├── data.pk
├── 相似性计算_流程.emmx
├── README.md
├── MainCode_gensim_V1.0.py
├── MainCode_V1.0.py
├── 相似度计算_主要度量方法.md
└── stopwords.txt
/data.pk:
--------------------------------------------------------------------------------
https://raw.githubusercontent.com/xiaoshuwen1995/Text-Similarity-Match/HEAD/data.pk
--------------------------------------------------------------------------------
/相似性计算_流程.emmx:
--------------------------------------------------------------------------------
https://raw.githubusercontent.com/xiaoshuwen1995/Text-Similarity-Match/HEAD/相似性计算_流程.emmx
--------------------------------------------------------------------------------
/README.md:
--------------------------------------------------------------------------------
1 | # Text-Similarity-Match
2 | 实现功能:新输入一段文本,与已有数据进行相似度进行比较,返回TOP10的文本。主要实现方法:jieba中文分词、TF-IDF词汇重要性、cosine余弦相似度。
3 |
--------------------------------------------------------------------------------
/MainCode_gensim_V1.0.py:
--------------------------------------------------------------------------------
1 | # -*- coding: utf-8 -*-
2 | # @Time : 2020/7/29 19:42
3 | # @Author : QUENTINNE
4 | # @File : gensim1.py
5 | # @Software: PyCharm
6 |
7 | """
8 | 基于gensim模块的中文句子相似度计算
9 | 思路如下:
10 | 1.文本预处理:中文分词,去除停用词
11 | 2.计算词频
12 | 3.创建字典(单词与编号之间的映射)
13 | 4.将待比较的文档转换为向量(词袋表示方法)
14 | 5.建立语料库
15 | 6.初始化模型
16 | 7.创建索引
17 | 8.相似度计算并返回相似度最大的文本
18 | """
19 |
20 | import logging
21 | from collections import defaultdict
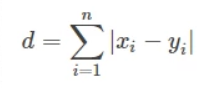
22 |
23 | import jieba
24 | from gensim import corpora, models, similarities
25 |
26 | # 设置日志
27 | logging.basicConfig(format='%(asctime)s : %(levelname)s : %(message)s', level=logging.INFO)
28 |
29 |
30 | def read_file():
31 | # 准备数据:现有8条文本数据,将8条文本数据放入到list中
32 | documents = ["1)键盘是用于操作设备运行的一种指令和数据输入装置,也指经过系统安排操作一台机器或设备的一组功能键(如打字机、电脑键盘)",
33 | "2)鼠标称呼应该是“鼠标器”,英文名“Mouse”,鼠标的使用是为了使计算机的操作更加简便快捷,来代替键盘那繁琐的指令。",
34 | "3)中央处理器(CPU,Central Processing Unit)是一块超大规模的集成电路,是一台计算机的运算核心(Core)和控制核心( Control Unit)。",
35 | "4)硬盘是电脑主要的存储媒介之一,由一个或者多个铝制或者玻璃制的碟片组成。碟片外覆盖有铁磁性材料。",
36 | "5)内存(Memory)也被称为内存储器,其作用是用于暂时存放CPU中的运算数据,以及与硬盘等外部存储器交换的数据。",
37 | "6)显示器(display)通常也被称为监视器。显示器是属于电脑的I/O设备,即输入输出设备。它是一种将一定的电子文件通过特定的传输设备显示到屏幕上再反射到人眼的显示工具。",
38 | "7)显卡(Video card,Graphics card)全称显示接口卡,又称显示适配器,是计算机最基本配置、最重要的配件之一。",
39 | "8)cache高速缓冲存储器一种特殊的存储器子系统,其中复制了频繁使用的数据以利于快速访问。"]
40 | # 待比较的文档
41 | new_doc = "内存又称主存,是CPU能直接寻址的存储空间,由半导体器件制成。"
42 | return documents, new_doc
43 |
44 |
45 | def main():
46 | documents, new_doc = read_file()
47 | # 1.文本预处理:中文分词,去除停用词
48 | print('1.文本预处理:中文分词,去除停用词')
49 | # 获取停用词
50 | stopwords = set()
51 | file = open("stopwords.txt", 'r', encoding='UTF-8')
52 | for line in file:
53 | stopwords.add(line.strip())
54 | file.close()
55 |
56 | # 将分词、去停用词后的文本数据存储在list类型的texts中
57 | texts = []
58 | for line in documents:
59 | words = ' '.join(jieba.cut(line)).split(' ') # 利用jieba工具进行中文分词
60 | text = []
61 | # 过滤停用词,只保留不属于停用词的词语
62 | for word in words:
63 | if word not in stopwords:
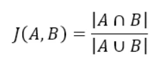
64 | text.append(word)
65 | texts.append(text)
66 | for line in texts:
67 | print(line)
68 |
69 | # 待比较的文档也进行预处理(同上)
70 | words = ' '.join(jieba.cut(new_doc)).split(' ')
71 | new_text = []
72 | for word in words:
73 | if word not in stopwords:
74 | new_text.append(word)
75 | print(new_text)
76 |
77 | # 2.计算词频
78 | print('2.计算词频')
79 | frequency = defaultdict(int) # 构建一个字典对象
80 | # 遍历分词后的结果集,计算每个词出现的频率
81 | for text in texts:
82 | for word in text:
83 | frequency[word] += 1
84 | # 选择频率大于1的词(根据实际需求确定)
85 | texts = [[word for word in text if frequency[word] > 1] for text in texts]
86 | for line in texts:
87 | print(line)
88 |
89 | # 3.创建字典(单词与编号之间的映射)
90 | print('3.创建字典(单词与编号之间的映射)')
91 | dictionary = corpora.Dictionary(texts)
92 | print(dictionary)
93 | # 打印字典,key为单词,value为单词的编号
94 | print(dictionary.token2id)
95 |
96 | # 4.将待比较的文档转换为向量(词袋表示方法)
97 | print('4.将待比较的文档转换为向量(词袋表示方法)')
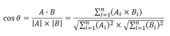
98 | # 使用doc2bow方法对每个不同单词的词频进行了统计,并将单词转换为其编号,然后以稀疏向量的形式返回结果
99 | new_vec = dictionary.doc2bow(new_text)
100 | print(new_vec)
101 |
102 | # 5.建立语料库
103 | print('5.建立语料库')
104 | # 将每一篇文档转换为向量
105 | corpus = [dictionary.doc2bow(text) for text in texts]
106 | print(corpus)
107 |
108 | # 6.初始化模型
109 | print('6.初始化模型')
110 | # 初始化一个tfidf模型,可以用它来转换向量(词袋整数计数),表示方法为新的表示方法(Tfidf 实数权重)
111 | tfidf = models.TfidfModel(corpus)
112 | # 将整个语料库转为tfidf表示方法
113 | corpus_tfidf = tfidf[corpus]
114 | for doc in corpus_tfidf:
115 | print(doc)
116 |
117 | # 7.创建索引
118 | print('7.创建索引')
119 | # 使用上一步得到的带有tfidf值的语料库建立索引
120 | index = similarities.MatrixSimilarity(corpus_tfidf)
121 |
122 | # 8.相似度计算并返回相似度最大的文本
123 | print('8.相似度计算并返回相似度最大的文本')
124 | new_vec_tfidf = tfidf[new_vec] # 将待比较文档转换为tfidf表示方法
125 | print(new_vec_tfidf)
126 | # 计算要比较的文档与语料库中每篇文档的相似度
127 | sims = index[new_vec_tfidf]
128 | print(sims)
129 | sims_list = sims.tolist()
130 | # print(sims_list.index(max(sims_list))) # 返回最大值
131 | print("最相似的文本为:", documents[sims_list.index(max(sims_list))]) # 返回相似度最大的文本
132 |
133 |
134 | if __name__ == "__main__":
135 | main()
136 |
--------------------------------------------------------------------------------
/MainCode_V1.0.py:
--------------------------------------------------------------------------------
1 | import pickle
2 |
3 | import jieba
4 | import numpy as np
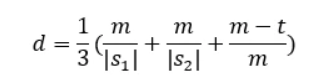
5 |
6 | with open('data.pk', 'rb') as f:
7 | all_dick, idf_dict = pickle.load(f)
8 |
9 | print(all_dick)
10 | print(idf_dict)
11 |
12 |
13 | # 按行读取文本文件。
14 | def read_file(file_path):
15 | with open(file_path, 'r', encoding='utf-8-sig') as f:
16 | fina_outlist = [line.strip() for line in f.readlines()]
17 | return fina_outlist
18 |
19 |
20 | # 按行读取词袋文件。每一行按空格切分为一个list,组成2维列表。
21 | def read_file2matrix(file_path):
22 | fina_outlist = []
23 | with open(file_path, 'r', encoding='utf-8-sig') as f:
24 | for line in f.readlines():
25 | outlist = [float(i) for i in line.strip().split(' ') if i != ' ']
26 | fina_outlist.append(outlist)
27 | return fina_outlist
28 |
29 |
30 | jieba.load_userdict("userdict1.txt")
31 |
32 | # 将停用词读出放在stopwords这个列表中
33 | filepath = r'stopwords1.txt'
34 | stopwords = [line.strip() for line in open(filepath, 'r', encoding='utf-8').readlines()]
35 |
36 |
37 | def split_words(words):
38 | word_list = jieba.cut_for_search(words.lower().strip(), HMM=True)
39 | word_list = [i for i in word_list if i not in stopwords and i != ' ']
40 | return word_list
41 |
42 |
43 | # 统计词频,并返回字典
44 | def make_word_freq(word_list):
45 | freword = {}
46 | for i in word_list:
47 | if str(i) in freword:
48 | freword[str(i)] += 1
49 | else:
50 | freword[str(i)] = 1
51 | return freword
52 |
53 |
54 | # 计算tfidf,组成tfidf矩阵
55 | def make_tfidf(word_list, all_dick, idf_dict):
56 | length = len(word_list)
57 | word_list = [word for word in word_list if word in all_dick]
58 | word_freq = make_word_freq(word_list)
59 | w_dic = np.zeros(len(all_dick))
60 | for word in word_list:
61 | ind = all_dick[word]
62 | idf = idf_dict[word]
63 | w_dic[ind] = float(word_freq[word] / length) * float(idf)
64 | return w_dic
65 |
66 |
67 | # 基于numpy的余弦相似性计算
68 | def Cos_Distance(vector1, vector2):
69 | vec1 = np.array(vector1)
70 | vec2 = np.array(vector2)
71 | return float(np.sum(vec1 * vec2)) / (np.linalg.norm(vec1) * np.linalg.norm(vec2))
72 |
73 |
74 | # 计算相似度
75 | def similarity_words(vec, vecs_list):
76 | Similarity_list = []
77 | for vec_i in vecs_list:
78 | Similarity = Cos_Distance(vec, vec_i)
79 | Similarity_list.append(Similarity)
80 | print(np.array(Similarity_list).shape, len(Similarity_list))
81 | return Similarity_list
82 |
83 |
84 | def main(words, file_path, readed_path):
85 | words_list = read_file(file_path)
86 | # 按行读取文本
87 | # ['Apple iPhone 8 Plus (A1864) 64GB 深空灰色 移动联通电信4G手机', '荣耀 畅玩7X 4GB+32GB 全网通4G全面屏手机 标配版 铂光金', 'Apple iPhone 8 (A1863) 64GB 深空灰色 移动联通电信4G手机', 'Apple iPhone 7 Plus (A1661) 128G 黑色 移动联通电信4G手机',
88 |
89 | vecs_list = read_file2matrix(readed_path)
90 | # 按行读取tf-idf词袋
91 | # [[0.0, 0.0, 0.0, 0.0, 0.0, 0.0, 0.0, 0.0, 0.0, 0.0, 0.0, 0.0, 0.0, 0.0, 0.0, 0.0, 0.0, 0.0, 0.0, 0.0, 0.0, 0.0, 0.0, 0.0, 0.0, 0.0, 0.0, 0.0, 0.0, 0.0, 0.0, 0.0, 0.0, 0.0, 0.0, 0.0, 0.0, 0.791469566521, 0.0, 0.0, 0.0, 0.0, 0.0, 0.0
92 |
93 | word_list = split_words(words)
94 | # 待对比语句读取并放在list里
95 | # ['apple', 'iphone', 'plus', 'a1864', '64gb', '深空', '灰色', '联通', '电信', '4g']
96 |
97 | vec = make_tfidf(word_list, all_dick, idf_dict)
98 | # 计算tfidf,组成tfidf矩阵
99 | """
100 | 0. 0. 0. 0. 0. 0. 0.
101 | 0. 0. 0. 0. 0. 0. 0.
102 | 0. 0. 0. 0. 0. 0. 0.
103 | 0. 0. 0. 0. 0. 0. 0.
104 | 0. 0. 0. 0. 0. 0. 0.
105 | 0. 0. 0.79146957 0.
106 |
107 | """
108 |
109 | similarity_lists = similarity_words(vec, vecs_list)
110 | # 计算相似度
111 | # [1.0000000000000002, 0.16116438715917517, 0.85811543720398442, 0.66742265521921251, 0.39477066819942941, 0.60302174693627475, 0.81818098341043122, 0.43081962853380523, 0.35533402523151619, 0.17407746930651016]
112 |
113 | sorted_res = sorted(enumerate(similarity_lists), key=lambda x: x[1])
114 | # 从小到大排序
115 | # [(84, 0.0), (87, 0.0), (92, 0.0), (119, 0.0), (134, 0.0), (138, 0.0), (162, 0.0), (294, 0.0), (431, 0.0), (579, 0.0)]
116 |
117 | outputs = [[words_list[i[0]], i[1]] for i in sorted_res[-10:]]
118 | # 按刚才的顺序取回最后10个句子和相似度
119 | # [['Apple iPhone 7 Plus (A1661) 128G 黑色 移动联通电信4G手机', 0.66742265521921251]
120 |
121 | return outputs
122 |
123 |
124 | # words = '回收站'
125 | words = '荣耀 畅玩7X 4GB+32GB 全网通4G全面屏手机 标配版 铂光金'
126 | # words = 'Apple iPhone 8 Plus (A1864) 64GB 深空灰色 移动联通电信4G手机'
127 | # words = '小米8'
128 | # words = "黑色手机"
129 | # words = 'Apple iPhone 8'
130 | # words = '索尼 sony'
131 | file_path = r'MobilePhoneTitle.txt' # 已经分词的文本
132 | readed_path = r"MobilePhoneTitle_tfidf.txt" # 已经分词的文本转成tiidf的词袋
133 | outputs = main(words, file_path, readed_path)
134 | # print(outputs)
135 | for i in outputs[::-1]: # 将句子逆序并打印出来
136 | print(i[0] + ' ' + str(i[1]))
137 |
--------------------------------------------------------------------------------
/相似度计算_主要度量方法.md:
--------------------------------------------------------------------------------
1 | # $NLP$文本相似度
2 |
3 | ## 1. 背景介绍
4 |
5 | **文本相似度,顾名思义是指两个文本(文章)之间的相似度**,在搜索引擎、推荐系统、论文鉴定、机器翻译、自动应答、命名实体识别、拼写纠错等领域有广泛的应用。总的来说,文本相似度是自然语言处理($NLP$)中必不可少的重要环节,几乎所有 $NLP$ 的领域都会涉及到!
6 |
7 | 与之相对应的,还有一个概念是文本距离。**文本距离指的是两个文本之间的距离。**文本距离和文本相似度是负相关的——距离小,“离得近”,相似度高;距离大,“离得远”,相似度低。业务上不会对这两个概念进行严格区分,有时用文本距离,有时则会用文本相似度。
8 |
9 | > 这篇文章来自我的博客:https://xiaoshuwen.blog.csdn.net/article/details/103218347
10 |
11 | ## 2. 各类算法
12 |
13 | ### **2.1 欧氏距离**
14 |
15 | 数学中的一个非常经典的距离,公式如下:
16 |
17 | 
18 |
19 | 
20 |
21 | > 例 1:计算 “产品经理” 和“产业经理是什么”这两段文本之间的欧氏距离。
22 | >
23 | > 过程如下:
24 | >
25 | > - 文本向量 $A$ =(产,品,经,理),即 $x_1$ = 产,$x_2$= 品,$x_3$= 经,$x_4$= 理,$x_5$、$x_6$、$x_7$均为空;
26 | > - 文本向量 $B$ =(产,业,经,理,是,什,么),即 $y_1$ = 产,$y_2$= 业,$y_3$ = 经,$y_4$ = 理,$y_5$ = 是,$y_6$ = 什,$y_7$ = 么。
27 | >
28 | > 这里规定,若 $xi$=$yi$,则 $xi$-$yi$=0;若 $xi$≠$yi$,|$xi$-$yi$|=1。
29 | >
30 | > 所以,最终计算出欧氏距离$d$是 2。
31 | >
32 | > 
33 |
34 | 
35 |
36 | **(1)适用场景**
37 |
38 | **编码检测等类似领域**。两串编码必须完全一致,才能通过检测,这时一个移位或者一个错字,可能会造成非常严重的后果。比如下图第一个二维码是 “这是一篇文本相似度的文章”,第二个是 “这是一篇文本相似度文章”。从人的理解来看,这两句话相似度非常高,但是生成的二维码却千差万别。
39 |
40 | **(2)不适用场景**
41 |
42 | 文本相似度,意味着要能区分相似 / 差异的程度,而欧氏距离更多的只能区分出是否完全一样。而且,**欧氏距离对位置、顺序非常敏感**,比如 “我的名字是小晓酱” 和“小晓酱是我的名字”,在人看来,相似度非常高,但是用欧氏距离计算,两个文本向量每个位置的值都不同,即完全不匹配。
43 |
44 | ### **2.2 曼哈顿距离**
45 |
46 | 和欧氏距离非常相似(把平方换成了绝对值,拿掉了根号),公式如下:
47 |
48 | 
49 |
50 | 
51 |
52 | 适用场景和缺点同欧氏距离。
53 |
54 | ### **2.3** **编辑距离**(Levenshtein 距离、莱文斯坦距离)
55 |
56 | > **编辑距离(Edit Distance) 一文读懂:https://blog.csdn.net/sinat_26811377/article/details/102652547**
57 |
58 | 顾名思义,编辑距离指的是将文本 A 编辑成文本 B 需要的**最少变动次数**(每次只能增加、删除或修改一个字)。
59 |
60 | > **例 2:计算 “椰子” 和“椰子树”之间的编辑距离。**
61 | >
62 | > 因为将 “椰子” 转化成 “椰子树”,至少需要且只需要 1 次改动(反过来,将“椰子树” 转化成“椰子”,也至少需要 1 次改动,如下图),所以它们的编辑距离是 1。
63 | >
64 | > 
65 | >
66 | > 
67 |
68 | **因此,编辑距离是对称的**,即将 A 转化成 B 的最小变动次数和将 B 转化成 A 的最小变动次数是相等的。
69 |
70 | 同时,**编辑距离与文本的顺序有关。**
71 |
72 | 比如,“椰子”和 “子椰”,虽然都是由“椰”“子” 组成,但因为顺序变了,编辑距离是 2(如下图),而不是 0。
73 |
74 | 
75 |
76 | 
77 |
78 | **(1)适用场景**
79 |
80 | 编辑距离**对顺序要求比较高**。算出来很小,文本相似度肯定很高。如果用算法语言来说的话,就是**准确率很高**。
81 |
82 | **(2)不适用场景**
83 |
84 | 反过来说,虽然准确率很高,但**召回率不高**。在某些业务场景中,漏掉的情况会引起严重后果。比如 “批发零售” 和“零售批发”,人的理解应该非常相似,可编辑距离却是 4,相当于完全不匹配,这显然不符合预期。
85 |
86 | ### **2.4 Jaccard 相似度(杰卡德相似度)**
87 |
88 | 杰卡德相似度,指的是文本 A 与文本 B 中**交集的字数除以并集的字数**,公式非常简单:
89 |
90 |
91 |
92 | 
93 |
94 | 如果要计算 Jaccard 距离,公式稍作变更即可:
95 |
96 |
97 |
98 | 
99 |
100 | > **例 3:计算 “荒野求生” 和“绝地求生”的杰卡德相似度。**
101 | >
102 | > 因为它们交集是 {求,生},并集是 {荒,野,求,生,绝,地},所以它们的杰卡德相似度 = 2/6=1/3。
103 |
104 | **杰卡德相似度与文本的位置、顺序均无关。**比如 “王者荣耀” 和“荣耀王者”的相似度是 100%。无论 “王者荣耀” 这 4 个字怎么排列,最终相似度都是 100%。
105 |
106 | 在某些情况下,会**先将文本分词,再以词为单位计算相似度**。比如将 “王者荣耀” 切分成 “王者 / 荣耀”,将“荣耀王者” 切分成“荣耀 / 王者”,那么交集就是{王者,荣耀},并集也是{王者,荣耀},相似度恰好仍是 100%。
107 |
108 | **(1)适用场景**
109 |
110 | - **对字 / 词的顺序不敏感的文本**。比如前述的 “零售批发” 和“批发零售”可以很好地兼容。
111 | - **较长的文本**。比如一篇论文,甚至一本书。如果两篇论文相似度较高,说明交集比较大,很多用词是重复的,存在抄袭嫌疑。
112 |
113 | **(2)不适用场景**
114 |
115 | - **重复字符较多的文本**。比如 “这是是是是是是一个文本” 和“这是一个文文文文文文本”,这两个文本有很多字不一样,直观感受相似度不会太高,但计算出来的相似度却是 100%(交集 = 并集)。
116 | - **对文字顺序很敏感的文本**。比如 “一九三八年” 和“一八三九年”,杰卡德相似度是 100%,意思却完全不同。
117 |
118 |
119 |
120 | ### **2.5 余弦相似度**
121 |
122 | 余弦相似度的灵感来自于数学中的余弦定理,这里对数学内容不做过多解释,直接上公式:
123 |
124 | 
125 |
126 | 
127 |
128 | 其中,A、B 分别是文本一、文本二对应的 n 维向量。取值方式用语言比较难描述,直接看例子吧
129 |
130 |
131 |
132 | > **例 4:文本一是 “一个雨伞”,文本二是 “下雨了开雨伞”,计算它们的余弦相似度。**
133 | >
134 | > 它们的并集是 {一,个,雨,伞,下,了,开},共 7 个字。
135 | >
136 | > - 若并集中的第 1 个字符在文本一中出现了 $n$ 次,则 $A1$=$n$($n$=0,1,2……)。
137 | > - 若并集中的第 2 个字符在文本一中出现了 $n$ 次,则 $A2$=$n$($n$=0,1,2……)。
138 | >
139 | > 依此类推,算出 $A3$、$A4$、……、$A7$,$B1$、$B2$、……、$B7$,最终得到:
140 | >
141 | > - 文本1的向量:$A$=(1,1,1,1,0,0,0)
142 | > - 文本2的向量:$B$=(0,0,2,1,1,1,1)
143 | >
144 | > 将 A、B 代入计算公式,得到
145 | >
146 | > 
147 | >
148 | > 
149 |
150 | **(1)适用场景**
151 |
152 | 余弦相似度和杰卡德相似度虽然计算方式差异较大,但性质上很类似(与文本的交集高度相关),所以适用场景也非常类似。
153 |
154 | **余弦相似度相比杰卡德相似度最大的不同在于它考虑到了文本的频次**。比如上面例子出现了 2 次 “雨”,和只出现 1 次“雨”,相似度是不同的;再比如“这是是是是是是一个文本” 和“这是一个文文文文文文本”,余弦相似度是 39%,整体上符合 “相同的内容少于一半,但超过 1/3” 的观感(仅从文本来看,不考虑语义)。
155 |
156 | **(2)不适用场景**
157 |
158 | **向量之间方向相同,但大小不同的情况**(这种情况下余弦相似度是 100%)。
159 |
160 | 比如 “太棒了” 和“太棒了太棒了太棒了”,向量分别是(1,1,1)和(3,3,3),计算出的相似度是 100%。
161 |
162 | 这时候要根据业务场景进行取舍,有些场景下我们认为它们意思差不多,只是语气程度不一样,这时候余弦相似度是很给力的;有些场景下我们认为它们差异很大,哪怕意思差不多,但从文本的角度来看相似度并不高(最直白的,一个 3 个字,一个 9 个字),这时候余弦相似度就爱莫能助了。
163 |
164 | ### **2.6 Jaro 相似度**
165 |
166 | Jaro 相似度主要用来判定健康记录上两个名字是否相同,公式如下:
167 |
168 | 
169 |
170 | 
171 |
172 | 其中,$m$是两个字符串中**相互匹配**的字符数量;|$s_1 $| 和 |$s_2 $| 表示两个字符串的长度(字符数量);$t $是**换位数量**。
173 |
174 | 这里着重说一下 “**匹配**” 和 “**换位**” 的概念。
175 |
176 | 先列一个公式,我称之为 “匹配阈值”:
177 |
178 | 
179 |
180 | 
181 |
182 | 当 $s_1 $中某字符与 $s_2 $中某**字符相同**,且它们的**位置相距小于等于 $k$**时,就说它们是匹配的。
183 |
184 | > 比如 “我明白了” 和“快一点告诉我”,按公式算出 $k$=2。虽然两个字符串中都有 “我” 字,但一个在第 1 位,另一个在第 6 位,相距为 5,大于 $k $值,所以这两个字符串没有任何一个字符是匹配的。
185 | >
186 | > 再比如 “我明白了” 和“明白了我”,$k$=1。这两个字符串的 “明”“白”“了” 是匹配的,但是 “我” 是不匹配的,所以它们有 3 个字符是匹配的。
187 |
188 | 换位的意思,是将 $s_1$和 $s_2 $匹配的字符依次抽出来,看它们顺序不一样的字符有多少个,这个数就是换位数量。
189 |
190 | > **例 5:计算 “我表白了一个女孩” 和“近几天我白表了一次情”的 Jaro 相似度。**
191 | >
192 | > |$s_1$|=8,|$s_2$|=10,$k$=4,匹配的字符有5个,即$m$=5,分别是 “我”“表”“白”“了”“一”。
193 | >
194 | > 将 $s_1$中的匹配字符依次抽出来,得到一个向量 $r_1$=(我,表,白,了,一)。
195 | >
196 | > 将 $s_2 $中的匹配字符依次抽出来,得到一个向量 $r_2$=(我,白,表,了,一)。
197 | >
198 | > 比对 $r_1 $和 r_2,发现有 2 个位置的值不一样(第 2 位和第 3 位),所以换位数 $t$=2。
199 | >
200 | > 于是,$d$=1/3[5/8+5/10+(5-2)/5]=57.5%。
201 |
202 | **(1)适用场景**
203 |
204 | **对位置、顺序敏感的文本**。文本位置的偏移,很容易使匹配字符数 $m $变少;文本顺序的变换,会使换位数量 $t $增大。它们都会使 Jaro 相似度减小。换句话说,如果某业务场景下需要考虑文本位置偏移、顺序变换的影响,既不希望位置或顺序变了相似度却保持不变,又不希望直接一刀切将相似度变为 0,那 Jaro 距离是十分合适的。
205 |
206 | **(2)不适用场景**
207 |
208 | 未知(什么!作者这么任性的吗?)。其实,我自己确实没想清楚,也没有在实践中使用过这个算法。
209 |
210 | 整体来说,Jaro 距离是比较综合的文本相似度算法,从换位字符数来看,有点像编辑距离;从匹配字符的抽取来看,又有点像 “交集”。
211 |
212 | 最后,对例 5 做个横向对比:**“我表白了一个女孩” 和“近几天我白表了一次情”**。
213 |
214 | - **方法3的编辑距离**算出来是 8,$s_1 $长度是 8,$s_2 $长度是 10,编辑距离等于 8。从数据上看非常不相似,与人的感官差异很大。
215 | - **方法4的杰卡德相似度**算出来是 38.5%。数值比较低,和人的感官差异较大。
216 | - **方法5的余弦相似度**算出来是 55.9%。和 Jaro 距离算出来差不多,都是 50%+,比较符合人的感官,超过一半的内容是相同的,同时有将近一半内容是不同的。
217 | - 如果在此例中,调整字符顺序,让换位数量 $t$变大,匹配数量 m 变小,**余弦相似度不变,Jaro 相似度会降低。**
218 |
219 | ## 3. 拓展阅读
220 |
221 | ### **3.1 名词解释**
222 |
223 | 算法中的重要概念(指标)——**准确率、精确率、召回率**。其中准确率和精确率很容易混淆,详细差别可以点开以下链接:http://t.cn/R6y8ay9
224 |
225 | ### **3.2 贝叶斯公式**
226 |
227 | $NLP $领域,我个人认为有两个非常重要的、频繁出现的基本公式,一个是前述的文本相似度,另一个就是贝叶斯公式了。对这块有兴趣的同学,可以阅读下文:http://t.cn/haY0x
228 |
229 | 作者写的非常易于理解——我在《深度学习》这本书里看 $NLP $相关内容时,有几个公式怎么都理解不了,看这篇文章简直是秒懂。
230 |
231 | ### **3.3 代码**
232 |
233 | 编辑距离的代码见百度百科最底部,有兴趣的同学可以扩展阅读:http://t.cn/R850kBe
234 |
235 | 余弦相似度的代码见这篇 CSDN 博客 ,写的比较详细:http://t.cn/R850ru8
236 |
237 | 切记,一定要在电脑上打开链接查看代码(别问我怎么知道的)。
238 |
239 | PS. 代码这一块我就意思一下,不是重点,不再每个算法都一一列举了。
--------------------------------------------------------------------------------
/stopwords.txt:
--------------------------------------------------------------------------------
1 | 【
2 | 】
3 | (
4 | )
5 | (
6 | )
7 | ,
8 | ,
9 | !
10 | !
11 | 《
12 | 》
13 | <
14 | >
15 | |
16 | 、
17 | /
18 | \
19 | ~
20 | ~
21 | "
22 | "
23 | :
24 | ;
25 | +
26 | -
27 | _
28 | =
29 | @
30 | #
31 | $
32 | %
33 | ^
34 | &
35 | *
36 | ++
37 | +++
38 | ’
39 | !
40 | "
41 | #
42 | $
43 | %
44 | &
45 | '
46 | (
47 | )
48 | *
49 | +
50 | ,
51 | -
52 | --
53 | .
54 | ..
55 | ...
56 | ......
57 | ...................
58 | ./
59 | .一
60 | .数
61 | .日
62 | /
63 | //
64 | 0
65 | 1
66 | 2
67 | 3
68 | 4
69 | 5
70 | 6
71 | 7
72 | 8
73 | 9
74 | :
75 | ://
76 | ::
77 | ;
78 | <
79 | =
80 | >
81 | >>
82 | ?
83 | @
84 | A
85 | Lex
86 | [
87 | \
88 | ]
89 | ^
90 | _
91 | `
92 | exp
93 | sub
94 | sup
95 | |
96 | }
97 | ~
98 | ~~~~
99 | ·
100 | ×
101 | ×××
102 | Δ
103 | Ψ
104 | γ
105 | μ
106 | φ
107 | φ.
108 | В
109 | —
110 | ——
111 | ———
112 | ‘
113 | ’
114 | ’‘
115 | “
116 | ”
117 | ”,
118 | …
119 | ……
120 | …………………………………………………③
121 | ′∈
122 | ′|
123 | ℃
124 | Ⅲ
125 | ↑
126 | →
127 | ∈[
128 | ∪φ∈
129 | ≈
130 | ①
131 | ②
132 | ②c
133 | ③
134 | ③]
135 | ④
136 | ⑤
137 | ⑥
138 | ⑦
139 | ⑧
140 | ⑨
141 | ⑩
142 | ──
143 | ■
144 | ▲
145 |
146 | 、
147 | 。
148 | 〈
149 | 〉
150 | 《
151 | 》
152 | 》),
153 | 」
154 | 『
155 | 』
156 | 【
157 | 】
158 | 〔
159 | 〕
160 | 〕〔
161 | ㈧
162 | 一
163 | 一.
164 | 一一
165 | 一下
166 | 一个
167 | 一些
168 | 一何
169 | 一切
170 | 一则
171 | 一则通过
172 | 一天
173 | 一定
174 | 一方面
175 | 一旦
176 | 一时
177 | 一来
178 | 一样
179 | 一次
180 | 一片
181 | 一番
182 | 一直
183 | 一致
184 | 一般
185 | 一起
186 | 一转眼
187 | 一边
188 | 一面
189 | 七
190 | 万一
191 | 三
192 | 三天两头
193 | 三番两次
194 | 三番五次
195 | 上
196 | 上下
197 | 上升
198 | 上去
199 | 上来
200 | 上述
201 | 上面
202 | 下
203 | 下列
204 | 下去
205 | 下来
206 | 下面
207 | 不
208 | 不一
209 | 不下
210 | 不久
211 | 不了
212 | 不亦乐乎
213 | 不仅
214 | 不仅...而且
215 | 不仅仅
216 | 不仅仅是
217 | 不会
218 | 不但
219 | 不但...而且
220 | 不光
221 | 不免
222 | 不再
223 | 不力
224 | 不单
225 | 不变
226 | 不只
227 | 不可
228 | 不可开交
229 | 不可抗拒
230 | 不同
231 | 不外
232 | 不外乎
233 | 不够
234 | 不大
235 | 不如
236 | 不妨
237 | 不定
238 | 不对
239 | 不少
240 | 不尽
241 | 不尽然
242 | 不巧
243 | 不已
244 | 不常
245 | 不得
246 | 不得不
247 | 不得了
248 | 不得已
249 | 不必
250 | 不怎么
251 | 不怕
252 | 不惟
253 | 不成
254 | 不拘
255 | 不择手段
256 | 不敢
257 | 不料
258 | 不断
259 | 不日
260 | 不时
261 | 不是
262 | 不曾
263 | 不止
264 | 不止一次
265 | 不比
266 | 不消
267 | 不满
268 | 不然
269 | 不然的话
270 | 不特
271 | 不独
272 | 不由得
273 | 不知不觉
274 | 不管
275 | 不管怎样
276 | 不经意
277 | 不胜
278 | 不能
279 | 不能不
280 | 不至于
281 | 不若
282 | 不要
283 | 不论
284 | 不起
285 | 不足
286 | 不过
287 | 不迭
288 | 不问
289 | 不限
290 | 与
291 | 与其
292 | 与其说
293 | 与否
294 | 与此同时
295 | 专门
296 | 且
297 | 且不说
298 | 且说
299 | 两者
300 | 严格
301 | 严重
302 | 个
303 | 个人
304 | 个别
305 | 中小
306 | 中间
307 | 丰富
308 | 串行
309 | 临
310 | 临到
311 | 为
312 | 为主
313 | 为了
314 | 为什么
315 | 为什麽
316 | 为何
317 | 为止
318 | 为此
319 | 为着
320 | 主张
321 | 主要
322 | 举凡
323 | 举行
324 | 乃
325 | 乃至
326 | 乃至于
327 | 么
328 | 之
329 | 之一
330 | 之前
331 | 之后
332 | 之後
333 | 之所以
334 | 之类
335 | 乌乎
336 | 乎
337 | 乒
338 | 乘
339 | 乘势
340 | 乘机
341 | 乘胜
342 | 乘虚
343 | 乘隙
344 | 九
345 | 也
346 | 也好
347 | 也就是说
348 | 也是
349 | 也罢
350 | 了
351 | 了解
352 | 争取
353 | 二
354 | 二来
355 | 二话不说
356 | 二话没说
357 | 于
358 | 于是
359 | 于是乎
360 | 云云
361 | 云尔
362 | 互
363 | 互相
364 | 五
365 | 些
366 | 交口
367 | 亦
368 | 产生
369 | 亲口
370 | 亲手
371 | 亲眼
372 | 亲自
373 | 亲身
374 | 人
375 | 人人
376 | 人们
377 | 人家
378 | 人民
379 | 什么
380 | 什么样
381 | 什麽
382 | 仅
383 | 仅仅
384 | 今
385 | 今后
386 | 今天
387 | 今年
388 | 今後
389 | 介于
390 | 仍
391 | 仍旧
392 | 仍然
393 | 从
394 | 从不
395 | 从严
396 | 从中
397 | 从事
398 | 从今以后
399 | 从优
400 | 从古到今
401 | 从古至今
402 | 从头
403 | 从宽
404 | 从小
405 | 从新
406 | 从无到有
407 | 从早到晚
408 | 从未
409 | 从来
410 | 从此
411 | 从此以后
412 | 从而
413 | 从轻
414 | 从速
415 | 从重
416 | 他
417 | 他人
418 | 他们
419 | 他是
420 | 他的
421 | 代替
422 | 以
423 | 以上
424 | 以下
425 | 以为
426 | 以便
427 | 以免
428 | 以前
429 | 以及
430 | 以后
431 | 以外
432 | 以後
433 | 以故
434 | 以期
435 | 以来
436 | 以至
437 | 以至于
438 | 以致
439 | 们
440 | 任
441 | 任何
442 | 任凭
443 | 任务
444 | 企图
445 | 伙同
446 | 会
447 | 伟大
448 | 传
449 | 传说
450 | 传闻
451 | 似乎
452 | 似的
453 | 但
454 | 但凡
455 | 但愿
456 | 但是
457 | 何
458 | 何乐而不为
459 | 何以
460 | 何况
461 | 何处
462 | 何妨
463 | 何尝
464 | 何必
465 | 何时
466 | 何止
467 | 何苦
468 | 何须
469 | 余外
470 | 作为
471 | 你
472 | 你们
473 | 你是
474 | 你的
475 | 使
476 | 使得
477 | 使用
478 | 例如
479 | 依
480 | 依据
481 | 依照
482 | 依靠
483 | 便
484 | 便于
485 | 促进
486 | 保持
487 | 保管
488 | 保险
489 | 俺
490 | 俺们
491 | 倍加
492 | 倍感
493 | 倒不如
494 | 倒不如说
495 | 倒是
496 | 倘
497 | 倘使
498 | 倘或
499 | 倘然
500 | 倘若
501 | 借
502 | 借以
503 | 借此
504 | 假使
505 | 假如
506 | 假若
507 | 偏偏
508 | 做到
509 | 偶尔
510 | 偶而
511 | 傥然
512 | 像
513 | 儿
514 | 允许
515 | 元/吨
516 | 充其极
517 | 充其量
518 | 充分
519 | 先不先
520 | 先后
521 | 先後
522 | 先生
523 | 光
524 | 光是
525 | 全体
526 | 全力
527 | 全年
528 | 全然
529 | 全身心
530 | 全部
531 | 全都
532 | 全面
533 | 八
534 | 八成
535 | 公然
536 | 六
537 | 兮
538 | 共
539 | 共同
540 | 共总
541 | 关于
542 | 其
543 | 其一
544 | 其中
545 | 其二
546 | 其他
547 | 其余
548 | 其后
549 | 其它
550 | 其实
551 | 其次
552 | 具体
553 | 具体地说
554 | 具体来说
555 | 具体说来
556 | 具有
557 | 兼之
558 | 内
559 | 再
560 | 再其次
561 | 再则
562 | 再有
563 | 再次
564 | 再者
565 | 再者说
566 | 再说
567 | 冒
568 | 冲
569 | 决不
570 | 决定
571 | 决非
572 | 况且
573 | 准备
574 | 凑巧
575 | 凝神
576 | 几
577 | 几乎
578 | 几度
579 | 几时
580 | 几番
581 | 几经
582 | 凡
583 | 凡是
584 | 凭
585 | 凭借
586 | 出
587 | 出于
588 | 出去
589 | 出来
590 | 出现
591 | 分别
592 | 分头
593 | 分期
594 | 分期分批
595 | 切
596 | 切不可
597 | 切切
598 | 切勿
599 | 切莫
600 | 则
601 | 则甚
602 | 刚
603 | 刚好
604 | 刚巧
605 | 刚才
606 | 初
607 | 别
608 | 别人
609 | 别处
610 | 别是
611 | 别的
612 | 别管
613 | 别说
614 | 到
615 | 到了儿
616 | 到处
617 | 到头
618 | 到头来
619 | 到底
620 | 到目前为止
621 | 前后
622 | 前此
623 | 前者
624 | 前进
625 | 前面
626 | 加上
627 | 加之
628 | 加以
629 | 加入
630 | 加强
631 | 动不动
632 | 动辄
633 | 勃然
634 | 匆匆
635 | 十分
636 | 千
637 | 千万
638 | 千万千万
639 | 半
640 | 单
641 | 单单
642 | 单纯
643 | 即
644 | 即令
645 | 即使
646 | 即便
647 | 即刻
648 | 即如
649 | 即将
650 | 即或
651 | 即是说
652 | 即若
653 | 却
654 | 却不
655 | 历
656 | 原来
657 | 去
658 | 又
659 | 又及
660 | 及
661 | 及其
662 | 及时
663 | 及至
664 | 双方
665 | 反之
666 | 反之亦然
667 | 反之则
668 | 反倒
669 | 反倒是
670 | 反应
671 | 反手
672 | 反映
673 | 反而
674 | 反过来
675 | 反过来说
676 | 取得
677 | 取道
678 | 受到
679 | 变成
680 | 古来
681 | 另
682 | 另一个
683 | 另一方面
684 | 另外
685 | 另悉
686 | 另方面
687 | 另行
688 | 只
689 | 只当
690 | 只怕
691 | 只是
692 | 只有
693 | 只消
694 | 只要
695 | 只限
696 | 叫
697 | 叫做
698 | 召开
699 | 叮咚
700 | 叮当
701 | 可
702 | 可以
703 | 可好
704 | 可是
705 | 可能
706 | 可见
707 | 各
708 | 各个
709 | 各人
710 | 各位
711 | 各地
712 | 各式
713 | 各种
714 | 各级
715 | 各自
716 | 合理
717 | 同
718 | 同一
719 | 同时
720 | 同样
721 | 后
722 | 后来
723 | 后者
724 | 后面
725 | 向
726 | 向使
727 | 向着
728 | 吓
729 | 吗
730 | 否则
731 | 吧
732 | 吧哒
733 | 吱
734 | 呀
735 | 呃
736 | 呆呆地
737 | 呐
738 | 呕
739 | 呗
740 | 呜
741 | 呜呼
742 | 呢
743 | 周围
744 | 呵
745 | 呵呵
746 | 呸
747 | 呼哧
748 | 呼啦
749 | 咋
750 | 和
751 | 咚
752 | 咦
753 | 咧
754 | 咱
755 | 咱们
756 | 咳
757 | 哇
758 | 哈
759 | 哈哈
760 | 哉
761 | 哎
762 | 哎呀
763 | 哎哟
764 | 哗
765 | 哗啦
766 | 哟
767 | 哦
768 | 哩
769 | 哪
770 | 哪个
771 | 哪些
772 | 哪儿
773 | 哪天
774 | 哪年
775 | 哪怕
776 | 哪样
777 | 哪边
778 | 哪里
779 | 哼
780 | 哼唷
781 | 唉
782 | 唯有
783 | 啊
784 | 啊呀
785 | 啊哈
786 | 啊哟
787 | 啐
788 | 啥
789 | 啦
790 | 啪达
791 | 啷当
792 | 喀
793 | 喂
794 | 喏
795 | 喔唷
796 | 喽
797 | 嗡
798 | 嗡嗡
799 | 嗬
800 | 嗯
801 | 嗳
802 | 嘎
803 | 嘎嘎
804 | 嘎登
805 | 嘘
806 | 嘛
807 | 嘻
808 | 嘿
809 | 嘿嘿
810 | 四
811 | 因
812 | 因为
813 | 因了
814 | 因此
815 | 因着
816 | 因而
817 | 固
818 | 固然
819 | 在
820 | 在下
821 | 在于
822 | 地
823 | 均
824 | 坚决
825 | 坚持
826 | 基于
827 | 基本
828 | 基本上
829 | 处在
830 | 处处
831 | 处理
832 | 复杂
833 | 多
834 | 多么
835 | 多亏
836 | 多多
837 | 多多少少
838 | 多多益善
839 | 多少
840 | 多年前
841 | 多年来
842 | 多数
843 | 多次
844 | 够瞧的
845 | 大
846 | 大不了
847 | 大举
848 | 大事
849 | 大体
850 | 大体上
851 | 大凡
852 | 大力
853 | 大多
854 | 大多数
855 | 大大
856 | 大家
857 | 大张旗鼓
858 | 大批
859 | 大抵
860 | 大概
861 | 大略
862 | 大约
863 | 大致
864 | 大都
865 | 大量
866 | 大面儿上
867 | 失去
868 | 奇
869 | 奈
870 | 奋勇
871 | 她
872 | 她们
873 | 她是
874 | 她的
875 | 好
876 | 好在
877 | 好的
878 | 好象
879 | 如
880 | 如上
881 | 如上所述
882 | 如下
883 | 如今
884 | 如何
885 | 如其
886 | 如前所述
887 | 如同
888 | 如常
889 | 如是
890 | 如期
891 | 如果
892 | 如次
893 | 如此
894 | 如此等等
895 | 如若
896 | 始而
897 | 姑且
898 | 存在
899 | 存心
900 | 孰料
901 | 孰知
902 | 宁
903 | 宁可
904 | 宁愿
905 | 宁肯
906 | 它
907 | 它们
908 | 它们的
909 | 它是
910 | 它的
911 | 安全
912 | 完全
913 | 完成
914 | 定
915 | 实现
916 | 实际
917 | 宣布
918 | 容易
919 | 密切
920 | 对
921 | 对于
922 | 对应
923 | 对待
924 | 对方
925 | 对比
926 | 将
927 | 将才
928 | 将要
929 | 将近
930 | 小
931 | 少数
932 | 尔
933 | 尔后
934 | 尔尔
935 | 尔等
936 | 尚且
937 | 尤其
938 | 就
939 | 就地
940 | 就是
941 | 就是了
942 | 就是说
943 | 就此
944 | 就算
945 | 就要
946 | 尽
947 | 尽可能
948 | 尽如人意
949 | 尽心尽力
950 | 尽心竭力
951 | 尽快
952 | 尽早
953 | 尽然
954 | 尽管
955 | 尽管如此
956 | 尽量
957 | 局外
958 | 居然
959 | 届时
960 | 属于
961 | 屡
962 | 屡屡
963 | 屡次
964 | 屡次三番
965 | 岂
966 | 岂但
967 | 岂止
968 | 岂非
969 | 川流不息
970 | 左右
971 | 巨大
972 | 巩固
973 | 差一点
974 | 差不多
975 | 己
976 | 已
977 | 已矣
978 | 已经
979 | 巴
980 | 巴巴
981 | 带
982 | 帮助
983 | 常
984 | 常常
985 | 常言说
986 | 常言说得好
987 | 常言道
988 | 平素
989 | 年复一年
990 | 并
991 | 并不
992 | 并不是
993 | 并且
994 | 并排
995 | 并无
996 | 并没
997 | 并没有
998 | 并肩
999 | 并非
1000 | 广大
1001 | 广泛
1002 | 应当
1003 | 应用
1004 | 应该
1005 | 庶乎
1006 | 庶几
1007 | 开外
1008 | 开始
1009 | 开展
1010 | 引起
1011 | 弗
1012 | 弹指之间
1013 | 强烈
1014 | 强调
1015 | 归
1016 | 归根到底
1017 | 归根结底
1018 | 归齐
1019 | 当
1020 | 当下
1021 | 当中
1022 | 当儿
1023 | 当前
1024 | 当即
1025 | 当口儿
1026 | 当地
1027 | 当场
1028 | 当头
1029 | 当庭
1030 | 当时
1031 | 当然
1032 | 当真
1033 | 当着
1034 | 形成
1035 | 彻夜
1036 | 彻底
1037 | 彼
1038 | 彼时
1039 | 彼此
1040 | 往
1041 | 往往
1042 | 待
1043 | 待到
1044 | 很
1045 | 很多
1046 | 很少
1047 | 後来
1048 | 後面
1049 | 得
1050 | 得了
1051 | 得出
1052 | 得到
1053 | 得天独厚
1054 | 得起
1055 | 心里
1056 | 必
1057 | 必定
1058 | 必将
1059 | 必然
1060 | 必要
1061 | 必须
1062 | 快
1063 | 快要
1064 | 忽地
1065 | 忽然
1066 | 怎
1067 | 怎么
1068 | 怎么办
1069 | 怎么样
1070 | 怎奈
1071 | 怎样
1072 | 怎麽
1073 | 怕
1074 | 急匆匆
1075 | 怪
1076 | 怪不得
1077 | 总之
1078 | 总是
1079 | 总的来看
1080 | 总的来说
1081 | 总的说来
1082 | 总结
1083 | 总而言之
1084 | 恍然
1085 | 恐怕
1086 | 恰似
1087 | 恰好
1088 | 恰如
1089 | 恰巧
1090 | 恰恰
1091 | 恰恰相反
1092 | 恰逢
1093 | 您
1094 | 您们
1095 | 您是
1096 | 惟其
1097 | 惯常
1098 | 意思
1099 | 愤然
1100 | 愿意
1101 | 慢说
1102 | 成为
1103 | 成年
1104 | 成年累月
1105 | 成心
1106 | 我
1107 | 我们
1108 | 我是
1109 | 我的
1110 | 或
1111 | 或则
1112 | 或多或少
1113 | 或是
1114 | 或曰
1115 | 或者
1116 | 或许
1117 | 战斗
1118 | 截然
1119 | 截至
1120 | 所
1121 | 所以
1122 | 所在
1123 | 所幸
1124 | 所有
1125 | 所谓
1126 | 才
1127 | 才能
1128 | 扑通
1129 | 打
1130 | 打从
1131 | 打开天窗说亮话
1132 | 扩大
1133 | 把
1134 | 抑或
1135 | 抽冷子
1136 | 拦腰
1137 | 拿
1138 | 按
1139 | 按时
1140 | 按期
1141 | 按照
1142 | 按理
1143 | 按说
1144 | 挨个
1145 | 挨家挨户
1146 | 挨次
1147 | 挨着
1148 | 挨门挨户
1149 | 挨门逐户
1150 | 换句话说
1151 | 换言之
1152 | 据
1153 | 据实
1154 | 据悉
1155 | 据我所知
1156 | 据此
1157 | 据称
1158 | 据说
1159 | 掌握
1160 | 接下来
1161 | 接着
1162 | 接著
1163 | 接连不断
1164 | 放量
1165 | 故
1166 | 故意
1167 | 故此
1168 | 故而
1169 | 敞开儿
1170 | 敢
1171 | 敢于
1172 | 敢情
1173 | 数/
1174 | 整个
1175 | 断然
1176 | 方
1177 | 方便
1178 | 方才
1179 | 方能
1180 | 方面
1181 | 旁人
1182 | 无
1183 | 无宁
1184 | 无法
1185 | 无论
1186 | 既
1187 | 既...又
1188 | 既往
1189 | 既是
1190 | 既然
1191 | 日复一日
1192 | 日渐
1193 | 日益
1194 | 日臻
1195 | 日见
1196 | 时候
1197 | 昂然
1198 | 明显
1199 | 明确
1200 | 是
1201 | 是不是
1202 | 是以
1203 | 是否
1204 | 是的
1205 | 显然
1206 | 显著
1207 | 普通
1208 | 普遍
1209 | 暗中
1210 | 暗地里
1211 | 暗自
1212 | 更
1213 | 更为
1214 | 更加
1215 | 更进一步
1216 | 曾
1217 | 曾经
1218 | 替
1219 | 替代
1220 | 最
1221 | 最后
1222 | 最大
1223 | 最好
1224 | 最後
1225 | 最近
1226 | 最高
1227 | 有
1228 | 有些
1229 | 有关
1230 | 有利
1231 | 有力
1232 | 有及
1233 | 有所
1234 | 有效
1235 | 有时
1236 | 有点
1237 | 有的
1238 | 有的是
1239 | 有着
1240 | 有著
1241 | 望
1242 | 朝
1243 | 朝着
1244 | 末##末
1245 | 本
1246 | 本人
1247 | 本地
1248 | 本着
1249 | 本身
1250 | 权时
1251 | 来
1252 | 来不及
1253 | 来得及
1254 | 来看
1255 | 来着
1256 | 来自
1257 | 来讲
1258 | 来说
1259 | 极
1260 | 极为
1261 | 极了
1262 | 极其
1263 | 极力
1264 | 极大
1265 | 极度
1266 | 极端
1267 | 构成
1268 | 果然
1269 | 果真
1270 | 某
1271 | 某个
1272 | 某些
1273 | 某某
1274 | 根据
1275 | 根本
1276 | 格外
1277 | 梆
1278 | 概
1279 | 次第
1280 | 欢迎
1281 | 欤
1282 | 正值
1283 | 正在
1284 | 正如
1285 | 正巧
1286 | 正常
1287 | 正是
1288 | 此
1289 | 此中
1290 | 此后
1291 | 此地
1292 | 此处
1293 | 此外
1294 | 此时
1295 | 此次
1296 | 此间
1297 | 殆
1298 | 毋宁
1299 | 每
1300 | 每个
1301 | 每天
1302 | 每年
1303 | 每当
1304 | 每时每刻
1305 | 每每
1306 | 每逢
1307 | 比
1308 | 比及
1309 | 比如
1310 | 比如说
1311 | 比方
1312 | 比照
1313 | 比起
1314 | 比较
1315 | 毕竟
1316 | 毫不
1317 | 毫无
1318 | 毫无例外
1319 | 毫无保留地
1320 | 汝
1321 | 沙沙
1322 | 没
1323 | 没奈何
1324 | 没有
1325 | 沿
1326 | 沿着
1327 | 注意
1328 | 活
1329 | 深入
1330 | 清楚
1331 | 满
1332 | 满足
1333 | 漫说
1334 | 焉
1335 | 然
1336 | 然则
1337 | 然后
1338 | 然後
1339 | 然而
1340 | 照
1341 | 照着
1342 | 牢牢
1343 | 特别是
1344 | 特殊
1345 | 特点
1346 | 犹且
1347 | 犹自
1348 | 独
1349 | 独自
1350 | 猛然
1351 | 猛然间
1352 | 率尔
1353 | 率然
1354 | 现代
1355 | 现在
1356 | 理应
1357 | 理当
1358 | 理该
1359 | 瑟瑟
1360 | 甚且
1361 | 甚么
1362 | 甚或
1363 | 甚而
1364 | 甚至
1365 | 甚至于
1366 | 用
1367 | 用来
1368 | 甫
1369 | 甭
1370 | 由
1371 | 由于
1372 | 由是
1373 | 由此
1374 | 由此可见
1375 | 略
1376 | 略为
1377 | 略加
1378 | 略微
1379 | 白
1380 | 白白
1381 | 的
1382 | 的确
1383 | 的话
1384 | 皆可
1385 | 目前
1386 | 直到
1387 | 直接
1388 | 相似
1389 | 相信
1390 | 相反
1391 | 相同
1392 | 相对
1393 | 相对而言
1394 | 相应
1395 | 相当
1396 | 相等
1397 | 省得
1398 | 看
1399 | 看上去
1400 | 看出
1401 | 看到
1402 | 看来
1403 | 看样子
1404 | 看看
1405 | 看见
1406 | 看起来
1407 | 真是
1408 | 真正
1409 | 眨眼
1410 | 着
1411 | 着呢
1412 | 矣
1413 | 矣乎
1414 | 矣哉
1415 | 知道
1416 | 砰
1417 | 确定
1418 | 碰巧
1419 | 社会主义
1420 | 离
1421 | 种
1422 | 积极
1423 | 移动
1424 | 究竟
1425 | 穷年累月
1426 | 突出
1427 | 突然
1428 | 窃
1429 | 立
1430 | 立刻
1431 | 立即
1432 | 立地
1433 | 立时
1434 | 立马
1435 | 竟
1436 | 竟然
1437 | 竟而
1438 | 第
1439 | 第二
1440 | 等
1441 | 等到
1442 | 等等
1443 | 策略地
1444 | 简直
1445 | 简而言之
1446 | 简言之
1447 | 管
1448 | 类如
1449 | 粗
1450 | 精光
1451 | 紧接着
1452 | 累年
1453 | 累次
1454 | 纯
1455 | 纯粹
1456 | 纵
1457 | 纵令
1458 | 纵使
1459 | 纵然
1460 | 练习
1461 | 组成
1462 | 经
1463 | 经常
1464 | 经过
1465 | 结合
1466 | 结果
1467 | 给
1468 | 绝
1469 | 绝不
1470 | 绝对
1471 | 绝非
1472 | 绝顶
1473 | 继之
1474 | 继后
1475 | 继续
1476 | 继而
1477 | 维持
1478 | 综上所述
1479 | 缕缕
1480 | 罢了
1481 | 老
1482 | 老大
1483 | 老是
1484 | 老老实实
1485 | 考虑
1486 | 者
1487 | 而
1488 | 而且
1489 | 而况
1490 | 而又
1491 | 而后
1492 | 而外
1493 | 而已
1494 | 而是
1495 | 而言
1496 | 而论
1497 | 联系
1498 | 联袂
1499 | 背地里
1500 | 背靠背
1501 | 能
1502 | 能否
1503 | 能够
1504 | 腾
1505 | 自
1506 | 自个儿
1507 | 自从
1508 | 自各儿
1509 | 自后
1510 | 自家
1511 | 自己
1512 | 自打
1513 | 自身
1514 | 臭
1515 | 至
1516 | 至于
1517 | 至今
1518 | 至若
1519 | 致
1520 | 般的
1521 | 良好
1522 | 若
1523 | 若夫
1524 | 若是
1525 | 若果
1526 | 若非
1527 | 范围
1528 | 莫
1529 | 莫不
1530 | 莫不然
1531 | 莫如
1532 | 莫若
1533 | 莫非
1534 | 获得
1535 | 藉以
1536 | 虽
1537 | 虽则
1538 | 虽然
1539 | 虽说
1540 | 蛮
1541 | 行为
1542 | 行动
1543 | 表明
1544 | 表示
1545 | 被
1546 | 要
1547 | 要不
1548 | 要不是
1549 | 要不然
1550 | 要么
1551 | 要是
1552 | 要求
1553 | 见
1554 | 规定
1555 | 觉得
1556 | 譬喻
1557 | 譬如
1558 | 认为
1559 | 认真
1560 | 认识
1561 | 让
1562 | 许多
1563 | 论
1564 | 论说
1565 | 设使
1566 | 设或
1567 | 设若
1568 | 诚如
1569 | 诚然
1570 | 话说
1571 | 该
1572 | 该当
1573 | 说明
1574 | 说来
1575 | 说说
1576 | 请勿
1577 | 诸
1578 | 诸位
1579 | 诸如
1580 | 谁
1581 | 谁人
1582 | 谁料
1583 | 谁知
1584 | 谨
1585 | 豁然
1586 | 贼死
1587 | 赖以
1588 | 赶
1589 | 赶快
1590 | 赶早不赶晚
1591 | 起
1592 | 起先
1593 | 起初
1594 | 起头
1595 | 起来
1596 | 起见
1597 | 起首
1598 | 趁
1599 | 趁便
1600 | 趁势
1601 | 趁早
1602 | 趁机
1603 | 趁热
1604 | 趁着
1605 | 越是
1606 | 距
1607 | 跟
1608 | 路经
1609 | 转动
1610 | 转变
1611 | 转贴
1612 | 轰然
1613 | 较
1614 | 较为
1615 | 较之
1616 | 较比
1617 | 边
1618 | 达到
1619 | 达旦
1620 | 迄
1621 | 迅速
1622 | 过
1623 | 过于
1624 | 过去
1625 | 过来
1626 | 运用
1627 | 近
1628 | 近几年来
1629 | 近年来
1630 | 近来
1631 | 还
1632 | 还是
1633 | 还有
1634 | 还要
1635 | 这
1636 | 这一来
1637 | 这个
1638 | 这么
1639 | 这么些
1640 | 这么样
1641 | 这么点儿
1642 | 这些
1643 | 这会儿
1644 | 这儿
1645 | 这就是说
1646 | 这时
1647 | 这样
1648 | 这次
1649 | 这点
1650 | 这种
1651 | 这般
1652 | 这边
1653 | 这里
1654 | 这麽
1655 | 进入
1656 | 进去
1657 | 进来
1658 | 进步
1659 | 进而
1660 | 进行
1661 | 连
1662 | 连同
1663 | 连声
1664 | 连日
1665 | 连日来
1666 | 连袂
1667 | 连连
1668 | 迟早
1669 | 迫于
1670 | 适应
1671 | 适当
1672 | 适用
1673 | 逐步
1674 | 逐渐
1675 | 通常
1676 | 通过
1677 | 造成
1678 | 逢
1679 | 遇到
1680 | 遭到
1681 | 遵循
1682 | 遵照
1683 | 避免
1684 | 那
1685 | 那个
1686 | 那么
1687 | 那么些
1688 | 那么样
1689 | 那些
1690 | 那会儿
1691 | 那儿
1692 | 那时
1693 | 那末
1694 | 那样
1695 | 那般
1696 | 那边
1697 | 那里
1698 | 那麽
1699 | 部分
1700 | 都
1701 | 鄙人
1702 | 采取
1703 | 里面
1704 | 重大
1705 | 重新
1706 | 重要
1707 | 鉴于
1708 | 针对
1709 | 长期以来
1710 | 长此下去
1711 | 长线
1712 | 长话短说
1713 | 问题
1714 | 间或
1715 | 防止
1716 | 阿
1717 | 附近
1718 | 陈年
1719 | 限制
1720 | 陡然
1721 | 除
1722 | 除了
1723 | 除却
1724 | 除去
1725 | 除外
1726 | 除开
1727 | 除此
1728 | 除此之外
1729 | 除此以外
1730 | 除此而外
1731 | 除非
1732 | 随
1733 | 随后
1734 | 随时
1735 | 随着
1736 | 随著
1737 | 隔夜
1738 | 隔日
1739 | 难得
1740 | 难怪
1741 | 难说
1742 | 难道
1743 | 难道说
1744 | 集中
1745 | 零
1746 | 需要
1747 | 非但
1748 | 非常
1749 | 非徒
1750 | 非得
1751 | 非特
1752 | 非独
1753 | 靠
1754 | 顶多
1755 | 顷
1756 | 顷刻
1757 | 顷刻之间
1758 | 顷刻间
1759 | 顺
1760 | 顺着
1761 | 顿时
1762 | 颇
1763 | 风雨无阻
1764 | 饱
1765 | 首先
1766 | 马上
1767 | 高低
1768 | 高兴
1769 | 默然
1770 | 默默地
1771 | 齐
1772 | ︿
1773 | !
1774 | #
1775 | $
1776 | %
1777 | &
1778 | '
1779 | (
1780 | )
1781 | )÷(1-
1782 | )、
1783 | *
1784 | +
1785 | +ξ
1786 | ++
1787 | ,
1788 | ,也
1789 | -
1790 | -β
1791 | --
1792 | -[*]-
1793 | .
1794 | /
1795 | 0
1796 | 0:2
1797 | 1
1798 | 1.
1799 | 12%
1800 | 2
1801 | 2.3%
1802 | 3
1803 | 4
1804 | 5
1805 | 5:0
1806 | 6
1807 | 7
1808 | 8
1809 | 9
1810 | :
1811 | ;
1812 | <
1813 | <±
1814 | <Δ
1815 | <λ
1816 | <φ
1817 | <<
1818 | =
1819 | =″
1820 | =☆
1821 | =(
1822 | =-
1823 | =[
1824 | ={
1825 | >
1826 | >λ
1827 | ?
1828 | @
1829 | A
1830 | LI
1831 | R.L.
1832 | ZXFITL
1833 | [
1834 | [①①]
1835 | [①②]
1836 | [①③]
1837 | [①④]
1838 | [①⑤]
1839 | [①⑥]
1840 | [①⑦]
1841 | [①⑧]
1842 | [①⑨]
1843 | [①A]
1844 | [①B]
1845 | [①C]
1846 | [①D]
1847 | [①E]
1848 | [①]
1849 | [①a]
1850 | [①c]
1851 | [①d]
1852 | [①e]
1853 | [①f]
1854 | [①g]
1855 | [①h]
1856 | [①i]
1857 | [①o]
1858 | [②
1859 | [②①]
1860 | [②②]
1861 | [②③]
1862 | [②④
1863 | [②⑤]
1864 | [②⑥]
1865 | [②⑦]
1866 | [②⑧]
1867 | [②⑩]
1868 | [②B]
1869 | [②G]
1870 | [②]
1871 | [②a]
1872 | [②b]
1873 | [②c]
1874 | [②d]
1875 | [②e]
1876 | [②f]
1877 | [②g]
1878 | [②h]
1879 | [②i]
1880 | [②j]
1881 | [③①]
1882 | [③⑩]
1883 | [③F]
1884 | [③]
1885 | [③a]
1886 | [③b]
1887 | [③c]
1888 | [③d]
1889 | [③e]
1890 | [③g]
1891 | [③h]
1892 | [④]
1893 | [④a]
1894 | [④b]
1895 | [④c]
1896 | [④d]
1897 | [④e]
1898 | [⑤]
1899 | [⑤]]
1900 | [⑤a]
1901 | [⑤b]
1902 | [⑤d]
1903 | [⑤e]
1904 | [⑤f]
1905 | [⑥]
1906 | [⑦]
1907 | [⑧]
1908 | [⑨]
1909 | [⑩]
1910 | [*]
1911 | [-
1912 | []
1913 | ]
1914 | ]∧′=[
1915 | ][
1916 | _
1917 | a]
1918 | b]
1919 | c]
1920 | e]
1921 | f]
1922 | ng昉
1923 | {
1924 | {-
1925 | |
1926 | }
1927 | }>
1928 | ~
1929 | ~±
1930 | ~+
1931 | ¥
1932 | 啊
1933 | 阿
1934 | 哎
1935 | 哎呀
1936 | 哎哟
1937 | 唉
1938 | 俺
1939 | 俺们
1940 | 按
1941 | 按照
1942 | 吧
1943 | 吧哒
1944 | 把
1945 | 罢了
1946 | 被
1947 | 本
1948 | 本着
1949 | 比
1950 | 比方
1951 | 比如
1952 | 鄙人
1953 | 彼
1954 | 彼此
1955 | 边
1956 | 别
1957 | 别的
1958 | 别说
1959 | 并
1960 | 并且
1961 | 不比
1962 | 不成
1963 | 不单
1964 | 不但
1965 | 不独
1966 | 不管
1967 | 不光
1968 | 不过
1969 | 不仅
1970 | 不拘
1971 | 不论
1972 | 不怕
1973 | 不然
1974 | 不如
1975 | 不特
1976 | 不惟
1977 | 不问
1978 | 不只
1979 | 朝
1980 | 朝着
1981 | 趁
1982 | 趁着
1983 | 乘
1984 | 冲
1985 | 除
1986 | 除此之外
1987 | 除非
1988 | 除了
1989 | 此
1990 | 此间
1991 | 此外
1992 | 从
1993 | 从而
1994 | 打
1995 | 待
1996 | 但
1997 | 但是
1998 | 当
1999 | 当着
2000 | 到
2001 | 得
2002 | 的
2003 | 的话
2004 | 等
2005 | 等等
2006 | 地
2007 | 第
2008 | 叮咚
2009 | 对
2010 | 对于
2011 | 多
2012 | 多少
2013 | 而
2014 | 而况
2015 | 而且
2016 | 而是
2017 | 而外
2018 | 而言
2019 | 而已
2020 | 尔后
2021 | 反过来
2022 | 反过来说
2023 | 反之
2024 | 非但
2025 | 非徒
2026 | 否则
2027 | 嘎
2028 | 嘎登
2029 | 该
2030 | 赶
2031 | 个
2032 | 各
2033 | 各个
2034 | 各位
2035 | 各种
2036 | 各自
2037 | 给
2038 | 根据
2039 | 跟
2040 | 故
2041 | 故此
2042 | 固然
2043 | 关于
2044 | 管
2045 | 归
2046 | 果然
2047 | 果真
2048 | 过
2049 | 哈
2050 | 哈哈
2051 | 呵
2052 | 和
2053 | 何
2054 | 何处
2055 | 何况
2056 | 何时
2057 | 嘿
2058 | 哼
2059 | 哼唷
2060 | 呼哧
2061 | 乎
2062 | 哗
2063 | 还是
2064 | 还有
2065 | 换句话说
2066 | 换言之
2067 | 或
2068 | 或是
2069 | 或者
2070 | 极了
2071 | 及
2072 | 及其
2073 | 及至
2074 | 即
2075 | 即便
2076 | 即或
2077 | 即令
2078 | 即若
2079 | 即使
2080 | 几
2081 | 几时
2082 | 己
2083 | 既
2084 | 既然
2085 | 既是
2086 | 继而
2087 | 加之
2088 | 假如
2089 | 假若
2090 | 假使
2091 | 鉴于
2092 | 将
2093 | 较
2094 | 较之
2095 | 叫
2096 | 接着
2097 | 结果
2098 | 借
2099 | 紧接着
2100 | 进而
2101 | 尽
2102 | 尽管
2103 | 经
2104 | 经过
2105 | 就
2106 | 就是
2107 | 就是说
2108 | 据
2109 | 具体地说
2110 | 具体说来
2111 | 开始
2112 | 开外
2113 | 靠
2114 | 咳
2115 | 可
2116 | 可见
2117 | 可是
2118 | 可以
2119 | 况且
2120 | 啦
2121 | 来
2122 | 来着
2123 | 离
2124 | 例如
2125 | 哩
2126 | 连
2127 | 连同
2128 | 两者
2129 | 了
2130 | 临
2131 | 另
2132 | 另外
2133 | 另一方面
2134 | 论
2135 | 嘛
2136 | 吗
2137 | 慢说
2138 | 漫说
2139 | 冒
2140 | 么
2141 | 每
2142 | 每当
2143 | 们
2144 | 莫若
2145 | 某
2146 | 某个
2147 | 某些
2148 | 拿
2149 | 哪
2150 | 哪边
2151 | 哪儿
2152 | 哪个
2153 | 哪里
2154 | 哪年
2155 | 哪怕
2156 | 哪天
2157 | 哪些
2158 | 哪样
2159 | 那
2160 | 那边
2161 | 那儿
2162 | 那个
2163 | 那会儿
2164 | 那里
2165 | 那么
2166 | 那么些
2167 | 那么样
2168 | 那时
2169 | 那些
2170 | 那样
2171 | 乃
2172 | 乃至
2173 | 呢
2174 | 能
2175 | 你
2176 | 你们
2177 | 您
2178 | 宁
2179 | 宁可
2180 | 宁肯
2181 | 宁愿
2182 | 哦
2183 | 呕
2184 | 啪达
2185 | 旁人
2186 | 呸
2187 | 凭
2188 | 凭借
2189 | 其
2190 | 其次
2191 | 其二
2192 | 其他
2193 | 其它
2194 | 其一
2195 | 其余
2196 | 其中
2197 | 起
2198 | 起见
2199 | 岂但
2200 | 恰恰相反
2201 | 前后
2202 | 前者
2203 | 且
2204 | 然而
2205 | 然后
2206 | 然则
2207 | 让
2208 | 人家
2209 | 任
2210 | 任何
2211 | 任凭
2212 | 如
2213 | 如此
2214 | 如果
2215 | 如何
2216 | 如其
2217 | 如若
2218 | 如上所述
2219 | 若
2220 | 若非
2221 | 若是
2222 | 啥
2223 | 上下
2224 | 尚且
2225 | 设若
2226 | 设使
2227 | 甚而
2228 | 甚么
2229 | 甚至
2230 | 省得
2231 | 时候
2232 | 什么
2233 | 什么样
2234 | 使得
2235 | 是
2236 | 是的
2237 | 首先
2238 | 谁
2239 | 谁知
2240 | 顺
2241 | 顺着
2242 | 似的
2243 | 虽
2244 | 虽然
2245 | 虽说
2246 | 虽则
2247 | 随
2248 | 随着
2249 | 所
2250 | 所以
2251 | 他
2252 | 他们
2253 | 他人
2254 | 它
2255 | 它们
2256 | 她
2257 | 她们
2258 | 倘
2259 | 倘或
2260 | 倘然
2261 | 倘若
2262 | 倘使
2263 | 腾
2264 | 替
2265 | 通过
2266 | 同
2267 | 同时
2268 | 哇
2269 | 万一
2270 | 往
2271 | 望
2272 | 为
2273 | 为何
2274 | 为了
2275 | 为什么
2276 | 为着
2277 | 喂
2278 | 嗡嗡
2279 | 我
2280 | 我们
2281 | 呜
2282 | 呜呼
2283 | 乌乎
2284 | 无论
2285 | 无宁
2286 | 毋宁
2287 | 嘻
2288 | 吓
2289 | 相对而言
2290 | 像
2291 | 向
2292 | 向着
2293 | 嘘
2294 | 呀
2295 | 焉
2296 | 沿
2297 | 沿着
2298 | 要
2299 | 要不
2300 | 要不然
2301 | 要不是
2302 | 要么
2303 | 要是
2304 | 也
2305 | 也罢
2306 | 也好
2307 | 一
2308 | 一般
2309 | 一旦
2310 | 一方面
2311 | 一来
2312 | 一切
2313 | 一样
2314 | 一则
2315 | 依
2316 | 依照
2317 | 矣
2318 | 以
2319 | 以便
2320 | 以及
2321 | 以免
2322 | 以至
2323 | 以至于
2324 | 以致
2325 | 抑或
2326 | 因
2327 | 因此
2328 | 因而
2329 | 因为
2330 | 哟
2331 | 用
2332 | 由
2333 | 由此可见
2334 | 由于
2335 | 有
2336 | 有的
2337 | 有关
2338 | 有些
2339 | 又
2340 | 于
2341 | 于是
2342 | 于是乎
2343 | 与
2344 | 与此同时
2345 | 与否
2346 | 与其
2347 | 越是
2348 | 云云
2349 | 哉
2350 | 再说
2351 | 再者
2352 | 在
2353 | 在下
2354 | 咱
2355 | 咱们
2356 | 则
2357 | 怎
2358 | 怎么
2359 | 怎么办
2360 | 怎么样
2361 | 怎样
2362 | 咋
2363 | 照
2364 | 照着
2365 | 者
2366 | 这
2367 | 这边
2368 | 这儿
2369 | 这个
2370 | 这会儿
2371 | 这就是说
2372 | 这里
2373 | 这么
2374 | 这么点儿
2375 | 这么些
2376 | 这么样
2377 | 这时
2378 | 这些
2379 | 这样
2380 | 正如
2381 | 吱
2382 | 之
2383 | 之类
2384 | 之所以
2385 | 之一
2386 | 只是
2387 | 只限
2388 | 只要
2389 | 只有
2390 | 至
2391 | 至于
2392 | 诸位
2393 | 着
2394 | 着呢
2395 | 自
2396 | 自从
2397 | 自个儿
2398 | 自各儿
2399 | 自己
2400 | 自家
2401 | 自身
2402 | 综上所述
2403 | 总的来看
2404 | 总的来说
2405 | 总的说来
2406 | 总而言之
2407 | 总之
2408 | 纵
2409 | 纵令
2410 | 纵然
2411 | 纵使
2412 | 遵照
2413 | 作为
2414 | 兮
2415 | 呃
2416 | 呗
2417 | 咚
2418 | 咦
2419 | 喏
2420 | 啐
2421 | 喔唷
2422 | 嗬
2423 | 嗯
2424 | 嗳
2425 | 啊哈
2426 | 啊呀
2427 | 啊哟
2428 | 挨次
2429 | 挨个
2430 | 挨家挨户
2431 | 挨门挨户
2432 | 挨门逐户
2433 | 挨着
2434 | 按理
2435 | 按期
2436 | 按时
2437 | 按说
2438 | 暗地里
2439 | 暗中
2440 | 暗自
2441 | 昂然
2442 | 八成
2443 | 白白
2444 | 半
2445 | 梆
2446 | 保管
2447 | 保险
2448 | 饱
2449 | 背地里
2450 | 背靠背
2451 | 倍感
2452 | 倍加
2453 | 本人
2454 | 本身
2455 | 甭
2456 | 比起
2457 | 比如说
2458 | 比照
2459 | 毕竟
2460 | 必
2461 | 必定
2462 | 必将
2463 | 必须
2464 | 便
2465 | 别人
2466 | 并非
2467 | 并肩
2468 | 并没
2469 | 并没有
2470 | 并排
2471 | 并无
2472 | 勃然
2473 | 不
2474 | 不必
2475 | 不常
2476 | 不大
2477 | 不得
2478 | 不得不
2479 | 不得了
2480 | 不得已
2481 | 不迭
2482 | 不定
2483 | 不对
2484 | 不妨
2485 | 不管怎样
2486 | 不会
2487 | 不仅仅
2488 | 不仅仅是
2489 | 不经意
2490 | 不可开交
2491 | 不可抗拒
2492 | 不力
2493 | 不了
2494 | 不料
2495 | 不满
2496 | 不免
2497 | 不能不
2498 | 不起
2499 | 不巧
2500 | 不然的话
2501 | 不日
2502 | 不少
2503 | 不胜
2504 | 不时
2505 | 不是
2506 | 不同
2507 | 不能
2508 | 不要
2509 | 不外
2510 | 不外乎
2511 | 不下
2512 | 不限
2513 | 不消
2514 | 不已
2515 | 不亦乐乎
2516 | 不由得
2517 | 不再
2518 | 不择手段
2519 | 不怎么
2520 | 不曾
2521 | 不知不觉
2522 | 不止
2523 | 不止一次
2524 | 不至于
2525 | 才
2526 | 才能
2527 | 策略地
2528 | 差不多
2529 | 差一点
2530 | 常
2531 | 常常
2532 | 常言道
2533 | 常言说
2534 | 常言说得好
2535 | 长此下去
2536 | 长话短说
2537 | 长期以来
2538 | 长线
2539 | 敞开儿
2540 | 彻夜
2541 | 陈年
2542 | 趁便
2543 | 趁机
2544 | 趁热
2545 | 趁势
2546 | 趁早
2547 | 成年
2548 | 成年累月
2549 | 成心
2550 | 乘机
2551 | 乘胜
2552 | 乘势
2553 | 乘隙
2554 | 乘虚
2555 | 诚然
2556 | 迟早
2557 | 充分
2558 | 充其极
2559 | 充其量
2560 | 抽冷子
2561 | 臭
2562 | 初
2563 | 出
2564 | 出来
2565 | 出去
2566 | 除此
2567 | 除此而外
2568 | 除此以外
2569 | 除开
2570 | 除去
2571 | 除却
2572 | 除外
2573 | 处处
2574 | 川流不息
2575 | 传
2576 | 传说
2577 | 传闻
2578 | 串行
2579 | 纯
2580 | 纯粹
2581 | 此后
2582 | 此中
2583 | 次第
2584 | 匆匆
2585 | 从不
2586 | 从此
2587 | 从此以后
2588 | 从古到今
2589 | 从古至今
2590 | 从今以后
2591 | 从宽
2592 | 从来
2593 | 从轻
2594 | 从速
2595 | 从头
2596 | 从未
2597 | 从无到有
2598 | 从小
2599 | 从新
2600 | 从严
2601 | 从优
2602 | 从早到晚
2603 | 从中
2604 | 从重
2605 | 凑巧
2606 | 粗
2607 | 存心
2608 | 达旦
2609 | 打从
2610 | 打开天窗说亮话
2611 | 大
2612 | 大不了
2613 | 大大
2614 | 大抵
2615 | 大都
2616 | 大多
2617 | 大凡
2618 | 大概
2619 | 大家
2620 | 大举
2621 | 大略
2622 | 大面儿上
2623 | 大事
2624 | 大体
2625 | 大体上
2626 | 大约
2627 | 大张旗鼓
2628 | 大致
2629 | 呆呆地
2630 | 带
2631 | 殆
2632 | 待到
2633 | 单
2634 | 单纯
2635 | 单单
2636 | 但愿
2637 | 弹指之间
2638 | 当场
2639 | 当儿
2640 | 当即
2641 | 当口儿
2642 | 当然
2643 | 当庭
2644 | 当头
2645 | 当下
2646 | 当真
2647 | 当中
2648 | 倒不如
2649 | 倒不如说
2650 | 倒是
2651 | 到处
2652 | 到底
2653 | 到了儿
2654 | 到目前为止
2655 | 到头
2656 | 到头来
2657 | 得起
2658 | 得天独厚
2659 | 的确
2660 | 等到
2661 | 叮当
2662 | 顶多
2663 | 定
2664 | 动不动
2665 | 动辄
2666 | 陡然
2667 | 都
2668 | 独
2669 | 独自
2670 | 断然
2671 | 顿时
2672 | 多次
2673 | 多多
2674 | 多多少少
2675 | 多多益善
2676 | 多亏
2677 | 多年来
2678 | 多年前
2679 | 而后
2680 | 而论
2681 | 而又
2682 | 尔等
2683 | 二话不说
2684 | 二话没说
2685 | 反倒
2686 | 反倒是
2687 | 反而
2688 | 反手
2689 | 反之亦然
2690 | 反之则
2691 | 方
2692 | 方才
2693 | 方能
2694 | 放量
2695 | 非常
2696 | 非得
2697 | 分期
2698 | 分期分批
2699 | 分头
2700 | 奋勇
2701 | 愤然
2702 | 风雨无阻
2703 | 逢
2704 | 弗
2705 | 甫
2706 | 嘎嘎
2707 | 该当
2708 | 概
2709 | 赶快
2710 | 赶早不赶晚
2711 | 敢
2712 | 敢情
2713 | 敢于
2714 | 刚
2715 | 刚才
2716 | 刚好
2717 | 刚巧
2718 | 高低
2719 | 格外
2720 | 隔日
2721 | 隔夜
2722 | 个人
2723 | 各式
2724 | 更
2725 | 更加
2726 | 更进一步
2727 | 更为
2728 | 公然
2729 | 共
2730 | 共总
2731 | 够瞧的
2732 | 姑且
2733 | 古来
2734 | 故而
2735 | 故意
2736 | 固
2737 | 怪
2738 | 怪不得
2739 | 惯常
2740 | 光
2741 | 光是
2742 | 归根到底
2743 | 归根结底
2744 | 过于
2745 | 毫不
2746 | 毫无
2747 | 毫无保留地
2748 | 毫无例外
2749 | 好在
2750 | 何必
2751 | 何尝
2752 | 何妨
2753 | 何苦
2754 | 何乐而不为
2755 | 何须
2756 | 何止
2757 | 很
2758 | 很多
2759 | 很少
2760 | 轰然
2761 | 后来
2762 | 呼啦
2763 | 忽地
2764 | 忽然
2765 | 互
2766 | 互相
2767 | 哗啦
2768 | 话说
2769 | 还
2770 | 恍然
2771 | 会
2772 | 豁然
2773 | 活
2774 | 伙同
2775 | 或多或少
2776 | 或许
2777 | 基本
2778 | 基本上
2779 | 基于
2780 | 极
2781 | 极大
2782 | 极度
2783 | 极端
2784 | 极力
2785 | 极其
2786 | 极为
2787 | 急匆匆
2788 | 即将
2789 | 即刻
2790 | 即是说
2791 | 几度
2792 | 几番
2793 | 几乎
2794 | 几经
2795 | 既…又
2796 | 继之
2797 | 加上
2798 | 加以
2799 | 间或
2800 | 简而言之
2801 | 简言之
2802 | 简直
2803 | 见
2804 | 将才
2805 | 将近
2806 | 将要
2807 | 交口
2808 | 较比
2809 | 较为
2810 | 接连不断
2811 | 接下来
2812 | 皆可
2813 | 截然
2814 | 截至
2815 | 藉以
2816 | 借此
2817 | 借以
2818 | 届时
2819 | 仅
2820 | 仅仅
2821 | 谨
2822 | 进来
2823 | 进去
2824 | 近
2825 | 近几年来
2826 | 近来
2827 | 近年来
2828 | 尽管如此
2829 | 尽可能
2830 | 尽快
2831 | 尽量
2832 | 尽然
2833 | 尽如人意
2834 | 尽心竭力
2835 | 尽心尽力
2836 | 尽早
2837 | 精光
2838 | 经常
2839 | 竟
2840 | 竟然
2841 | 究竟
2842 | 就此
2843 | 就地
2844 | 就算
2845 | 居然
2846 | 局外
2847 | 举凡
2848 | 据称
2849 | 据此
2850 | 据实
2851 | 据说
2852 | 据我所知
2853 | 据悉
2854 | 具体来说
2855 | 决不
2856 | 决非
2857 | 绝
2858 | 绝不
2859 | 绝顶
2860 | 绝对
2861 | 绝非
2862 | 均
2863 | 喀
2864 | 看
2865 | 看来
2866 | 看起来
2867 | 看上去
2868 | 看样子
2869 | 可好
2870 | 可能
2871 | 恐怕
2872 | 快
2873 | 快要
2874 | 来不及
2875 | 来得及
2876 | 来讲
2877 | 来看
2878 | 拦腰
2879 | 牢牢
2880 | 老
2881 | 老大
2882 | 老老实实
2883 | 老是
2884 | 累次
2885 | 累年
2886 | 理当
2887 | 理该
2888 | 理应
2889 | 历
2890 | 立
2891 | 立地
2892 | 立刻
2893 | 立马
2894 | 立时
2895 | 联袂
2896 | 连连
2897 | 连日
2898 | 连日来
2899 | 连声
2900 | 连袂
2901 | 临到
2902 | 另方面
2903 | 另行
2904 | 另一个
2905 | 路经
2906 | 屡
2907 | 屡次
2908 | 屡次三番
2909 | 屡屡
2910 | 缕缕
2911 | 率尔
2912 | 率然
2913 | 略
2914 | 略加
2915 | 略微
2916 | 略为
2917 | 论说
2918 | 马上
2919 | 蛮
2920 | 满
2921 | 没
2922 | 没有
2923 | 每逢
2924 | 每每
2925 | 每时每刻
2926 | 猛然
2927 | 猛然间
2928 | 莫
2929 | 莫不
2930 | 莫非
2931 | 莫如
2932 | 默默地
2933 | 默然
2934 | 呐
2935 | 那末
2936 | 奈
2937 | 难道
2938 | 难得
2939 | 难怪
2940 | 难说
2941 | 内
2942 | 年复一年
2943 | 凝神
2944 | 偶而
2945 | 偶尔
2946 | 怕
2947 | 砰
2948 | 碰巧
2949 | 譬如
2950 | 偏偏
2951 | 乒
2952 | 平素
2953 | 颇
2954 | 迫于
2955 | 扑通
2956 | 其后
2957 | 其实
2958 | 奇
2959 | 齐
2960 | 起初
2961 | 起来
2962 | 起首
2963 | 起头
2964 | 起先
2965 | 岂
2966 | 岂非
2967 | 岂止
2968 | 迄
2969 | 恰逢
2970 | 恰好
2971 | 恰恰
2972 | 恰巧
2973 | 恰如
2974 | 恰似
2975 | 千
2976 | 万
2977 | 千万
2978 | 千万千万
2979 | 切
2980 | 切不可
2981 | 切莫
2982 | 切切
2983 | 切勿
2984 | 窃
2985 | 亲口
2986 | 亲身
2987 | 亲手
2988 | 亲眼
2989 | 亲自
2990 | 顷
2991 | 顷刻
2992 | 顷刻间
2993 | 顷刻之间
2994 | 请勿
2995 | 穷年累月
2996 | 取道
2997 | 去
2998 | 权时
2999 | 全都
3000 | 全力
3001 | 全年
3002 | 全然
3003 | 全身心
3004 | 然
3005 | 人人
3006 | 仍
3007 | 仍旧
3008 | 仍然
3009 | 日复一日
3010 | 日见
3011 | 日渐
3012 | 日益
3013 | 日臻
3014 | 如常
3015 | 如此等等
3016 | 如次
3017 | 如今
3018 | 如期
3019 | 如前所述
3020 | 如上
3021 | 如下
3022 | 汝
3023 | 三番两次
3024 | 三番五次
3025 | 三天两头
3026 | 瑟瑟
3027 | 沙沙
3028 | 上
3029 | 上来
3030 | 上去
3031 | 一.
3032 | 一一
3033 | 一下
3034 | 一个
3035 | 一些
3036 | 一何
3037 | 一则通过
3038 | 一天
3039 | 一定
3040 | 一时
3041 | 一次
3042 | 一片
3043 | 一番
3044 | 一直
3045 | 一致
3046 | 一起
3047 | 一转眼
3048 | 一边
3049 | 一面
3050 | 上升
3051 | 上述
3052 | 上面
3053 | 下
3054 | 下列
3055 | 下去
3056 | 下来
3057 | 下面
3058 | 不一
3059 | 不久
3060 | 不变
3061 | 不可
3062 | 不够
3063 | 不尽
3064 | 不尽然
3065 | 不敢
3066 | 不断
3067 | 不若
3068 | 不足
3069 | 与其说
3070 | 专门
3071 | 且不说
3072 | 且说
3073 | 严格
3074 | 严重
3075 | 个别
3076 | 中小
3077 | 中间
3078 | 丰富
3079 | 为主
3080 | 为什麽
3081 | 为止
3082 | 为此
3083 | 主张
3084 | 主要
3085 | 举行
3086 | 乃至于
3087 | 之前
3088 | 之后
3089 | 之後
3090 | 也就是说
3091 | 也是
3092 | 了解
3093 | 争取
3094 | 二来
3095 | 云尔
3096 | 些
3097 | 亦
3098 | 产生
3099 | 人
3100 | 人们
3101 | 什麽
3102 | 今
3103 | 今后
3104 | 今天
3105 | 今年
3106 | 今後
3107 | 介于
3108 | 从事
3109 | 他是
3110 | 他的
3111 | 代替
3112 | 以上
3113 | 以下
3114 | 以为
3115 | 以前
3116 | 以后
3117 | 以外
3118 | 以後
3119 | 以故
3120 | 以期
3121 | 以来
3122 | 任务
3123 | 企图
3124 | 伟大
3125 | 似乎
3126 | 但凡
3127 | 何以
3128 | 余外
3129 | 你是
3130 | 你的
3131 | 使
3132 | 使用
3133 | 依据
3134 | 依靠
3135 | 便于
3136 | 促进
3137 | 保持
3138 | 做到
3139 | 傥然
3140 | 儿
3141 | 允许
3142 | 元/吨
3143 | 先不先
3144 | 先后
3145 | 先後
3146 | 先生
3147 | 全体
3148 | 全部
3149 | 全面
3150 | 共同
3151 | 具体
3152 | 具有
3153 | 兼之
3154 | 再
3155 | 再其次
3156 | 再则
3157 | 再有
3158 | 再次
3159 | 再者说
3160 | 决定
3161 | 准备
3162 | 凡
3163 | 凡是
3164 | 出于
3165 | 出现
3166 | 分别
3167 | 则甚
3168 | 别处
3169 | 别是
3170 | 别管
3171 | 前此
3172 | 前进
3173 | 前面
3174 | 加入
3175 | 加强
3176 | 十分
3177 | 即如
3178 | 却
3179 | 却不
3180 | 原来
3181 | 又及
3182 | 及时
3183 | 双方
3184 | 反应
3185 | 反映
3186 | 取得
3187 | 受到
3188 | 变成
3189 | 另悉
3190 | 只
3191 | 只当
3192 | 只怕
3193 | 只消
3194 | 叫做
3195 | 召开
3196 | 各人
3197 | 各地
3198 | 各级
3199 | 合理
3200 | 同一
3201 | 同样
3202 | 后
3203 | 后者
3204 | 后面
3205 | 向使
3206 | 周围
3207 | 呵呵
3208 | 咧
3209 | 唯有
3210 | 啷当
3211 | 喽
3212 | 嗡
3213 | 嘿嘿
3214 | 因了
3215 | 因着
3216 | 在于
3217 | 坚决
3218 | 坚持
3219 | 处在
3220 | 处理
3221 | 复杂
3222 | 多么
3223 | 多数
3224 | 大力
3225 | 大多数
3226 | 大批
3227 | 大量
3228 | 失去
3229 | 她是
3230 | 她的
3231 | 好
3232 | 好的
3233 | 好象
3234 | 如同
3235 | 如是
3236 | 始而
3237 | 存在
3238 | 孰料
3239 | 孰知
3240 | 它们的
3241 | 它是
3242 | 它的
3243 | 安全
3244 | 完全
3245 | 完成
3246 | 实现
3247 | 实际
3248 | 宣布
3249 | 容易
3250 | 密切
3251 | 对应
3252 | 对待
3253 | 对方
3254 | 对比
3255 | 小
3256 | 少数
3257 | 尔
3258 | 尔尔
3259 | 尤其
3260 | 就是了
3261 | 就要
3262 | 属于
3263 | 左右
3264 | 巨大
3265 | 巩固
3266 | 已
3267 | 已矣
3268 | 已经
3269 | 巴
3270 | 巴巴
3271 | 帮助
3272 | 并不
3273 | 并不是
3274 | 广大
3275 | 广泛
3276 | 应当
3277 | 应用
3278 | 应该
3279 | 庶乎
3280 | 庶几
3281 | 开展
3282 | 引起
3283 | 强烈
3284 | 强调
3285 | 归齐
3286 | 当前
3287 | 当地
3288 | 当时
3289 | 形成
3290 | 彻底
3291 | 彼时
3292 | 往往
3293 | 後来
3294 | 後面
3295 | 得了
3296 | 得出
3297 | 得到
3298 | 心里
3299 | 必然
3300 | 必要
3301 | 怎奈
3302 | 怎麽
3303 | 总是
3304 | 总结
3305 | 您们
3306 | 您是
3307 | 惟其
3308 | 意思
3309 | 愿意
3310 | 成为
3311 | 我是
3312 | 我的
3313 | 或则
3314 | 或曰
3315 | 战斗
3316 | 所在
3317 | 所幸
3318 | 所有
3319 | 所谓
3320 | 扩大
3321 | 掌握
3322 | 接著
3323 | 数/
3324 | 整个
3325 | 方便
3326 | 方面
3327 | 无
3328 | 无法
3329 | 既往
3330 | 明显
3331 | 明确
3332 | 是不是
3333 | 是以
3334 | 是否
3335 | 显然
3336 | 显著
3337 | 普通
3338 | 普遍
3339 | 曾
3340 | 曾经
3341 | 替代
3342 | 最
3343 | 最后
3344 | 最大
3345 | 最好
3346 | 最後
3347 | 最近
3348 | 最高
3349 | 有利
3350 | 有力
3351 | 有及
3352 | 有所
3353 | 有效
3354 | 有时
3355 | 有点
3356 | 有的是
3357 | 有着
3358 | 有著
3359 | 末##末
3360 | 本地
3361 | 来自
3362 | 来说
3363 | 构成
3364 | 某某
3365 | 根本
3366 | 欢迎
3367 | 欤
3368 | 正值
3369 | 正在
3370 | 正巧
3371 | 正常
3372 | 正是
3373 | 此地
3374 | 此处
3375 | 此时
3376 | 此次
3377 | 每个
3378 | 每天
3379 | 每年
3380 | 比及
3381 | 比较
3382 | 没奈何
3383 | 注意
3384 | 深入
3385 | 清楚
3386 | 满足
3387 | 然後
3388 | 特别是
3389 | 特殊
3390 | 特点
3391 | 犹且
3392 | 犹自
3393 | 现代
3394 | 现在
3395 | 甚且
3396 | 甚或
3397 | 甚至于
3398 | 用来
3399 | 由是
3400 | 由此
3401 | 目前
3402 | 直到
3403 | 直接
3404 | 相似
3405 | 相信
3406 | 相反
3407 | 相同
3408 | 相对
3409 | 相应
3410 | 相当
3411 | 相等
3412 | 看出
3413 | 看到
3414 | 看看
3415 | 看见
3416 | 真是
3417 | 真正
3418 | 眨眼
3419 | 矣乎
3420 | 矣哉
3421 | 知道
3422 | 确定
3423 | 种
3424 | 积极
3425 | 移动
3426 | 突出
3427 | 突然
3428 | 立即
3429 | 竟而
3430 | 第二
3431 | 类如
3432 | 练习
3433 | 组成
3434 | 结合
3435 | 继后
3436 | 继续
3437 | 维持
3438 | 考虑
3439 | 联系
3440 | 能否
3441 | 能够
3442 | 自后
3443 | 自打
3444 | 至今
3445 | 至若
3446 | 致
3447 | 般的
3448 | 良好
3449 | 若夫
3450 | 若果
3451 | 范围
3452 | 莫不然
3453 | 获得
3454 | 行为
3455 | 行动
3456 | 表明
3457 | 表示
3458 | 要求
3459 | 规定
3460 | 觉得
3461 | 譬喻
3462 | 认为
3463 | 认真
3464 | 认识
3465 | 许多
3466 | 设或
3467 | 诚如
3468 | 说明
3469 | 说来
3470 | 说说
3471 | 诸
3472 | 诸如
3473 | 谁人
3474 | 谁料
3475 | 贼死
3476 | 赖以
3477 | 距
3478 | 转动
3479 | 转变
3480 | 转贴
3481 | 达到
3482 | 迅速
3483 | 过去
3484 | 过来
3485 | 运用
3486 | 还要
3487 | 这一来
3488 | 这次
3489 | 这点
3490 | 这种
3491 | 这般
3492 | 这麽
3493 | 进入
3494 | 进步
3495 | 进行
3496 | 适应
3497 | 适当
3498 | 适用
3499 | 逐步
3500 | 逐渐
3501 | 通常
3502 | 造成
3503 | 遇到
3504 | 遭到
3505 | 遵循
3506 | 避免
3507 | 那般
3508 | 那麽
3509 | 部分
3510 | 采取
3511 | 里面
3512 | 重大
3513 | 重新
3514 | 重要
3515 | 针对
3516 | 问题
3517 | 防止
3518 | 附近
3519 | 限制
3520 | 随后
3521 | 随时
3522 | 随著
3523 | 难道说
3524 | 集中
3525 | 需要
3526 | 非特
3527 | 非独
3528 | 高兴
3529 | 若果
3530 |
3531 |
3532 |
--------------------------------------------------------------------------------