = inorder_traverse(root) 136 | postorder = postorder_traverse(root) 137 | 138 | generated_root = generate_tree(preorder, inorder, postorder) 139 | 140 | assert preorder == preorder_traverse(generated_root) 141 | assert inorder == inorder_traverse(generated_root) 142 | assert postorder == postorder_traverse(generated_root) 143 | 144 | 145 | if __name__ == "__main__": 146 | test() 147 | -------------------------------------------------------------------------------- /树/二叉树/二叉搜索树/binary_search_tree.py: -------------------------------------------------------------------------------- 1 | # coding: utf8 2 | 3 | 4 | class Node(object): 5 | """ 6 | 二叉搜索树的节点 7 | """ 8 | def __init__(self, keyword, left=None, right=None): 9 | self.keyword = keyword 10 | self.left = left 11 | self.right = right 12 | 13 | 14 | class BinarySearchTree(object): 15 | """ 16 | 二叉搜索树实现 17 | """ 18 | def __init__(self): 19 | self._root = None 20 | 21 | def insert(self, keyword): 22 | # 如果树为空,则创建新节点,并使之成为根节点 23 | if self._root is None: 24 | self._root = Node(keyword) 25 | return 26 | 27 | node = self._root 28 | while True: 29 | # 如果待插入关键字小于 node 的关键字 30 | if keyword < node.keyword: 31 | # 如果 node 的左子树为空,则创建新节点,并使之成为 node 的左孩子节点 32 | if node.left is None: 33 | node.left = Node(keyword) 34 | break 35 | # 否则,使用相同的方式在左子树上进行插入 36 | node = node.left 37 | # 如果待插入关键字不小于 node 的关键字 38 | else: 39 | # 如果 node 的右子树为空,则创建新节点,并使之成为 node 的右孩子节点 40 | if node.right is None: 41 | node.right = Node(keyword) 42 | break 43 | # 否则,使用相同的方式在右子树上进行插入 44 | node = node.right 45 | 46 | def search(self, keyword): 47 | node = self._root 48 | while node is not None: 49 | # 如果 node 的关键字等于待查询关键字,则搜索成功 50 | if keyword == node.keyword: 51 | return node 52 | # 如果待搜索关键字小于 node 的关键字,则使用相同的方式在左子树上进行查询 53 | if keyword < node.keyword: 54 | node = node.left 55 | continue 56 | # 否则,使用相同的方式在右子树上进行查询 57 | node = node.right 58 | return None 59 | 60 | def delete(self, keyword): 61 | node = self._root 62 | left = None 63 | parent = node 64 | while node is not None: 65 | if keyword == node.keyword: 66 | # 如果待删除节点是叶子节点 67 | if node.left is None and node.right is None: 68 | # 如果待删除节点是根节点,那么将树置空 69 | if node is self._root: 70 | self._root = None 71 | # 否则,将待删除节点的父节点的相应孩子节点置空 72 | elif left: 73 | parent.left = None 74 | else: 75 | parent.right = None 76 | # 如果待删除节点的左子树和右子树都不为空 77 | elif node.left is not None and node.right is not None: 78 | # 找到左子树的最右节点(或者找到右子树的最左节点) 79 | temp = node.left 80 | parent = node 81 | left = True 82 | while temp.right is not None: 83 | parent = temp 84 | left = False 85 | temp = temp.right 86 | # 将待删除节点的关键字置为 temp 的关键字,然后将 temp 删掉 87 | node.keyword = temp.keyword 88 | # 因为 temp 的右子树肯定为空,所以将其左子树接到其父节点 89 | if left: 90 | parent.left = temp.left 91 | else: 92 | parent.right = temp.left 93 | # 如果待删除节点的左子树为空 94 | elif node.left is None: 95 | # 如果待删除节点是根节点,则将根节点置为其右孩子节点 96 | if node is self._root: 97 | self._root = node.right 98 | # 否则,将待删除节点的右孩子节点接到其父节点上 99 | elif left: 100 | parent.left = node.right 101 | else: 102 | parent.right = node.right 103 | # 如果待删除节点的右子树为空 104 | else: 105 | # 如果待删除节点是根节点,则将根节点职位其左孩子节点 106 | if node is self._root: 107 | self._root = node.left 108 | # 否则,将待删除节点的左孩子节点接到其父节点上 109 | elif left: 110 | parent.left = node.left 111 | else: 112 | parent.right = node.left 113 | return 114 | elif keyword < node.keyword: 115 | # 使用相同的方式,去左子树上进行删除 116 | parent = node 117 | left = True 118 | node = node.left 119 | else: 120 | # 使用相同的方式,去右子树上进行删除 121 | parent = node 122 | left = False 123 | node = node.right 124 | 125 | raise KeyError("not found") 126 | 127 | @property 128 | def root(self): 129 | return self._root 130 | 131 | 132 | if __name__ == "__main__": 133 | import random 134 | elements = list(range(20)) 135 | random.shuffle(elements) 136 | print("元素列表:") 137 | print(elements) 138 | 139 | print("插入元素") 140 | binary_search_tree = BinarySearchTree() 141 | for ind in elements: 142 | binary_search_tree.insert(ind) 143 | 144 | def inorder_traverse(root): 145 | if root is None: 146 | return [] 147 | 148 | nodes = [] 149 | nodes.extend(inorder_traverse(root.left)) 150 | nodes.append(root.keyword) 151 | nodes.extend(inorder_traverse(root.right)) 152 | 153 | return nodes 154 | 155 | print("中序遍历:") 156 | print(inorder_traverse(binary_search_tree.root)) 157 | 158 | for ind in elements: 159 | assert binary_search_tree.search(ind) is not None 160 | 161 | print("删除元素") 162 | for ind in elements: 163 | binary_search_tree.delete(ind) 164 | 165 | assert binary_search_tree.root is None 166 | -------------------------------------------------------------------------------- /哈希表/hash_table.py: -------------------------------------------------------------------------------- 1 | # coding: utf8 2 | 3 | 4 | class Entry(object): 5 | """ 6 | 条目 7 | """ 8 | def __init__(self, key, value): 9 | self.key = key 10 | self.value = value 11 | 12 | 13 | class Node(object): 14 | """ 15 | 同义词子表的节点 16 | """ 17 | def __init__(self, entry=None, next_node=None): 18 | self.entry = entry 19 | self.next_node = next_node 20 | 21 | 22 | class HashTable(object): 23 | """ 24 | 基于除留余数和链地址法实现的哈希表 25 | """ 26 | def __init__(self, initial_capacity=None, rehash_factor=None): 27 | """ 28 | :param initial_capacity: 初始容量,默认值是 32 29 | :param rehash_factor: 扩容因子,默认值是 2 30 | """ 31 | self._initial_capacity = initial_capacity or 32 32 | self._capacity = self._initial_capacity 33 | self._underlying_array = [None for _ in range(self._capacity)] 34 | self._item_count = 0 35 | self._rehash_factor = rehash_factor or 2 36 | 37 | def __setitem__(self, key, value): 38 | """ 39 | 插入条目 40 | """ 41 | hash_value = hash(key) % self._capacity 42 | node = self._underlying_array[hash_value] 43 | if node is None: 44 | node = self._underlying_array[hash_value] = Node() 45 | while node.next_node is not None: 46 | # 如果 key 已经存在,更新 value 47 | if node.next_node.entry.key == key: 48 | node.next_node.entry.value = value 49 | return 50 | node = node.next_node 51 | node.next_node = Node(Entry(key, value)) 52 | self._item_count = self._item_count + 1 53 | self.rehash() 54 | 55 | def __getitem__(self, key): 56 | """ 57 | 获取条目 58 | """ 59 | hash_value = hash(key) % self._capacity 60 | node = self._underlying_array[hash_value] 61 | if node is None: 62 | raise KeyError() 63 | node = node.next_node 64 | while node is not None: 65 | if node.entry.key == key: 66 | return node.entry.value 67 | node = node.next_node 68 | raise KeyError() 69 | 70 | def __delitem__(self, key): 71 | """ 72 | 删除条目 73 | """ 74 | hash_value = hash(key) % self._capacity 75 | node = self._underlying_array[hash_value] 76 | if node is None: 77 | raise KeyError() 78 | while node.next_node is not None: 79 | if node.next_node.entry.key == key: 80 | node.next_node = node.next_node.next_node 81 | self._item_count = self._item_count - 1 82 | break 83 | node = node.next_node 84 | else: 85 | raise KeyError() 86 | 87 | def rehash(self): 88 | """ 89 | 扩容 90 | """ 91 | if (self._item_count + 0.0) / self._capacity <= self._rehash_factor: 92 | return 93 | 94 | # 申请新空间 95 | self._capacity = self._capacity + self._initial_capacity 96 | new_underlying_array = [None for _ in range(self._capacity)] 97 | 98 | # 重新映射 99 | for node in self._underlying_array: 100 | if node is None: 101 | continue 102 | temp = node.next_node 103 | while temp is not None: 104 | # 映射到新的存储空间 105 | hash_value = hash(temp.entry.key) % self._capacity 106 | head = new_underlying_array[hash_value] 107 | if head is None: 108 | head = new_underlying_array[hash_value] = Node() 109 | while head.next_node is not None: 110 | head = head.next_node 111 | head.next_node = Node(temp.entry) 112 | temp = temp.next_node 113 | self._underlying_array = new_underlying_array 114 | 115 | def __len__(self): 116 | return self._item_count 117 | 118 | 119 | if __name__ == "__main__": 120 | import unittest 121 | 122 | 123 | class HashTableTest(unittest.TestCase): 124 | def testSetItem(self): 125 | hash_table = HashTable(initial_capacity=32) 126 | # 测试冲突 127 | hash_table[1] = 1 128 | hash_table[33] = 33 129 | self.assertEqual(hash_table[1], 1) 130 | self.assertEqual(hash_table[33], 33) 131 | # 测试 key 重复 132 | hash_table[33] = 34 133 | self.assertEqual(hash_table[33], 34) 134 | 135 | def testRehash(self): 136 | hash_table = HashTable(initial_capacity=2, rehash_factor=2) 137 | keys = list(range(1, 6)) 138 | # 插入新条目,触发 rehash 139 | for key in keys: 140 | hash_table[key] = key 141 | self.assertEqual(hash_table[key], key) 142 | item_count = len(hash_table) 143 | self.assertEqual(item_count, len(keys)) 144 | 145 | # 测试 rehash 后,是否出现错误 146 | for key in keys: 147 | self.assertEqual(hash_table[key], key) 148 | self.assertEqual(len(hash_table), len(keys)) 149 | 150 | # 在 rehash 之后,插入一个新条目 151 | new_key = keys[-1] + 1 152 | hash_table[new_key] = new_key 153 | self.assertEqual(hash_table[new_key], new_key) 154 | self.assertEqual(len(hash_table), item_count + 1) 155 | 156 | def testDelItem(self): 157 | import random 158 | 159 | hash_table = HashTable() 160 | keys = list(range(100)) 161 | 162 | # 插入条目 163 | for key in keys: 164 | hash_table[key] = key 165 | 166 | # 逐个删除 167 | random.shuffle(keys) 168 | item_count = len(hash_table) 169 | self.assertEqual(item_count, len(keys)) 170 | for key in keys: 171 | self.assertEqual(hash_table[key], key) 172 | del hash_table[key] 173 | self.assertRaises(KeyError, hash_table.__getitem__, key) 174 | item_count = item_count - 1 175 | self.assertEqual(len(hash_table), item_count) 176 | 177 | unittest.main() 178 | -------------------------------------------------------------------------------- /树/二叉树/BinaryTree.py: -------------------------------------------------------------------------------- 1 | # coding: utf8 2 | 3 | 4 | class BinaryTreeNode(object): 5 | def __init__(self, element, left=None, right=None): 6 | self.element = element 7 | self.left = left 8 | self.right = right 9 | 10 | ########## 下面是先序、中序、后序遍历的递归实现 ########## 11 | 12 | 13 | def preorder_traverse(root): 14 | if root is None: 15 | return [] 16 | 17 | nodes = [root.element] 18 | nodes.extend(preorder_traverse(root.left)) 19 | nodes.extend(preorder_traverse(root.right)) 20 | 21 | return nodes 22 | 23 | def inorder_traverse(root): 24 | if root is None: 25 | return [] 26 | 27 | nodes = [] 28 | nodes.extend(inorder_traverse(root.left)) 29 | nodes.append(root.element) 30 | nodes.extend(inorder_traverse(root.right)) 31 | 32 | return nodes 33 | 34 | def postorder_traverse(root): 35 | if root is None: 36 | return [] 37 | 38 | nodes = [] 39 | nodes.extend(postorder_traverse(root.left)) 40 | nodes.extend(postorder_traverse(root.right)) 41 | nodes.append(root.element) 42 | 43 | return nodes 44 | 45 | ########## 下面是先序、中序、后序遍历的非递归实现 ########## 46 | ########## 请参考:http://timd.cn/eliminate-recursive/ ########## 47 | 48 | class Frame(object): 49 | def __init__(self, root, return_address=0): 50 | self.root = root 51 | self.return_address = return_address 52 | self.result = [] 53 | 54 | def run(self): 55 | address = 0 56 | value = None 57 | stack = [self.__class__(self.root)] 58 | 59 | while stack: 60 | active_frame = stack[-1] 61 | next_frame = active_frame.execute(address, value) 62 | if next_frame is None: 63 | # 进入返回段 64 | address = active_frame.return_address 65 | value = active_frame.result 66 | stack.pop(-1) 67 | continue 68 | # 进入前进段 69 | stack.append(next_frame) 70 | address = 0 71 | value = None 72 | 73 | return value 74 | 75 | def execute(self, address, value): 76 | raise NotImplementedError("should be overridden") 77 | 78 | 79 | class PreorderTraverseFrame(Frame): 80 | def execute(self, address, value): 81 | if self.root is None: 82 | return 83 | if address == 0: 84 | self.result.append(self.root.element) 85 | return PreorderTraverseFrame(self.root.left, 1) 86 | elif address == 1: 87 | self.result.extend(value) 88 | return PreorderTraverseFrame(self.root.right, 2) 89 | elif address == 2: 90 | self.result.extend(value) 91 | 92 | 93 | class InorderTraverseFrame(Frame): 94 | def execute(self, address, value): 95 | if self.root is None: 96 | return 97 | if address == 0: 98 | return InorderTraverseFrame(self.root.left, 1) 99 | elif address == 1: 100 | self.result.extend(value) 101 | self.result.append(self.root.element) 102 | return InorderTraverseFrame(self.root.right, 2) 103 | elif address == 2: 104 | self.result.extend(value) 105 | return 106 | 107 | 108 | class PostorderTraverseFrame(Frame): 109 | def execute(self, address, value): 110 | if self.root is None: 111 | return 112 | 113 | if address == 0: 114 | return PostorderTraverseFrame(self.root.left, 1) 115 | elif address == 1: 116 | self.result.extend(value) 117 | return PostorderTraverseFrame(self.root.right, 2) 118 | elif address == 2: 119 | self.result.extend(value) 120 | self.result.append(self.root.element) 121 | 122 | ########## 下面是广度优先遍历的非递归实现 ########## 123 | 124 | 125 | def bfs(root): 126 | elements = [] 127 | queue = [root] 128 | while queue: 129 | node = queue.pop(0) 130 | if node is None: 131 | continue 132 | elements.append(node.element) 133 | queue.append(node.left) 134 | queue.append(node.right) 135 | return elements 136 | 137 | ########## 下面是广度优先遍历的递归实现 138 | 139 | 140 | def bfs_recursive(nodes): 141 | if isinstance(nodes, BinaryTreeNode): 142 | nodes = [nodes] 143 | 144 | # 先将本层的节点保存到结果列表,然后生成下层的节点列表 145 | elements = [] 146 | next_nodes = [] 147 | for node in nodes: 148 | if node is None: 149 | continue 150 | elements.append(node.element) 151 | next_nodes.append(node.left) 152 | next_nodes.append(node.right) 153 | # 如果没有下一层,则返回;否则,递归地遍历下一层 154 | if next_nodes: 155 | elements.extend(bfs_recursive(next_nodes)) 156 | return elements 157 | 158 | 159 | if __name__ == "__main__": 160 | import unittest 161 | 162 | class BinaryTreeTest(unittest.TestCase): 163 | def setUp(self): 164 | ###################### 165 | # 0 # 166 | # / \ # 167 | # 1 2 # 168 | # \ / \ # 169 | # 3 4 5 # 170 | ###################### 171 | nodes = [BinaryTreeNode(ind) for ind in range(6)] 172 | nodes[0].left = nodes[1] 173 | nodes[0].right = nodes[2] 174 | nodes[1].right = nodes[3] 175 | nodes[2].left = nodes[4] 176 | nodes[2].right = nodes[5] 177 | self.root = nodes[0] 178 | del nodes 179 | 180 | def testPreorderTraverse(self): 181 | result = [0, 1, 3, 2, 4, 5] 182 | self.assertEqual(preorder_traverse(self.root), result) 183 | self.assertEqual(PreorderTraverseFrame(self.root).run(), result) 184 | 185 | def testInorderTraverse(self): 186 | result = [1, 3, 0, 4, 2, 5] 187 | self.assertEqual(inorder_traverse(self.root), result) 188 | self.assertEqual(InorderTraverseFrame(self.root).run(), result) 189 | 190 | def testPostorderTraverse(self): 191 | result = [3, 1, 4, 5, 2, 0] 192 | self.assertEqual(postorder_traverse(self.root), result) 193 | self.assertEqual(PostorderTraverseFrame(self.root).run(), result) 194 | 195 | def testBFS(self): 196 | result = [0, 1, 2, 3, 4, 5] 197 | self.assertEqual(bfs(self.root), result) 198 | self.assertEqual(bfs_recursive(self.root), result) 199 | 200 | unittest.main() 201 | -------------------------------------------------------------------------------- /树/二叉树/表达式树/InOrder2PostOrder.py: -------------------------------------------------------------------------------- 1 | # coding: utf8 2 | 3 | 4 | class Operator(object): 5 | def __init__(self, char): 6 | self.char = char 7 | 8 | @staticmethod 9 | def get_operator(char): 10 | if char == "+": 11 | return PlusOperator() 12 | if char == "-": 13 | return MinusOperator() 14 | if char == "*": 15 | return MultiplyOperator() 16 | if char == "/": 17 | return DivisionOperator() 18 | return None 19 | 20 | def __str__(self): 21 | return self.char 22 | 23 | def execute(self, left, right): 24 | raise NotImplementedError 25 | 26 | 27 | class PlusOperator(Operator): 28 | def __init__(self): 29 | Operator.__init__(self, "+") 30 | 31 | def __cmp__(self, other): 32 | if isinstance(other, (PlusOperator, MinusOperator)): 33 | return 0 34 | return -1 35 | 36 | def execute(self, left, right): 37 | return left + right 38 | 39 | class MinusOperator(Operator): 40 | def __init__(self): 41 | Operator.__init__(self, "-") 42 | 43 | def __cmp__(self, other): 44 | if isinstance(other, (PlusOperator, MinusOperator)): 45 | return 0 46 | return -1 47 | 48 | def execute(self, left, right): 49 | return left - right 50 | 51 | 52 | class MultiplyOperator(Operator): 53 | def __init__(self): 54 | Operator.__init__(self, "*") 55 | 56 | def __cmp__(self, other): 57 | if isinstance(other, (MultiplyOperator, DivisionOperator)): 58 | return 0 59 | return 1 60 | 61 | def execute(self, left, right): 62 | return left * right 63 | 64 | 65 | class DivisionOperator(Operator): 66 | def __init__(self): 67 | Operator.__init__(self, "/") 68 | 69 | def __cmp__(self, other): 70 | if isinstance(other, (MultiplyOperator, DivisionOperator)): 71 | return 0 72 | return 1 73 | 74 | def execute(self, left, right): 75 | return left / right 76 | 77 | 78 | class Operand(object): 79 | def __init__(self, value): 80 | self.value = value 81 | 82 | def __str__(self): 83 | return str(self.value) 84 | 85 | 86 | class Bracket(object): 87 | def __init__(self, char): 88 | self.char = char 89 | 90 | @staticmethod 91 | def get_bracket(char): 92 | if char == "(": 93 | return LeftBracket() 94 | if char == ")": 95 | return RightBracket() 96 | return None 97 | 98 | def __str__(self): 99 | return self.char 100 | 101 | 102 | class LeftBracket(Bracket): 103 | def __init__(self): 104 | Bracket.__init__(self, "(") 105 | 106 | 107 | class RightBracket(Bracket): 108 | def __init__(self): 109 | Bracket.__init__(self, ")") 110 | 111 | 112 | def inorder_to_postorder(inorder_tokens): 113 | """ 114 | 中缀表达式转后缀表达式 115 | """ 116 | postorder_tokens = [] 117 | stack = [] 118 | for token in inorder_tokens: 119 | # 遇到操作数时,直接输出 120 | if isinstance(token, Operand): 121 | postorder_tokens.append(token) 122 | continue 123 | 124 | # 遇到左括号时,将其压进栈中 125 | if isinstance(token, LeftBracket): 126 | stack.append(token) 127 | continue 128 | 129 | # 遇到右括号时,弹出栈顶的操作符,并输出,直到遇到左括号, 130 | # 并且左括号不输出,右括号不进栈 131 | if isinstance(token, RightBracket): 132 | while stack: 133 | element = stack.pop() 134 | if isinstance(element, LeftBracket): 135 | break 136 | postorder_tokens.append(element) 137 | continue 138 | 139 | # 遇到其它操作符时,弹出栈顶的操作符,并输出,直到栈空或栈顶的操作符的优先级小于该操作符的优先级 140 | # 或遇到左括号,然后将该操作符压入栈中 141 | if isinstance(token, Operator): 142 | while stack: 143 | if isinstance(stack[-1], LeftBracket) or stack[-1] < token: 144 | break 145 | postorder_tokens.append(stack.pop()) 146 | stack.append(token) 147 | continue 148 | 149 | raise RuntimeError("unreachable") 150 | 151 | # 最后将栈中的操作符弹出,直到栈空 152 | while stack: 153 | postorder_tokens.append(stack.pop()) 154 | 155 | return postorder_tokens 156 | 157 | 158 | class Node(object): 159 | def __init__(self, keyword, left=None, right=None): 160 | self.keyword = keyword 161 | self.left = left 162 | self.right = right 163 | 164 | 165 | def postorder_to_expression_tree(tokens): 166 | """ 167 | 后缀表达式转表达式树 168 | """ 169 | stack = [] 170 | for token in tokens: 171 | # 遇到操作数时,则生成单节点,然后放到栈中 172 | if isinstance(token, Operand): 173 | stack.append(Node(token.value)) 174 | continue 175 | # 遇到操作符时,则生成一个新节点,并从栈中弹出两个元素, 176 | # 同时把这两个元素作为新节点的子树,然后将该新节点放入栈中 177 | if isinstance(token, Operator): 178 | right = stack.pop() 179 | left = stack.pop() 180 | stack.append(Node(token.char, left, right)) 181 | continue 182 | 183 | raise RuntimeError("unreachable") 184 | 185 | # 最后栈中的元素就是表达式树的根 186 | return stack[-1] 187 | 188 | 189 | def test(): 190 | expression = "(1+2)*(3+4)+(5*(6+7))+80/(20-10)" # 94 191 | 192 | class Reader(object): 193 | def __init__(self, string): 194 | self._string = string 195 | self._operators = set(list("+-*/()")) 196 | self._cursor = 0 197 | 198 | def read(self): 199 | if self._cursor >= len(self._string): 200 | return 201 | 202 | char = self._string[self._cursor] 203 | self._cursor = self._cursor + 1 204 | if char in self._operators: 205 | return char 206 | 207 | chars = [char] 208 | while self._cursor < len(self._string): 209 | char = self._string[self._cursor] 210 | if char in self._operators: 211 | return "".join(chars) 212 | self._cursor = self._cursor + 1 213 | chars.append(char) 214 | return "".join(chars) 215 | 216 | reader = Reader(expression) 217 | tokens = [] 218 | while True: 219 | token = reader.read() 220 | if token is None: 221 | break 222 | operator = Operator.get_operator(token) 223 | if operator is not None: 224 | tokens.append(operator) 225 | continue 226 | bracket = Bracket.get_bracket(token) 227 | if bracket is not None: 228 | tokens.append(bracket) 229 | continue 230 | tokens.append(Operand(int(token))) 231 | 232 | postorder_tokens = inorder_to_postorder(tokens) 233 | 234 | stack = [] 235 | for token in postorder_tokens: 236 | if isinstance(token, Operand): 237 | stack.append(token) 238 | elif isinstance(token, Operator): 239 | right = stack.pop() 240 | left = stack.pop() 241 | stack.append(Operand(token.execute(left.value, right.value))) 242 | print(stack[-1].value) 243 | 244 | 245 | if __name__ == "__main__": 246 | test() 247 | -------------------------------------------------------------------------------- /图/dinetwork.py: -------------------------------------------------------------------------------- 1 | # coding: utf8 2 | 3 | """ 4 | 有向网实现 5 | """ 6 | 7 | from abc import ABCMeta, abstractmethod 8 | 9 | 10 | class BaseDiGraph(object): 11 | """ 12 | 抽象基类 13 | """ 14 | __metaclass__ = ABCMeta 15 | 16 | def dfs(self): 17 | """深度优先遍历""" 18 | index_list = [] 19 | stack = [0] 20 | status = [0 for _ in range(self.get_vertex_count())] 21 | visited = [False for _ in range(self.get_vertex_count())] 22 | 23 | while stack: 24 | top = stack[-1] 25 | if not visited[top]: 26 | visited[top] = True 27 | index_list.append(top) 28 | 29 | adjacent_index = self.get_adjacent(top, status[top]) 30 | if adjacent_index is None: 31 | stack.pop(-1) 32 | continue 33 | status[top] = status[top] + 1 34 | stack.append(adjacent_index) 35 | return index_list 36 | 37 | def bfs(self): 38 | """ 39 | 广度优先遍历 40 | """ 41 | index_list = [] 42 | queue = [0] 43 | visited = [False for _ in range(self.get_vertex_count())] 44 | 45 | while queue: 46 | vertex = queue.pop(0) 47 | if visited[vertex]: 48 | continue 49 | visited[vertex] = True 50 | index_list.append(vertex) 51 | queue.extend(list(self.get_adjacents(vertex))) 52 | return index_list 53 | 54 | @abstractmethod 55 | def get_adjacent(self, index, offset): 56 | pass 57 | 58 | @abstractmethod 59 | def get_adjacents(self, index): 60 | pass 61 | 62 | @abstractmethod 63 | def get_vertex_count(self): 64 | pass 65 | 66 | 67 | class HeadNode(object): 68 | """ 69 | 头节点 70 | """ 71 | def __init__(self, element): 72 | self._element = element 73 | self._next = None 74 | 75 | def set_element(self, element): 76 | self._element = element 77 | 78 | def get_element(self): 79 | return self._element 80 | 81 | def set_next(self, next): 82 | self._next = next 83 | 84 | def get_next(self): 85 | return self._next 86 | 87 | 88 | class AdjacentNode(object): 89 | """ 90 | 表节点 91 | """ 92 | def __init__(self, index, weight): 93 | self._index = index 94 | self._weight = weight 95 | self._next = None 96 | 97 | def set_index(self, index): 98 | self._index = index 99 | 100 | def get_index(self): 101 | return self._index 102 | 103 | def set_weight(self, weight): 104 | self._weight = weight 105 | 106 | def get_weight(self): 107 | return self._weight 108 | 109 | def set_next(self, next): 110 | self._next = next 111 | 112 | def get_next(self): 113 | return self._next 114 | 115 | 116 | class DiNetworkAdjacent(BaseDiGraph): 117 | """ 118 | 有向网的邻接表表示 119 | """ 120 | def __init__(self): 121 | self._vertex_array = [] 122 | 123 | def add_vertex(self, element): 124 | self._vertex_array.append(HeadNode(element)) 125 | 126 | def set_vertex(self, index, element): 127 | self._vertex_array[index].set_element(element) 128 | 129 | def get_vertex(self, index): 130 | return self._vertex_array[index] 131 | 132 | def add_arch(self, tail, head, weight): 133 | node = self._vertex_array[tail] 134 | 135 | while node.get_next() is not None: 136 | next_node = node.get_next() 137 | if next_node.get_index() == head: 138 | next_node.set_weight(weight) 139 | return 140 | node = next_node 141 | node.set_next(AdjacentNode(head, weight)) 142 | 143 | def delete_vertex(self, index): 144 | self._vertex_array.pop(index) 145 | for head_node in self._vertex_array: 146 | prev = head_node 147 | node = head_node.get_next() 148 | while node is not None: 149 | if node.get_index() == index: 150 | prev.set_next(node.get_next()) 151 | node = prev.get_next() 152 | continue 153 | elif node.get_index() > index: 154 | node.set_index(node.get_index() - 1) 155 | prev = node 156 | node = prev.get_next() 157 | 158 | def delete_arch(self, tail, head): 159 | prev = self._vertex_array[tail] 160 | node = prev.get_next() 161 | while node is not None: 162 | if node.get_index() == head: 163 | prev.set_next(node.get_next()) 164 | break 165 | prev = node 166 | node = prev.get_next() 167 | 168 | def get_adjacent(self, index, offset): 169 | node = self._vertex_array[index] 170 | for ind in range(offset + 1): 171 | node = node.get_next() 172 | if node is None: 173 | break 174 | if ind == offset: 175 | return node.get_index() 176 | return None 177 | 178 | def get_adjacents(self, index, return_node=False): 179 | adjacents = [] 180 | node = self._vertex_array[index].get_next() 181 | while node is not None: 182 | adjacents.append(node if return_node else node.get_index()) 183 | node = node.get_next() 184 | return adjacents 185 | 186 | def get_vertex_count(self): 187 | return len(self._vertex_array) 188 | 189 | 190 | class DiNetworkArray(BaseDiGraph): 191 | """ 192 | 有向网的数组矩阵表示 193 | """ 194 | def __init__(self): 195 | self._vertex_array = [] 196 | self._arch_array = [] 197 | 198 | def add_arch(self, tail, head, weight): 199 | self._arch_array[tail][head] = weight 200 | 201 | def delete_arch(self, tail, head): 202 | self._arch_array[tail][head] = None 203 | 204 | def add_vertex(self, element): 205 | self._vertex_array.append(element) 206 | for array in self._arch_array: 207 | array.append(None) 208 | self._arch_array.append( 209 | [None for _ in range(len(self._vertex_array))]) 210 | 211 | def set_vertex(self, index, element): 212 | self._vertex_array[index] = element 213 | 214 | def delete_vertex(self, index): 215 | self._vertex_array.pop(index) 216 | self._arch_array.pop(index) 217 | for array in self._arch_array: 218 | array.pop(index) 219 | 220 | def get_adjacent(self, index, offset): 221 | real_index = 0 222 | for adjacent_index, weight in enumerate(self._arch_array[index]): 223 | if weight is not None: 224 | if real_index == offset: 225 | return adjacent_index 226 | real_index = real_index + 1 227 | return None 228 | 229 | def get_adjacents(self, index): 230 | for adjacent_index, weight in enumerate(self._arch_array[index]): 231 | if weight is not None: 232 | yield adjacent_index 233 | 234 | def get_vertex_count(self): 235 | return len(self._vertex_array) 236 | 237 | 238 | if __name__ == "__main__": 239 | network = DiNetworkAdjacent() 240 | # network = DiNetworkArray() 241 | for i in range(6): 242 | network.add_vertex(100 * i) 243 | 244 | network.add_arch(0, 1, 1) 245 | network.add_arch(0, 3, 3) 246 | network.add_arch(1, 2, 12) 247 | network.add_arch(1, 4, 14) 248 | network.add_arch(2, 1, 21) 249 | network.add_arch(3, 0, 30) 250 | network.add_arch(3, 5, 35) 251 | network.add_arch(4, 3, 43) 252 | 253 | assert network.dfs() == [0, 1, 2, 4, 3, 5] 254 | assert network.bfs() == [0, 1, 3, 2, 4, 5] 255 | -------------------------------------------------------------------------------- /树/二叉树/线索二叉树/ThreadedBinaryTree.py: -------------------------------------------------------------------------------- 1 | # coding: utf8 2 | 3 | 4 | class Node(object): 5 | """ 6 | 先序和中序线索二叉树的节点 7 | """ 8 | def __init__(self, 9 | keyword, 10 | left=None, 11 | right=None, 12 | ltag=False, 13 | rtag=False): 14 | self.keyword = keyword 15 | self.left = left 16 | self.right = right 17 | self.ltag = ltag 18 | self.rtag = rtag 19 | 20 | def __str__(self): 21 | return "%s{keyword=%s, left=%s, right=%s, ltag=%s, rtag=%s}" % ( 22 | self.__class__.__name__, 23 | self.keyword, 24 | self.left and self.left.keyword, 25 | self.right and self.right.keyword, 26 | self.ltag, 27 | self.rtag 28 | ) 29 | 30 | 31 | class PostorderThreadingNode(Node): 32 | """ 33 | 后序线索二叉树的节点 34 | """ 35 | def __init__(self, *args, **kwargs): 36 | Node.__init__(self, *args, **kwargs) 37 | # 增加指向父节点的指针 38 | self.parent = None 39 | 40 | ########## 中序线索二叉树的构建以及遍历 ########## 41 | 42 | 43 | def find_inorder_first_node(p): 44 | """ 45 | 找到子树 p 的中序序列的第一个节点 46 | """ 47 | if p is None: 48 | return None 49 | 50 | # p 的中序序列的第一个节点是 p 的最左孩子 51 | node = p 52 | while not node.ltag and node.left is not None: 53 | node = node.left 54 | return node 55 | 56 | 57 | def find_inorder_next_node(p): 58 | """ 59 | 找到 p 在中序序列中的下一个节点 60 | """ 61 | if p is None: 62 | return None 63 | 64 | if p.rtag: 65 | return p.right 66 | 67 | # 返回 p 的右子树的中序序列的第一个节点 68 | return find_inorder_first_node(p.right) 69 | 70 | 71 | def inorder_traverse(p): 72 | """ 73 | 中序遍历 74 | """ 75 | keywords = [] 76 | node = find_inorder_first_node(p) 77 | while node is not None: 78 | keywords.append(node.keyword) 79 | node = find_inorder_next_node(node) 80 | 81 | return keywords 82 | 83 | 84 | def inorder_threading(p): 85 | """ 86 | 构建中序线索二叉树 87 | """ 88 | visited = [None] 89 | 90 | def _inorder_threading(p): 91 | if p is None: 92 | return 93 | 94 | _inorder_threading(p.left) 95 | 96 | if p.left is None: 97 | p.left = visited[0] 98 | p.ltag = True 99 | if visited[0] is not None and visited[0].right is None: 100 | visited[0].right = p 101 | visited[0].rtag = True 102 | visited[0] = p 103 | 104 | _inorder_threading(p.right) 105 | 106 | _inorder_threading(p) 107 | 108 | ########## end 中序线索二叉树 ########## 109 | 110 | ########## 后序线索二叉树的构建和遍历 ########## 111 | 112 | 113 | def postorder_threading(p): 114 | """ 115 | 构建后序线索二叉树 116 | """ 117 | visited = [None] 118 | 119 | def _postorder_threading(p): 120 | if p is None: 121 | return 122 | 123 | _postorder_threading(p.left) 124 | 125 | _postorder_threading(p.right) 126 | 127 | if p.left is None: 128 | p.left = visited[0] 129 | p.ltag = True 130 | if visited[0] is not None and visited[0].right is None: 131 | visited[0].right = p 132 | visited[0].rtag = True 133 | visited[0] = p 134 | 135 | _postorder_threading(p) 136 | 137 | 138 | def find_postorder_first_node(p): 139 | """ 140 | 找到子树 p 的后序序列的第一个节点 141 | """ 142 | node = p 143 | while node is not None: 144 | # 先找到最左节点 145 | while not node.ltag and node.left is not None: 146 | node = node.left 147 | # 如果最左节点没有右孩子,则它就是第一个节点 148 | if node.rtag or node.right is None: 149 | break 150 | # 否则,去节点的右子树上去找 151 | node = node.right 152 | return node 153 | 154 | 155 | def find_postorder_next_node(p, root): 156 | """ 157 | 找到 p 在后序序列中的下一个节点 158 | """ 159 | # 如果 p 是根节点,那么返回 None 160 | if p is None or p is root: 161 | return None 162 | 163 | # 返回后继 164 | if p.rtag: 165 | return p.right 166 | 167 | parent = p.parent 168 | # 如果 p 是其父的右孩子,那么其父即为下一个节点 169 | if p is parent.right: 170 | return parent 171 | # 如果 p 是其父的左孩子,但是其父没有右孩子,那么其父即为下一个节点 172 | if p is parent.left and (parent.rtag or parent.right is None): 173 | return parent 174 | # 否则,返回其父的右孩子的后序序列的第一个节点 175 | else: 176 | return find_postorder_first_node(parent.right) 177 | 178 | 179 | def postorder_traverse(p): 180 | """ 181 | 后序遍历 182 | """ 183 | node = find_postorder_first_node(p) 184 | keywords = [] 185 | while node is not None: 186 | keywords.append(node.keyword) 187 | node = find_postorder_next_node(node, p) 188 | return keywords 189 | 190 | ########## end 后序线索二叉树 ########## 191 | 192 | ########## 先序线索二叉树的构建和遍历 ########## 193 | 194 | 195 | def find_preorder_first_node(p): 196 | if p is None: 197 | return None 198 | return p 199 | 200 | 201 | def find_preorder_next_node(p): 202 | if p is None: 203 | return None 204 | 205 | if not p.ltag and p.left is not None: 206 | return p.left 207 | return p.right 208 | 209 | 210 | def preorder_threading(p): 211 | visited = [None] 212 | 213 | def _preorder_threading(p): 214 | if p is None: 215 | return 216 | 217 | if p.left is None: 218 | p.left = visited[0] 219 | p.ltag = True 220 | if visited[0] is not None and visited[0].right is None: 221 | visited[0].right = p 222 | visited[0].rtag = True 223 | visited[0] = p 224 | 225 | _preorder_threading(p.left if not p.ltag else None) 226 | 227 | _preorder_threading(p.right if not p.rtag else None) 228 | 229 | _preorder_threading(p) 230 | 231 | 232 | def preorder_traverse(p): 233 | node = find_preorder_first_node(p) 234 | keywords = [] 235 | while node is not None: 236 | keywords.append(node.keyword) 237 | node = find_preorder_next_node(node) 238 | return keywords 239 | 240 | ########## end 先序线索二叉树 ########## 241 | 242 | 243 | if __name__ == "__main__": 244 | import unittest 245 | 246 | class ThreadingBinaryTreeTest(unittest.TestCase): 247 | def setUp(self): 248 | nodes = [PostorderThreadingNode(ind) for ind in range(11)] 249 | nodes[0].left = nodes[1] 250 | nodes[0].right = nodes[2] 251 | 252 | nodes[1].parent = nodes[0] 253 | nodes[1].left = nodes[3] 254 | 255 | nodes[2].parent = nodes[0] 256 | nodes[2].left = nodes[4] 257 | nodes[2].right = nodes[5] 258 | 259 | nodes[3].parent = nodes[1] 260 | nodes[3].left = nodes[8] 261 | nodes[3].right = nodes[9] 262 | 263 | nodes[4].parent = nodes[2] 264 | nodes[4].right = nodes[7] 265 | 266 | nodes[5].parent = nodes[2] 267 | nodes[5].left = nodes[6] 268 | 269 | nodes[6].parent = nodes[5] 270 | 271 | nodes[7].parent = nodes[4] 272 | 273 | nodes[8].parent = nodes[3] 274 | nodes[8].right = nodes[10] 275 | 276 | nodes[9].parent = nodes[3] 277 | 278 | nodes[10].parent = nodes[8] 279 | 280 | self.root = nodes[0] 281 | 282 | def testInorderThreading(self): 283 | inorder_threading(self.root) 284 | self.assertEqual(inorder_traverse(self.root), 285 | [8, 10, 3, 9, 1, 0, 4, 7, 2, 6, 5]) 286 | 287 | def testPostorderThreading(self): 288 | postorder_threading(self.root) 289 | self.assertEqual(postorder_traverse(self.root), 290 | [10, 8, 9, 3, 1, 7, 4, 6, 5, 2, 0]) 291 | 292 | def testPreorderThreading(self): 293 | preorder_threading(self.root) 294 | self.assertEqual(preorder_traverse(self.root), 295 | [0, 1, 3, 8, 10, 9, 2, 4, 7, 5, 6]) 296 | 297 | unittest.main() 298 | -------------------------------------------------------------------------------- /树/B树/btree.py: -------------------------------------------------------------------------------- 1 | # coding: utf8 2 | 3 | import math 4 | 5 | 6 | def find_insertion_position(array, target): 7 | """ 8 | 寻找插入位置 9 | """ 10 | low = 0 11 | high = len(array) - 1 12 | 13 | if target <= array[0]: 14 | return -1, 0 15 | if target >= array[high]: 16 | return high, high + 1 17 | 18 | while low <= high: 19 | mid = (low + high) / 2 20 | if target == array[mid]: 21 | return mid - 1, mid 22 | elif target < array[mid]: 23 | if target >= array[mid - 1]: 24 | return mid - 1, mid 25 | high = mid - 1 26 | else: 27 | if target <= array[mid + 1]: 28 | return mid, mid + 1 29 | low = mid + 1 30 | 31 | raise RuntimeError("unreachable") 32 | 33 | 34 | class Node(object): 35 | """ 36 | B 树的节点 37 | """ 38 | def __init__(self, keywords, children=None): 39 | self.keywords = keywords 40 | # children 为 None 表示节点是根节点 41 | self.children = children 42 | self.parent = None 43 | 44 | 45 | class BTree(object): 46 | """ 47 | B 树实现 48 | """ 49 | def __init__(self, m): 50 | # B 树的阶数 51 | self.m = m 52 | # 树根 53 | self._root = None 54 | 55 | def insert(self, keyword): 56 | """ 57 | 插入关键字 58 | """ 59 | # 如果树为空,那么创建根节点,初始时根节点只包含一个关键字 60 | if self._root is None: 61 | self._root = Node([keyword]) 62 | return 63 | 64 | # 在叶子节点上插入关键字 65 | node = self._root 66 | while True: 67 | pos = find_insertion_position(node.keywords, keyword) 68 | if node.children is not None: 69 | node = node.children[pos[1]] 70 | else: 71 | node.keywords.insert(pos[1], keyword) 72 | break 73 | 74 | # 如果节点的关键字个数超过 max keywords,则分裂 75 | while len(node.keywords) > self.max_keywords: 76 | mid = self.m / 2 77 | mid_keyword = node.keywords[mid] 78 | 79 | # 在 mid 处,将节点一分为二 80 | new_node = Node(node.keywords[mid + 1:]) 81 | if node.children is not None: 82 | new_node.children = node.children[mid + 1:] 83 | # 重置孩子节点的双亲节点 84 | for child in new_node.children: 85 | child.parent = new_node 86 | node.keywords = node.keywords[:mid] 87 | if node.children is not None: 88 | node.children = node.children[:mid + 1] 89 | 90 | # 如果分裂的是根节点,那么将树增高一层 91 | if node is self._root: 92 | self._root = Node([mid_keyword], [node, new_node]) 93 | node.parent = self._root 94 | new_node.parent = self._root 95 | break 96 | 97 | parent = node.parent 98 | index = None 99 | # TODO: 当前的实现的时间复杂度是 O(m) 100 | for index, child in enumerate(parent.children): 101 | if node is child: 102 | break 103 | # 在父节点上插入关键字和新子树 104 | parent.keywords.insert(index, mid_keyword) 105 | parent.children.insert(index + 1, new_node) 106 | 107 | # 设置新节点的父节点 108 | new_node.parent = parent 109 | 110 | # 从父节点开始,向上回溯 111 | node = parent 112 | 113 | def search(self, keyword): 114 | """ 115 | 搜索关键字 116 | """ 117 | if self._root is None: 118 | raise KeyError(keyword) 119 | 120 | node = self._root 121 | while True: 122 | pos = find_insertion_position(node.keywords, keyword) 123 | if pos[0] == -1: 124 | if keyword == node.keywords[0]: 125 | return node, 0 126 | elif pos[1] == len(node.keywords): 127 | if keyword == node.keywords[-1]: 128 | return node, pos[1] - 1 129 | elif node.keywords[pos[0]] == keyword: 130 | return node, pos[0] 131 | elif node.keywords[pos[1]] == keyword: 132 | return node, pos[1] 133 | if node.children is None: 134 | raise KeyError(keyword) 135 | node = node.children[pos[1]] 136 | 137 | @property 138 | def max_keywords(self): 139 | return self.m - 1 140 | 141 | @property 142 | def min_keywords(self): 143 | return int(math.ceil(self.m / 2.0) - 1) 144 | 145 | def delete(self, keyword): 146 | """ 147 | 删除元素 148 | """ 149 | # 找到待删除元素 150 | deleted_node, deleted_index = self.search(keyword) 151 | 152 | # 使用 deleted_node.children[deleted_index + 1] 的最左关键字代替待被删除的关键字或 153 | # 使用 deleted_node.children[deleted_index] 的最右关键字代替待被删除的关键字 154 | node = deleted_node 155 | index = deleted_index 156 | if deleted_node.children is not None: 157 | node = deleted_node.children[deleted_index + 1] 158 | index = 0 159 | while node.children is not None: 160 | node = node.children[0] 161 | deleted_node.keywords[deleted_index] = node.keywords[index] 162 | 163 | # node 一定是叶子节点,将关键字从叶子节点移除 164 | node.keywords.pop(index) 165 | 166 | # 如果 node 是根节点, 167 | if node is self._root: 168 | # 并且 node 中本来只有一个元素,那么将树置空 169 | if len(node.keywords) == 0: 170 | self._root = None 171 | # 否则,直接退出,因为根节点没最少关键字个数的限制 172 | return 173 | 174 | # 如果节点的关键字个数不满于要求,那么需要进行调整 175 | while len(node.keywords) < self.min_keywords: 176 | # 找到父节点、左兄弟、右兄弟 177 | parent = node.parent 178 | for index, child in enumerate(parent.children): 179 | if node is child: 180 | break 181 | if index == 0: 182 | left_sibling = None 183 | right_sibling = parent.children[index + 1] 184 | elif index == len(parent.children) - 1: 185 | left_sibling = parent.children[index - 1] 186 | right_sibling = None 187 | else: 188 | left_sibling = parent.children[index - 1] 189 | right_sibling = parent.children[index + 1] 190 | 191 | # 尝试从左兄弟借一个节点 192 | if left_sibling is not None and len(left_sibling.keywords) > self.min_keywords: 193 | borrowed_keyword = left_sibling.keywords.pop(-1) 194 | # 需要通过父节点进行中转 195 | node.keywords.insert(0, parent.keywords[index - 1]) 196 | parent.keywords[index - 1] = borrowed_keyword 197 | 198 | if left_sibling.children is not None: 199 | borrowed_subtree = left_sibling.children.pop(-1) 200 | node.children.insert(0, borrowed_subtree) 201 | borrowed_subtree.parent = node 202 | break 203 | 204 | # 尝试从右兄弟借一个节点 205 | if right_sibling is not None and len(right_sibling.keywords) > self.min_keywords: 206 | borrowed_keyword = right_sibling.keywords.pop(0) 207 | # 需要通过父节点进行中转 208 | node.keywords.append(parent.keywords[index]) 209 | parent.keywords[index] = borrowed_keyword 210 | 211 | if right_sibling.children is not None: 212 | borrowed_subtree = right_sibling.children.pop(0) 213 | node.children.append(borrowed_subtree) 214 | borrowed_subtree.parent = node 215 | break 216 | 217 | # 如果有左兄弟,则与父节点、左兄弟进行三方合并 218 | if left_sibling is not None: 219 | left_sibling.keywords.append(parent.keywords[index - 1]) 220 | left_sibling.keywords.extend(node.keywords) 221 | parent.keywords.pop(index - 1) 222 | parent.children.pop(index) 223 | if node.children is not None: 224 | for child in node.children: 225 | child.parent = left_sibling 226 | left_sibling.children.append(child) 227 | maybe_new_root = left_sibling 228 | # 如果有右兄弟,那么与父节点、右兄弟进行三方合并 229 | elif right_sibling is not None: 230 | node.keywords.append(parent.keywords[index]) 231 | node.keywords.extend(right_sibling.keywords) 232 | parent.keywords.pop(index) 233 | parent.children.pop(index + 1) 234 | if right_sibling.children is not None: 235 | for child in right_sibling.children: 236 | child.parent = node 237 | node.children.append(child) 238 | maybe_new_root = node 239 | else: 240 | raise RuntimeError("unreachable") 241 | 242 | # 如果 parent 是父节点, 243 | if parent is self._root: 244 | # 并且合并后,没有关键字了,那么树的高度将降低 1 245 | if len(parent.keywords) == 0: 246 | self._root = maybe_new_root 247 | # 否则,直接退出即可,因为根节点没有最少关键字个数的限制 248 | break 249 | 250 | # 否则从 parent 开始继续向上调整 251 | node = parent 252 | 253 | 254 | def test(): 255 | import random 256 | 257 | tree = BTree(5) 258 | keywords = list(range(100000)) 259 | random.shuffle(keywords) 260 | 261 | # 插入元素 262 | for keyword in keywords: 263 | tree.insert(keyword) 264 | 265 | # 搜索元素 266 | random.shuffle(keywords) 267 | for keyword in keywords: 268 | node, index = tree.search(keyword) 269 | assert node.keywords[index] == keyword 270 | 271 | random.shuffle(keywords) 272 | for keyword in keywords: 273 | tree.delete(keyword) 274 | try: 275 | tree.search(keyword) 276 | raise RuntimeError("delete %s failed" % keyword) 277 | except KeyError: 278 | pass 279 | 280 | 281 | if __name__ == "__main__": 282 | test() 283 | --------------------------------------------------------------------------------